Гарбузенко Виктор Григорьевич

"УЧУСЬ ЛЕТАТЬ НА ДЕЛЬТАЛЁТЕ"








Белгородский клуб сверхлёгкой авиации
г. Белгород, 2018 г.

(сайт в работе)

 Генерал-майор в отставке Виктор Григорьевич Гарбузенко,
председатель федерации сверхлёгкой авиации Белгородской области.


От автора

При составлении учебного пособия за основу были взяты требования Программы подготовки авиационного персонала на сверхлёгких летательных аппаратах.
Учебное пособие предназначено для первоначального обучения пилотов сверхлёгкой авиации на дельталёте и состоит из пяти разделов.
В пособие вошли лекции по «Аэродинамике и динамике полёта дельталёта», «Авиационной метеорологии», «Воздушной навигации», «Конструкции, технической и лётной эксплуатации дельталёта».
Дисциплина «Техника пилотирования, навигация и методика выполнения полётного задания» изучается в соответствующих разделах дисциплин и непосредственно при подготовке к полётам.
Раздел маневрирования СЛА написан применительно к дельталёту МД-50 с двигателем «Rotax 582» с воздушным 3х лопастным винтом КК-ЗП 164.
Основным документом, регламентирующим лётную работу авиации общего назначения, является Воздушный кодекс Российской Федерации ( Федеральный закон от 19 марта1997года  № 60-ФЗ).
Подготовка пилотов лёгких гражданских воздушных судов и пилотов сверхлёгких гражданских воздушных судов авиации общего назначения может осуществляться в порядке индивидуальной подготовки у инструктора, имеющего запись в пилотском свидетельстве о праве проведения такой подготовки.

Квалификационные характеристики и требования к сертификации пилота-любителя СЛА.
Правовой статус:
•    Командир экипажа СЛА, подготовленный к выполнению любительских полётов и имеющий допуски по их видам, зарегистрированные в квалификацион-ных (сертификационных) документах.
Квалификационные требования:
•    подготовка в объёме Курса учебно-лётной подготовки пилотов-любителей СЛА;
•    налёт: общий - 25 час, самостоятельный – 12 часов, по маршруту – 5 часов.
Сертификационные, квалификационные документы:
•    свидетельство пилота-любителя СЛА;
•    лётная книжка.



Раздел 1. Теоретическая и лётная подготовка

1.  Теоретическая подготовка

Целями теоретической подготовки являются:
•    первоначальное теоретическое обучение пилотов моторных сверхлёгких летательных аппаратов;
•    восстановление, углубление ранее изученного материала и изучение новых дисциплин постоянным и переменным составом клуба СЛА «Академия - Авиа» в процессе совершенствования подготовки;
•    освоение и совершенствование теоретических знаний и методических навыков, необходимых для успешного лётного обучения и обеспечения безопасности полётов постоянным лётным составом Клуба.
В интересах решения указанных задач предусматривается изучение учебных дисциплин в соответствии с разработанным учебным планом. При первоначальном обучении эти дисциплины изучаются в обязательном порядке до начала лётной подготовки в указанном объёме, по ним принимаются зачёты.
Содержание и порядок теоретической подготовки по тематике КУЛПа определяется тематическим планом каждой учебной дисциплины с учётом собственных задач и уровня подготовки лётного состава.
На каждую тему преподавателем должен быть составлен конспект (план-конспект), который утверждается председателем клуба или его заместителем.
Основные формы проведения занятий: лекция, семинар, практические занятия и тренажи на технике, самостоятельная подготовка. По мере накопления знаний у обучаемых, удельный вес активных форм обучения необходимо увеличить.
Особое внимание уделять текущему контролю знаний обучаемых и проведению зачётов и экзаменов.
К полётам допускается лётный состав, сдавший экзамены по теоретическим дисциплинам с оценкой не ниже «хорошо».


1.1.  Тематические планы учебных дисциплин

1.1.1  Воздушное право, документы, регламентирующие лётную работу, обеспечение безопасности полётов



1.1.2.  Аэродинамика и динамика полёта моторного СЛА



1.1.3.  Конструкция и эксплуатация сверхлёгкой авиационной техники и оборудования



1.1.4.  Воздушная навигация



1.1.5.  Авиационная метеорология



1.1.6.  Техника пилотирования, навигация и методика выполнения полётного задания



2.  Лётная подготовка

2.1  Требования к лётной подготовке

Лётная подготовка пилотов-любителей СЛА проводится в соответствии с требованиями части II Курса учебно-лётной подготовки и включает программы, содержание ко-торых направлено на последовательное достижение уровней лётной и спортивной подготовки, согласно «Программе подготовки авиационного персонала на сверхлёгких летательных аппаратах»
Набор упражнений
Набор упражнений в задачах охватывает весь спектр подготовки от первоначального обучения до высшей ступени различных специальностей. Поэтому разрешается выполнять только те упражнения и только в той последовательности, которые определены соответствующей программой.
Условия перевода на каждое новое упражнение
Перевод на каждое новое упражнение, задачу осуществлять на основании индиви-дуальной оценки после тщательного анализа качества освоения предыдущего.
Целями лётной подготовки является:
•    подготовка и выполнение первого самостоятельного вылета;
•    отработка техники пилотирования на взлёте и посадке;
•    обучение маневрированию в зоне;
•    обучение элементам воздушной навигации и самостоятельному выполнению маршрутных полётов.
Содержание:
•    задача №1, упр. №№ 1-12;
•    задача №2, упр. №№ 13-14;
•    задача №3, упр. №№ 17-20;
•    задача №5, упр. №№ 31-34.
Зачётные упражнения: №№ 14, 18, 34.

2.1.1.  Метеорологические условия при выполнении полётов.

Сложность метеорологических явлений при полётах на СЛА
Сложность метеорологических явлений при полётах на СЛА определяется по следующим параметрам:
•    турбулентность атмосферы, измеряемая уровнем болтанки сверхлёгкого летательного аппарата;
•    скорость ветра у земли;
•    горизонтальная видимость;
•    нижняя граница облачности.
При этом первые два из перечисленных параметров являются определяющими.

Ступени подготовки к полётам в сложных метеорологических условиях (СМУ)
В системе лётной работы на сверхлёгких летательных аппаратах устанавливаются следующие ступени подготовки к полётам в сложных метеорологических условиях (СМУ).
1-я ступень. Основной курс. Простые метеоусловия:
•    турбулентность отсутствует;
•    ветер до 2-3 м/с;
•    горизонтальная видимость - 5 км;
•    нижний край облачности - 500 м.
Усложнённые метеоусловия: турбулентность слабая;
•    ветер до 4-5 м/с;
•    горизонтальная видимость - 4 км;
•    нижний край облачности - 400 м.
Сложные метеоусловия, повышенный минимум погоды:
•    турбулентность умеренная;
•    ветер до 6-8 м/с;
•    горизонтальная видимость - 2 км;
•    нижний край облачности - 200 м.


2.2.   Сводный перечень задач и упражнений лётной подготовки






Раздел 2.  Конструкция и эксплуатация дельталёта МД-50

1.  Лётно-технические характеристики

Дельталёт является сверхлегким двухместным моторным летательным аппаратом с балансирным управлением и предназначен для выполнения спортивных, тренировочных и туристических полетов.
Дельталет оборудован дублирующей системой управления, что позволяет использовать его для первоначального обучения пилотов СЛА.
Установка на дельталет дополнительного оборудования позволяет его использовать для выполнения авиаработ.

deltalet
Подготовка дельталёта к полёту.

2.  Описание конструкции дельталёта

Дельталет состоит из аэродинамического модуля (крыла) и функционального модуля (мототележки). Общий вид дельталета представлен на рисунке 1.

ris

Рис. 1. Общий вид и габариты дельталёта.

2.1  Крыло

Конструкция крыла представляет собой силовой каркас, на который натянута гибкая обшивка, подкрепленная сверху и снизу упругими элементами - латами. На рисунке 2 представлена конструкция крыла и его основные элементы.



Рис. 2. Поперечина.
1 - страховочная петля; 2 - мачта; 3 - блочок полиспаста; 4 - троса поперечины.

2.1.1  Силовой каркас
Силовой каркас изготовлен из алюминиевых труб и состоит из килевой балки, двух боковых балок, поперечины, рулевой трапеции и мачты. Для обеспечения жесткости конструкции силовой каркас расчален тросами. Для удобства сборки и разборки крыла в местах крепления ручки трапеции, нижних передних тросов и тросов натяжения поперечины имеются эксплуатационные разъемы (рис. 3).



Рис. 3. Устройство крыла дельталёта.
1 - килевая балка; 2 - боковая балка; 3 - консольная часть боковой балки; 4 - поперечина; 5 - стойка трапеции;
6 - ручка трапеции; 7 - мачта; 8 - нижний боковой трос; 9 - верхний боковой трос; 10 - обшивка крыла; 11 - концевые антипикирующие поддержки;
12 - антипикирующие троса; 13 - узел подвески тележки; 14 - капотик.


Килевая балка представляет собой трубу с внутренними усилениями, на которой закреплены боковые балки, трапеция и мачта. Между узлом крепления трапеции с мачтой расположен шарнирный узел подвеса мототележки: Для установки балансировочной скорости дельталета предусмотрена регулировка положения шарнирного узла путем перестановки блокировочных колец 6 (рис. 4).



Рис. 4. Крепление пилона к килевой балке.
1 - страховочные троса; 2 - гайка «барашек»; 3 - контровочная булавка; 4 - щеки пилона;
5 - резьбовой штырь; 6 - блокировочное кольцо; 7 - штифт.

Боковая балка состоит из двух частей: основной и съемной консольной. Основная часть выполнена из трубы с внутренними усилениями. На ней находится шарнирный узел крепления поперечины. Консольная часть соединяется с основной телескопически и имеет фиксаторы от поворота. На ней располагается устройство натяжения обшивки и узел крепления антипикирующих поддержек (рис. 5).



Рис. 5. Консольная часть боковой балки.
1 - консольная часть боковой балки; 2 - антипикирующие поддержки; 3 - гнездо шарнирной втулки;
4 - фиксатор регулировочного стакана; 5 - регулировочный стакан.


Поперечина состоит из двух половин, соединенных между собой шарнирно, а концевые части имеют проушины для соединения с боковой балкой. К центральному шарниру поперечины закреплены два троса, имеющие общий узел крепления к килевой балке (рис. 2).
Рулевая трапеция состоит из двух стоек и ручки. Верхней частью трапеция шарнирно крепится к килевой балке, а к нижним узлам сочленения присоединены тросовые расчалки, которые обеспечивают неподвижность трапеции относительно килевой балки (рис. 6).



Рис. 6. Рулевая трапеция.
1 - гриф трапеции; 2 - стойка трапеции; 3 - болт-фиксатор грифа.


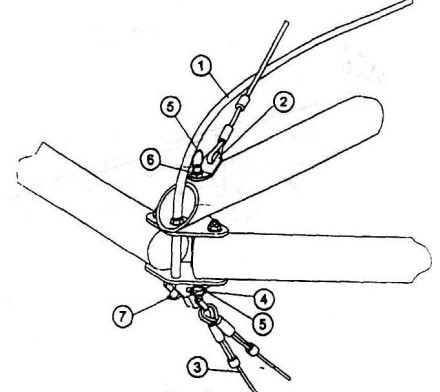
Мачта представляет собой профилированную трубу, в верхней части которой закреплена система тросовых расчалок, а нижняя шарнирно закреплена на килевой балке  (рис. 7).


Рис. 7. Крепление тросов к мачте.
1 - карабин; 2 - коуш; 3 - мачта; 4 - антипикирующие тросики; 5 - трос верхний задний.


Тросовые расчалки изготовлены из стального нержавеющего авиационного каната. Нижние продольные расчалки и троса натяжения поперечины заключены в пластиковую оболочку, а нижние боковые расчалки выполнены двойными.

2.1.2   Обшивка крыла
Обшивка крыла изготовлена из высокопрочной полиэфирной ткани и состоит из верхней и нижней поверхностей, килевого кармана и лобового обтекателя. С внутренней стороны верхней и нижней поверхностей пришиты латкарманы. Задняя кромка обшивки, а также участки, воспринимающие сосредоточенные нагрузки, имеют дополнительные усиления.
Для улучшения качества поверхности передней части крыла в пространство под обтекатель вставлена пластиковая пленка.
Объемный профиль крыла обеспечивается специальным раскроем обшивки и установкой лат на верхней и нижней поверхностях. Латы изготовлены из алюминиевых труб.
Все верхние латы - профилированные, и крепятся к обшивке с помощью шнуров , что позволяет быстро производить сборку и разборку крыла.
Латы нижней поверхности-прямые, не имеют шнурового крепления. Они фиксируются в латкарманах «конверт-ловушкой» (рис. 8).



Рис. 8. Конверт-ловушка.

2.2  Мототележка

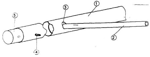
Мототележка представляет собой силовой каркас на котором установлены сидения пилота и пассажира, трёхопорное шасси с носовым колесом, винтомоторная группа, топливная система, приборное оборудование и дополнительное оборудование. Носовая часть мототележки закрыта обтекателем. Конструктивная схема мототележки представлена на рисунке 9.


Рис. 9. Основные узлы дельталёта.
1 - передний подкос; 2 - блок приборов; 3 - передняя вилка шасси с тормозным колесом; 4 - нижняя балка; 5 - нижний кронштейн переднего подкоса; 6 - пилон;
7 - рамка кресла; 8 - щеки пилона; 9 - кресло пилота; 10 - топливный бак; 11 - воздушный винт; 12 - стойка амортизатора основного шасси; 13 - балка основного шасси;
14 - подкос основного шасси; 15 - рама; 16 - ручка запуска двигателя; 17 - тяга управления второго пилота; 18 - передний шарнирный узел основного шасси;
19 - задний шарнирный узел основного шасси; 20 - педали управления второго пилота; 21 -двигатель.

2.2.1    Силовой каркас

Силовой каркас (рис. 9) состоит из нижней продольной балки 4, вертикальной рамы 15, пилона 6, рамки кресла 7 и переднего подкоса 1. Продольная балка, пилон, рамка кресла и передний подкос представляют собой трубчатые конструкции из алюминиевого сплава.
Рама сварная из стальных труб жестко закреплена на нижней балке. Пилон - разнесённый, состоит из 2-х труб. Нижней частью пилон крепится к раме, а на верхней части шарнирно закреплён узел подвески мототележки. Внутри пилона проходят страховочные троса.
Рамка кресла образует замкнутый контур с продольной балкой и рамой, обеспечивая жесткость конструкции. На рамке кресла закреплён каркас из капроновых ремней, на который устанавливаются сидения.
Передний подкос образует замкнутый контур с продольной балкой и пилоном.

2.2.2  Сидения пилота и пассажира
Сидения пилота и пассажира сшиты из синтетического материала с наполнителем из поролона. Для удобства посадки в основание сидения ставится жесткая вставка. Сиде-ния крепятся к каркасу при помощи текстильных застёжек.

2.2.3   Привязные ремни
Привязные плечевые и поясные ремни обеспечивают безопасность пилота и пассажира в полёте. Изготовлены из капроновой ленты, имеют возможность регулирования длины и снабжены быстродействующими замками.

2.2.4   Шасси
Дельталёт имеет трехопорное шасси с передней опорой. Шасси крепятся к силовому каркасу мототележки через шарнирные узлы. Все три стойки шасси снабжены пружинными амортизаторами.
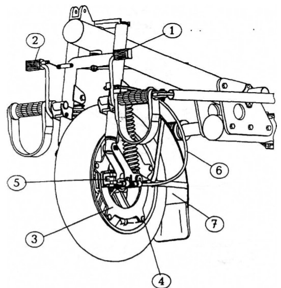
Передняя опора управляемая и снабжена дисковым тормозом (рис. 10, 11).



Рис. 10. Переднее шасси.
1 - рычаг тормоза; 2 - рычаг газа; 3 - диск тормоза; 4 - фиксаторы диска тормоза; 5 - супорт тормоза;
6 - трос тормоза; 7 - грязезащитный щиток.


Рис. 11. Основные элементы тормозной системы.
1 - диск тормоза; 2 - фиксатор диска тормоза; 3 - подвижная колодка; 4 - фиксатор колодки; 5 - супорт;
6 - ромашка; 7 - кулачковый вал.

Управление прямого действия путём отклонения ногами лётчика подножек вилки носовой стойки.
На вилке с левой стороны смонтирован рычаг тормоза. При нажатии рычага через трос тормоза приводится в действие подвижная колодка 3 (рис. 11), которая взаимодействует с диском тормоза 1.
Главная опора состоит из полуоси, колеса в сборе, балки подкоса и амортизационной стойки. Амортизатор основного шасси (рис. 12) пружинного типа служит для поглощения энергии вибрации и ударов. Внутри амортизаторной стойки проходит страховочный трос.


Рис. 12. Амортизатор основного шасси.
1 - страховочный трос; 2 - пружина; 3 - подвижная колодка; 4 - поршень; 5 - вкладыш поршня;
6 - направляющая втулка; 7 - фиксатор поршня; 8 - запорное кольцо.


2.3   Винтомоторная группа
Винтомоторная группа состоит из двигателя с редуктором и воздушного винта. Двигатель «Rotax-582 ULD CDI» - поршневой, бензиновый, двухтактный, двухцилин-дровый, с рядным расположением цилиндров, с жидкостной системой охлаждения, с вращающимся дисковым золотником управления впуска топлива, с электронной дублированной системой зажигания, с карбюраторным смесеобразованием.
Двигатель оборудован выхлопной системой резонансного типа.
Система запуска двигателя ручная.
Интегрированный 12-ти полюсный генератор обеспечивает работу системы зажигания и электросистемы дельталета.
Для крепления к мотораме двигатель имеет четыре резьбовые шпильки на нижней части картера.
Ресурс до 1-го капитального ремонта:    300 часов.
Межремонтный ресурс:    300 часов.
Назначенный ресурс:    900 часов.
На двигатель установлен одноступенчатый редуктор для понижения частоты вра-щения вала воздушного винта относительно частоты вращения коленчатого вала.

2.3.1  Редуктор типа «В»: одноступенчатый с цилиндрическими косозубыми шестерня-ми внешнего зацепления со смещенными валами, передаточное число -2,58.
Система смазки редуктора - независимая, барботажного типа. Для системы смазки используется трансмиссионное масло по спецификации API GL-5 или GL-6 с вязкостью SAE 140EP или 85W-140ER. Масло в редукторе должно быть на уровне нижнего кон-трольного отверстия. Объём масла 330 см3. Замена масла в редукторе выполняется по-сле первых 10 часов наработки, и в последующем через каждые 100 часов, но не реже, чем раз в два года. Проверка уровня масла выполняется через каждые 25 часов наработки. Перед заменой масла необходимо прогреть двигатель до рабочей температуры.

2.3.2 Воздушный винт (рис. 13) - трехлопастной, толкающий, с фиксированным углом установки лопастей. Лопасти винта выполнены из композиционных материале



Рис. 13. Внешний вид винта.
1 - ступица; 2 - лопасть; 3 - болт стяжки ступицы; 4 - болт крепления.


Ребра атаки лопасти окантованы металлическим листом толщиной 0,2-0,3 мм.
Ступица воздушного винта выполнена разборной, комеля лопастей винта стягиваются болтами М8, при затяжке которых обеспечивается угол установки лопастей на 0,75 радиуса 20°. Контроль осуществляется при помощи линейки. Допускается погреш-ность в установке углов лопастей в пределах -15 минут, что составляет зазор 0,2 мм между плоскостью лопасти воздушного винта и линейкой. Момент затяжки гаек болтов 0,2 кг/м. Гайки контрятся шплинтами Ø0,8.
Ресурс винта 500 часов.
Допускается эксплуатация воздушного винта при:
•    дисбалансе лопастей не более 2 гр.;
•    биении лопастей радиальном не более 2 мм., осевом не более 2 мм.
•    наличии выбоин, раковин на ребре атаки лопасти глубиной до 2 мм.
Винт крепится к фланцу вала редуктора шестью болтами М8, которые контрятся проволокой Ø0,5-0,8 мм; момент затяжки болтов 0,2 кг/м.
Техническое обслуживание двигателя и винта выполняется техником, изучившим руководство по эксплуатации двигателя, допущенным к обслуживанию и несущим ответственность за полноту и качество выполняемых работ. Техническое обслуживание контролируется заместителем председателя клуба по ИАС (пилотом).

2.3.3   Моторама
Моторама 2 (рис. 14) выполнена из плиты алюминиевого сплава и установлена на 2-х швеллерах, которые крепятся к раме и, с помощью подкосов, к основной балке. Крепление двигателя к мотораме осуществляется через резиновые амортизаторы.



Рис. 14. Места крепления двигателя и бака.
1 - резиновые амортизаторы; 2 - моторама; 3 - швелер моторамы; 4 - подкосы моторамы; 5 - страховочные болты пилона;
6 - ложементы топливного бака; 7 - контровочная булавка.


2.4  Топливная система
Топливная система предназначена для подачи топливной смеси в двигатель на всех режимах его работы. В качестве топлива применяется автомобильный бензин с ок-тановым числом не менее 83 по моторному методу (90 по исследовательскому), с содержанием спиртовых добавок до 5 %.
Смазка двигателя - маслом SUPER-TWO-STROKE. Масло смешивается с топливом в соотношении 1:50.
Запрещается использовать этилированный бензин в качестве топлива, если для смазки двигателя применяется масло на синтетической основе.
Запрещается смешение масел разных марок.
Топливная система состоит из топливного бака и топливной магистрали.
Топливной бак емкостью 43 л. изготовлен из алюминиевого сплава. В верхней части бака имеется заливная горловина. В днище бака находится сливной вентиль. На баке установлена трубка уровня топлива 3 (рис. 15) .


Рис. 15. Системы управления двигателем.
1 - система запуска; 2 - топливная система; 3 - указатель уровня топлива; 4 - смеситель проводки управления;
5 - проводка системы управления двигателем.


Топливная магистраль состоит из подка-чивающего устройства (груши), ручного подкачивающего насоса (праймера) диафрагменного насоса, фильтров грубой и тонкой очистки, соединенных между собой масло-бензостойкими шлангами. Ручной подкачивающий насос облегчает запуск двигателя особенно при низких температурах. Фильтр тонкой очистки очищает топливо от механиче-ских примесей и конденсата.

2.5    Приборное оборудование
Приборное оборудование установлено на приборной доске (рис. 16) и включает в себя:
•    пилотажно-навигационное оборудование;
•    приборы контроля двигателя.
Пилотажно-навигационное оборудование (МИКБО - 11) состоит из:
•    высотомера ВМ-3;
•    указателя скорости УС-250;
•    вариометра ВР-5;
•    компаса КИ-13;
•    приемника воздушного давления (трубки Вентури).
Приемник воздушного давления устанавливается согласно рисунку вперед по полету соплом приема воздушного давления. Приборы контроля работы двигателя включает в себя:
•    указатель оборотов KB двигателя (тахометр);
•    указатель температуры охлаждающей жидкости (термометр).


Рис. 16. Блок приборов.
1 - приемник воздушного давления; 2 - хомут крепления блока; 3 - указатель скорости УС-250; 4 - компас KИ-13; 5 - вариометр ВАР-5;
6 - высотомер ВМ-3; 7 - термометр; 8 - тахометр.


2.6   Система управления дельталетом
Система управления дельталетом обеспечивает прямое изменение углов наклона крыла с помощью рулевой трапеции.
Изменение режимов работы двигателя в сочетании с балансирным управлением обеспечивает выполнение необходимых маневров в воздухе.
Управление оборотами двигателя осуществляется с помощью ручного и ножного рычагов газа (рис. 15). Рычаги управления двигателем (РУД) связаны тросами в боуденовской оболочке через раздвоитель с плунжерами карбюраторов.
Регулировка тросов управления обеспечивается регулировочными винтами на карбюраторах и ножном рычаге управления двигателем.
Управление движением дельталета на земле осуществляется при помощи педалей на вилке носового колеса.
Торможение производится рычагом тормоза, установленного на левой педали.
При механической системе запуска двигателя трос с пусковой ручкой, пропущенный через ролик, крепится к пилону.

2.7   Электрооборудование
Электрооборудование дельталета предназначено для обеспечения работы двигателя и контроля его параметров.
Электрооборудование состоит из:
•    генератора Д (комплект двигателя);
•    выпрямителя-регулятора 264870 V (комплект двигателя);
•    датчика температуры Д1 (комплект двигателя);
•    свечей зажигания В1-1, В1-2, В2-1, В2-2 (комплект двигателя);
•    электронных блоков Tl, T2 (комплект двигателя);
•    конденсатора С1 (2000 mF 258);
•    выключателей S1, S2 (П2Т - 1);
•    АЗС, выключателей, электропроводки.
•    указателя оборотов KB двигателя (тахометр);
•    указателя температуры охлаждающей жидкости (термометр).


3.   Сборка и разборка дельталёта

3.1    Сборка и разборка крыла
Сборка крыла.
•    расположить пакет крыла на ровной площадке носовой частью против ветра;
•    раскрыть чехол, снять упаковочные шнуры, зачехленные латы с грифом трапеции, положить сзади крыла;
•    развернуть парус, извлечь консольные части боковых балок;
•    состыковать консоли с боковой балкой внутри паруса (левая, правая)
•    антипикирующие поддержки 2 (рис. 5) вставить в гнезда шарнирных втулок 3 ;
•    одеть концевые лямки паруса 1 (рис. 17) на торцы консолей и зафиксируйте текстильными застежками 3;



Рис. 17. Концевые лямки паруса.
1 - концевые лямки паруса; 2 - технологические петли; 3 - текстильные застежки; 4 - обшивка паруса.

•    подсоединить гриф 1 (рис. 6) к стойкам трапеции 2, законтрить;
•    установить центральную лату, извлечь капотик из паруса;
•    развернуть и расправить парус, развести боковые балки в крайнее положение;
•    вставить мачту 2 (рис. 2) в гнездо на килевой балке через отверстие в парусе (мачта должна находиться между тросами натяжения поперечины);
•    подсоединить троса антипикирующего устройства 4, 5 (рис. 7) к мачте;
•   разложить верхние латы в порядке убывания длины и при необходимости проконтролировать их кривизну с помощью шаблона. Латы с красными мет-ками вставить в правое полукрыло, с синими - в левое.
•    латы верхней обшивки паруса закрепить с помощью веревочных петель (рис. 18, 19);


Рис. 18. Трос антипикирующей поддержки.



Рис. 19. Носовой узел крыла.
1 - центральная лата; 2 - трос верхний передний; 3 - троса нижние передние; 4 - штырь;
5 - кольцо; 6 - гайка; 7 - замок носового узла.


•    разложить прямые латы в порядке убывания длины от центра крыла и установить их в латкарманы нижней обшивки паруса;
•    при помощи шнура натянуть троса крепления поперечины. Проверить чтобы они проходили по обе стороны мачты;
•    зафиксировать троса поперечины на килевой трубе болтом и гайкой. Законтрить гайку стопорным кольцом (рис. 4);
•    установить упорно-радиальную лату;
•    закрепить упорно-радиальную и радиальную латы при помощи веревочных петель и резиновых шнуров;
•    проконтролировать положение корневой латы на килевой трубе. Носик латы должен опираться на килевую трубу, тросовая петля охватывать килевую трубу;
•    поднять крыло и поставить его на трапецию. Застегнуть узел крепления передних тросов, зафиксировать шпилькой и стопорным кольцом ;
•    проконтролировать наличие контровки в узлах крепления трапеции и навески крыла, а также положение тросов крепления поперечины относительно мачты;
•    зафиксировать латы нижней обшивки крыла в торцевых отворотах латкарма-нов (конверт-ловушках).
Разборка крыла производится в обратном порядке.

3.2   Сборка мототележки
Приведение мототележки (рис. 9) в рабочее состояние производится в следующем порядке:
•    снять чехол;
•    собрать и установить воздушный винт (если он был снят и разобран) п.2.3.2.;
•    законтрить болты крепления воздушного винта проволокой КО-0,8;
•    снять транспортировочный подкос;
•    поднять пилон 6 ;
•    установить передний подкос 1;
•    установить на пилон ручку запуска двигателя 16;
•    зафиксировать пилон страховочными болтами 5 ;
•    установить кресла пилотов 9;
•    заправить топливный бак 10;
•    произвести полный осмотр мототележки;
•    произвести опробование двигателя.
Во время опробования двигателя при необходимости произвести регулировку воздушного винта.
В целях безопасности, при работе винта, нахождение людей в плоскости вращения недопустимо.

3.3    Сборка воздушного винта
Втулка винта состоит из двух частей. Втулки с установленными в них лопастями, стягиваются шестью болтами М8, гайки болтов контрятся шплинтами;
•    установка угла лопастей контролируется линейкой;
•    после пробных запусков силовой установки, регулируя угол установки лопастей, добиться оптимальных оборотов двигателя;
•    гайки болтов затягивать моментом 0,2 кгм (при затяжке гаек пользоваться только накидными или торцевыми ключами);

3.4    Установка (и снятие) крыла на мототележку
Крыло на мототележку устанавливается в следующей последовательности:
•    поставить собранное крыло на носовой узел, расположив его против ветра и подкатить к нему сзади мототележку (рис. 9);
•    отстыковать передний подкос 1 от нижнего кронштейна 5 ;
•    снять страховочные болты пилона 5 ;
•    опустить пилон, завести передний подкос через ручку трапеции;
•    поднять крыло в горизонтальное положение, ввести шарнирный узел, уста-новленный на килевой балке крыла, между щеками пилона 8 и проштырить резьбовым штырем 5 . Гайку «барашек» 2 зафиксировать булавкой, установить и закрепить текстильными застежками капотик;
•    завести страховочные троса 1 через килевую балку крыла, установить их на штатные места, закрутить гайками и законтрить булавками;
•    поднять крыло с пилоном (выполняется вдвоем: один человек сидит в кресле пилота и, удерживая тормозом перемещение тележки, второй за трапецию поднимает крыло);
•    установить передний подкос в нижний кронштейн, поставить болт, закрутить гайку и законтрить ее пружинным кольцом;
•    поставить страховочные болты пилона и законтрить;
•    зафиксировать крыло привязными ремнями за трапецию, а опущенную консоль развернуть против ветра.
Снятие крыла с мототележки производится в обратном порядке.

4.  Регулирование

Все крылья поставляются облетанными и отрегулированными. Для первых поле-тов регулировки должны быть оставлены в первоначальном (заводском положении).
Однако надо иметь ввиду, что крыло приобретает окончательную конфигурацию и стабильность летно-технических характеристик после 20 часов налета.
Поэтому в этот период может возникнуть необходимость в регулировании (настройке) крыла.

4.1     Центровка
Изменение центровки достигается перемещением шарнирного узла подвески вдоль килевой балки. Узел фиксируется блокировочными кольцами 6 и штифтами 7 (рис. 4) .
Нормальной считается центровка при которой балансировочная скорость
Vбал.=70-80км/ч.
Vбал. увеличивается на 3 км/ч на каждый сантиметр перемещения узла подвески вперед и наоборот.
Выход за диапазон балансировочных скоростей 60 - 90 км/ч ЗАПРЕЩЕН.
Изменение взлетной массы ЛА влияет на балансировочную скорость.
Она уменьшается на 5 км/ч при увеличении массы на 80 кг.

4.2      Регулировка крыла

4.2.1    Натяжение паруса крыла
Необходимость натяжения паруса на конце крыла может возникнуть для устранения крена летательного аппарата, обнаруженного в полете, или для устранения послед-ствий старения несущей поверхности.
Чтобы выполнить эту регулировку необходимо:
•    отстегнуть передние нижние троса, положить крыло на землю;
•    отстегнуть троса поперечной балки;
•    убрать фиксатор, установить регулировочные стаканы в нужное положение и зафиксировать;
После каждой регулировки, вследствие изменения положения паруса на трубах боковых балок, необходимо регулировать натяжение шнуров последней (упорной) латы.
После 50-ти часов эксплуатации необходимо произвести симметричное натяжение паруса обоих крыльев на 10 мм для сохранения первоначальных характеристик крыла.
Последующее натяжение проводить по мере необходимости.
Увеличение натяжения паруса по передним кромкам приводит к повышению аэродинами-ческого качества и стабильности по тангажу. Но тем самым увеличивается угловая скорость крена, что ведет к ухудшению путевой устойчивости.

4.2.2   Натяжение шнуров  лат верхней обшивки
Все шнуры лат должны быть равномерно натянуты на обоих полукрыльях и оде-ваться на наконечники лат с небольшим усилием.
Однако, если в полёте обнаружен нежелательный крен, необходимо увеличить натяжение шнуров «нисходящего» полукрыла.
Для этого необходимо перевязать упорный узел шнура.
Вследствие остаточных деформаций ткани несущей поверхности после первых 10-ти часов эксплуатации необходимо провести перетяжку всех шнуров.
Последующую перетяжку проводить по мере необходимости.
Натяжение шнуров лат в средней части полукрыльев, в большей степени влияет на изменение характеристик, нежели концевых и корневых.

4.2.3     Регулировка крыла по крену
Регулировка крыла по крену производится в строгой последовательности:
•    путём натяжения шнуров лат верхней обшивки;
•    путём изменения угла установки регулировочного стакана;
•    путём натяжения полукрыльев по консолям.
После каждой регулировки аппарат необходимо испытать. При необходимости операцию повторить.
Устранять крен методом изменения натяжения паруса по передней кромке, только после того как этого не удалось добиться путем натяжения шнуров лат верхней обшивки и установкой регулируемыми стаканами под углом, для изменения крутки крыла.

4.3      Регулировка тормозной системы
Регулировка тормоза производится с помощью эксцентрика 6 (рис. 11). Для этого необходимо расшплинтовать эксцентрик и повернуть его на необходимый угол, обеспе-чив свободное вращение колеса при минимальном зазоре между диском тормоза и колодками. Максимально допустимый зазор между диском тормоза и колодками 1 мм. Зашплинтовать эксцентрик.
Регулировка хода педали тормоза осуществляется при помощи натяжителя троса тормоза 6 (рис. 10).

4.4   Регулировка системы управления двигателем
Регулировка системы управления двигателем осуществляется следующим образом:
•   отрегулировать двигатель в режиме холостого хода (смотри руководство по эксплуатации двигателя;
•   упорами бауденов на карбюраторах выбрать люфт на тросах, идущих от карбюраторов к смесителю, соблюдая равномерное положение плунжеров;
•  убедиться в минимальном люфте на ручном рычаге управления двигателем в режиме холостого хода. Максимально допустимая величина отклонения рычага на режиме холостого хода 5 мм;
• отрегулировать ход ножной педали управления двигателем первого пилота натяжителем, обеспечивая максимальный подъём плунжеров карбюраторов при максимальном отклонении педали;
•  регулировку ножной педали управления двигателем пилота осуществляется натяжителем троса при этом необходимо не перетянуть трос и не нарушить предыдущие регулировки.


4.5    Транспортировка и хранение

Дельталет может транспортироваться любыми видами транспорта на любые расстояния. Транспортировка может производиться как в транспортных контейнерах, так и без них.
Мототележка и крыло должны быть закреплены на транспортном средстве от перемещений.
Мототележка должна быть зачехлена.
Хранение крыла и мототележки должно производиться в закрытых сухих и проветриваемых помещениях при температуре от -30° до +45° С.
Крыло предварительно должно быть очищено от грязи, просушено, разобрано и упаковано в чехол.
Крыло должно храниться в горизонтальном положении на полу или на стеллаже на мягкой подложке. Если стеллаж выполнен в виде ложементов, то их число должно быть не менее трех. На крыло не допускается класть предметы общим весом свыше 5 кг.
При постановке мототележки на хранение необходимо выполнить следующие операции:
•    очистить мототележку от грязи;
•    слить топливо из бака, топливопроводов и карбюраторов;
•    вывернуть свечи, снять воздушный фильтр с карбюраторов, вместо них поставить заглушки;
•    поставить заглушку на выхлопной патрубок глушителя;
•    убедиться, что цепь системы зажигания замкнута;
•    на мототележку и лопасти винта надеть чехлы, под колеса установить колодки;
•    при длительном хранении свыше шести месяцев двигатель необходимо законсервировать, руководствуясь инструкцией по эксплуатации двигателя,
•    при длительном хранении один раз в месяц необходимо производить осмотр крыла и мототележки с целью выявления дефектов, возникших при хранении (плесень, коррозия, порча насекомыми и грызунами).




Рис. 20. Органы управления двигателем.
1 - педаль газа второго пилота; 2 - ручка газа; 3 - педали управления второго пилота;
4 - тяга управления; 5 - болт-фиксатор педалей управления.


5. Двигатель  ROTAX – 582 ULD CDI

Поршневой двигатель «ROTAX-582UL DCDI» - бензиновый, двухтактный, двухцилиндровый, с рядным расположением цилиндров, с жидкостной системой охлаждения, с вращающимся дисковым золотником управления впуском, с электронной дублированной системой зажигания, с карбюраторным смесеобразованием.
Двигатель оборудован выхлопной системой резонансного типа.
Система запуска двигателя может иметь ручной и (или) электрический стартер(ы)
Интегрированный 12-ти полюсный генератор обеспечивает работу системы зажигания и электросистемы летательного аппарата.
Для крепления к мотораме двигатель имеет четыре резьбовые шпильки на нижней части картера.
На двигатель может устанавливаться одноступенчатый редуктор для понижения частоты вращения вала воздушного винта относительно частоты вращения коленчатого вала.

ПРЕДУПРЕЖДЕНИЕ:    Все резьбовые соединения двигателя имеют метрическую резьбу, за исключением резьбового отверстия в коническом хвостовике коленчатого вала со стороны РТО, где применена мелкая дюймовая резьба 1/2-20UNF.    При выполнении регламентных работ и ремонте двигателя используйте только за-пасные части ФИРМЫ-ПРОИЗВОДИТЕЛЯ двигателя.    Запуск двигателя без воздушного винта или нагрузки коленчатого вала, соответ-ствующих техническим данным двигателя, ЗАПРЕЩЕН.

Время непрерывной работы двигателя:
  • на взлётном режиме не более 5 минут;
  • на режиме малого газа не более 5 минут;
  • на других режимах не ограничено.

Время перехода с режима МГ до ВР  не более 3 сек.
(приёмистость)

Эксплуатация двигателя при отрицательных перегрузках запрещена.
Кратковременные околонулевые перегрузки, связанные с турбулентностью атмосферы, допускаются.

6.   Техническая документация и  техническое обслуживание дельталёта.

6.1 Техническая документация

Для грамотной эксплуатации, учёта наработки и технического обслуживания дельталёта предусмотрена техническая документация:
  • формуляр дельталёта;
  • руководство по технической эксплуатации дельталёта;
  • журнал подготовки дельталёта к полёту;
  • формуляр двигателя;
  • регламент технического обслуживания дельталёта;
  • паспорт на высотомер;
  • паспорт на вариометр;
  • паспорт на указатель скорости;
  • паспорт на воздушный винт;
  • паспорт на радиостанцию;
  • паспорт на спасательную систему;
  • этикетка на КИ-13 и другие приборы.
6.2  Техническое обслуживание

Меры безопасности
К работе на дельталете допускаются лица, изучившие правила техники безопасности и прошедшие проверку их усвоения с оформлением документов. При выполнении всех видов работ, производимых на дельталете, строго соблюдать все правила техники безопасности и охраны труда, изложенные в действующих инсрукциях, и настоящем Руководстве.
Перед запуском двигателя убедиться в отсутствии людей и посторонних предметов в плоскости вращения винта и принять меры от перемещения дельталета вперед. Коман-ды предупреждения доводить до всех лиц, находящихся возле дельталета. Запуск двигателя разрешается производить только убедившись в том, что приняты все меры предосторожности.
Во время опробывания двигателя запрещается покидать сидение, убирать руку с выключателя зажигания и рычага управления двигателем и производить какие-либо работы на дельталете. Запрещается проворачивать винт, не убедившись в том, что выключатель «ЗАЖИГАНИЕ» выключен.

Контрольный облет дельталета выполняется пилотом-инструктором, имеющим допуск на облет.
После облета заключение о годности дельталета к дальнейшей эксплуатации заносится в формуляр.

После заруливания и остановки двигателя принять меры против его опрокидывания. Для этого дельталет установить боком (90°) к ветру, консоль крыла с наветренной стороны опустить на землю, рулевую трапецию зафиксировать привязными ремнями. При скорости ветра более 6 м/сек., пользуясь штопорами, зафиксировать дельталет четырьмя растяжками.
При постановке дельталета на стоянку или хранение крыло демонтируется.
Для замены поврежденных (поломанных) деталей необходимо использовать детали из комплекта запчастей, а при их отсутствии нужно обращаться на завод-изготовитель.
При эксплуатации и обслуживании дельталета необходимо принимать меры, исключающие возможность возникновения пожара.


6.2.1   Виды технического обслуживания
Для обеспечения безопасной работы дельталёта предусмотрены следующие формы технического обслуживания:
1. Подготовка к полётам
  • предварительная подготовка;
  • предполетная подготовка;
  • подготовка к повторному вылету;
  • послеполетная подготовка.
2. Регламентные работы.
3. Периодическое обслуживание.
4. Обслуживание при хранении.
Периодичность, объём и последовательность обслуживания определяются регламентом технического обслуживания.

Раздел 3.  Аэродинамика и динамика полёта дельталёта



Введение


Теоретической базой для проектирования, расчета и пилотирования летательных аппаратов тяжелее воздуха является аэродинамика – наука, изучающая закономерности движения газов (воздуха) и их силовое взаимодействие с движущимися в них телами или граничными поверхностями
В зависимости от предмета исследований и методов изучения явлений аэродинамику принято делить на теоретическую, экспериментальную и прикладную.
Теоретическая аэродинамика основывается на законах физики и механики и описывает средствами математики явления, возникающие при обтекании тел воздушным потоком. Она является фундаментальной научной базой экспериментальной и прикладной дисциплины.
Экспериментальная аэродинамика изучает качественные закономерности и количественные соотношения между формой, размерами обтекаемых тел, кинематическими параметрами воздушного потока: скоростью, плотностью, вязкостью, направлением и величиной сил, действующих на эти тела.
Основным методом этого раздела аэродинамики является эксперимент, проводимый при помощи специальных приборов в аэродинамических лабораториях или непосредственно в полете. В последнем случае исследования называются летными испытаниями.
Экспериментальными средствами для этих целей являются, прежде всего, аэродинамические трубы, а также экспериментальные летательные аппараты, в том числе летающие модели.
Прикладная аэродинамика – на основе данных теоретической и экспериментальной аэродинамики разрабатывается аэродинамика крыла, воздушного винта и динамика полета.
Одной из основных задач прикладной аэродинамики является определение сил и момен-тов, действующих на летательный аппарат. Эти силовые факторы служат исходным материалом для аэродинамического расчета и расчета на прочность, проектирования и летных испытаний летательных аппаратов.
С помощью аэродинамических расчетов выбираются и уточняются внешние формы частей летательных аппаратов, их взаимное расположение и компоновка в целом.
Прикладная аэродинамика, являясь частью динамики полета, детально объясняет поведение летательных аппаратов в реальных условиях движения и описывает технику их пилотирования, позволяет установить допустимые и запретные режимы полета и параметры.


1. Основные параметры воздуха. Физические свойства воздуха.

Законы движения воздуха и других газов идентичны. Отличия состоят лишь в значениях физических констант.

1.1. Параметрами воздуха называются величины, определяющие его состояние: температура, давление, плотность.
Температура – степень нагретости воздуха. Она характеризует скорость теплового (хаотического) движения молекул. Для измерения температуры существуют две шкалы: Цельсия (t0 C) и термодинамическая шкала абсолютных температур Кельвина (Т0 К).
В первой шкале за 00 принята температура таяния льда, за 1000 – температура кипения во-ды. По второй шкале нулевой температурой считают –2730С, при которой прекращается тепловое движение молекул.
Давление – сила, действующая на единицу площади тела перпендикулярно к его поверхности.
В жидкостях и газах давление стремится распространиться равномерно во все стороны. Небольшой объем воздуха или небольшое по размерам тело, находящееся в неподвижном воздухе в состоянии покоя, со всех сторон испытывает одинаковое давление. Давление обозначается буквой Р, измеряется в кгс/см2, или в системе СИ в Н/м2 (ньютон на метр квадратный)
1 кгс/см2 = 9,8 Н/м2
Давление, равное 1 кгс/см2 называется технической атмосферой и уравновешивается столбом ртути высотой 735,6 мм.
Физической атмосферой называется давление, равное 760 мм рт.ст. или 1,0332 кг/см2.
Плотность воздуха обуславливается его количеством в единице объема. В зависимости от того, в чем выражается количество воздуха – в единицах массы или веса, различают массовую и весовую плотность.
Массовой плотностью называется масса воздуха заключенная в 1м3.
ρ = m/V, где
ρ - массовая плотность, кгс сек24,
m - масса воздуха, кгс сек2/м,
V - объем, м3.
Весовой плотностью называется вес 1 м3 воздуха:
v = G/V, где
v - весовая плотность, кгс/м3
G - вес воздуха, кгс
V - объем воздуха, м3

1.2. Физические свойства воздуха
К физическим свойствам воздуха, влияющим на величину аэродинамических сил, относятся: инертность, вязкость, сжимаемость, текучесть.
Инертность – свойство воздуха оказывать сопротивление изменению состояния относительного покоя или прямолинейного равномерного движения.
С точки зрения физики воздух, как и все другие материальные тела, обладает массой и соответственно одним из важнейших свойств массы – инертностью.
В соответствии со вторым законом Ньютона, сила, действующая со стороны воздуха на движущееся в нем тело, прямо пропорциональна массе воздуха, взаимодействующего с телом. Следовательно, инертность воздуха является причиной его сопротивления движению тела. Мерой инертности может служить плотность массы воздуха. Чем она больше, тем большую силу необходимо приложить, чтобы вывести частицы воздуха из состояния равновесия, и тем больше будет сила, действующая со стороны воздуха на движущееся в нем тело.
Вязкость – способность воздуха создавать сопротивление относительному перемещению его слоев. Причиной вязкости являются силы внутреннего трения.
Молекулы жидкости или газа обладают определенной скоростью хаотического движения, обусловленного их температурой. В текущей жидкости или газе молекулы кроме теплового движения имеют еще добавочную скорость общего поступательного движения в данном слое. Поэтому, попадая из быстрого слоя в медленный, быстрые молекулы ускоряют движение медленных, и наоборот, медленные молекулы, попадая в слой с большой скоростью, притормаживают движение быстрых.
Вязкостью воздуха определяется наличие сил трения, возникающих при движении тел в воздушном потоке. Это вторая причина сопротивления воздуха.
Сжимаемость – свойство воздуха изменять свой объем, а, следовательно, и плотность при изменении давления и температуры. Сжимаемостью обладают все вещества, но одни из них сжимаются легко, другие – практически не сжимаются.
Силы сцепления между молекулами воздуха не велики, а расстояния между ними значительны и легко изменяются при изменении давления или температуры, что и приводит к изменению плотности. В отличие от воздуха и других газов капельные жидкости практически не сжимаются, так как молекулы их уже сжаты громадными силами поверхностного натяжения.

2. Основные законы аэродинамики

Аэродинамика базируется на двух важнейших законах естествознания: законе сохранения массы (материи) и законе сохранения энергии.
Впервые, применительно к идеальной жидкости, он был сформулирован Л.Эйлером в 1770 году.

2.1. Закон неразрывности
Выделим в струйке идеальной жидкости переменного сечения два элементарных участка 1 и 2 (рис. 21).


Рис. 21. Установившееся движение струйки идеальной жидкости.

Обозначим: F1 и F2 – площади этих сечений; V1 и V2 – скорости; ρ1 и ρ2 - плотности жидкости. 
При установившемся движении жидкости сжатие и расширение исключено, расход через боковую поверхность струйки невозможен.
Поэтому для неразрывности струйки необходимо и достаточно, чтобы объемный расход жидкости через любые сечения струйки был постоянным. Из этого следует:

ρ1 F1 V1 = ρ2 F2 V2.

Это выражение и называется уравнением неразрывности течения жидкости. Так как жидкость не сжимается, то плотность ее не изменяется, следовательно:

F1 V1  = F2 V2 = const

В таком виде уравнение неразрывности справедливо для воздуха только при сравнительно небольших скоростях движения (примерно до 300 км/ч). При больших же скоростях (вследствие проявления сжимаемости воздуха) плотность, а, следовательно, и объемный расход уже не будут постоянными. Итак, через различные сечения струйки в секунду проходит одинаковый объем и масса жидкости. Это означает, что через эти сечения жидкость течет с разными скоростями: чем меньше сечение, тем больше скорость жидкости. Это следует, в частности, из последнего уравнения, которое можно записать:  



Т.е. скорость жидкости обратно пропорциональна площади поперечного сечения струйки.
Следовательно, уравнение неразрывности позволяет судить по густоте линий тока о скорости течения. Мы можем сказать, что там, где линии тока гуще всего, т.е. сечение струйки наименьшее, скорость воздуха наибольшая. Это происходит в самом узком сечении аэродинамической трубы и над крылом (рис. 22):



Рис. 22. Зависимость скорости воздуха от густоты линий тока. 


Таким образом, сравнивая густоту линий тока, мы можем сравнивать скорости течения жидкости или воздуха в разных местах потока.

2.2. Статическое давление и скоростной напор
Второе важнейшее уравнение аэрогидродинамики, открытое русским академиком Д. Бернулли, устанавливает связь между давлением в струе и скоростью движения жидкости. Проследим эту связь на опыте (рис. 23).


Рис. 23. При сужении струи статическое давление уменьшается.

При движении воздуха по трубке переменного сечения манометры показывают, что давление падает при сужении струи, т.е. при увеличении скорости движения воздуха. Таким образом, при увеличении скорости потока воздуха, статическое давление уменьшается.
Поток воздуха, набегая на препятствие (например, на лопасти ветряного двигателя), может производить работу. Следовательно, поток обладает некоторым запасом энергии, который состоит из потенциальной и кинетической энергии. Когда воздух движется по трубке (без трения), он не производит никакой работы и поэтому общий запас энергии остается постоянным.
Но всегда возможен переход кинетической энергии в потенциальную и наоборот. Это и имеет место в данном случае.
Когда скорость струи в узком сечении увеличивается, то увеличивается и кинетическая энергия струи в этом месте. Но если общая энергия струи не меняется, то увеличение кинетической энергии может произойти только за счет уменьшения потенциальной энергии, т.е. статического давления.
Вот почему при увеличении скорости струи (в узком сечении трубки) давление падает. При уменьшении скорости струи (в широком сечении) происходит обратное.
Потенциальная энергия горизонтально текущей струи пропорциональна статическому давлению, которое аналогично давлению покоящегося воздуха. Это давление на стенку, параллельно которой движется воздух (стенку параллельную линиям тока), поэтому мы обнаружили это давле-ние манометрами, включенными в стенку трубки. Статическое давление в струе (потоке), как и давление покоящегося воздуха, измеряется в миллиметрах ртутного или водяного столба в кг/м2 и обозначается буквой Р.
Кинетическая энергия струи (потока) проявляет себя динамическим давлением или, как его чаще называют, скоростным напором. Величину скоростного напора можно оценить, если измерить давление струи на поверхность, перпендикулярную линиям тока. Скоростной напор воздушной струи легко обнаружить, если направить струю на отверстие изогнутой трубки, частью наполненной водой (рис. 24).


Рис. 24. Проявление скоростного напора.

Под действием скоростного напора струи воздуха уровень воды в левом колене трубки понизится.
Скоростной напор есть удельная кинетическая энергия, т.е. та энергия, которая содержится в 1 кубическом метре движущегося воздуха.
Кинетическая энергия некоторой массы m, как известно, выражается так: 

Масса 1 м3воздуха есть его массовая плотность ρ. Поэтому, заменив в этой формуле массу m массовой плотностью воздуха p, получим следующую формулу для оценки скоростного напора, обозначаемого буквой q:                                                      

Скоростной напор, как и статическое давление, выражается в кг/м2. Чтобы убедиться в этом, перемножим размерности величин, входящих в правую часть формулы:
 


Пример. Определить скоростной напор, если плотность воздуха p = 0,125 кг/сек24 и скорость воздуха V = 40 м/сек.


2.3. Уравнение Бернулли
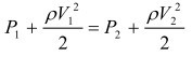
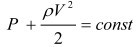
Выше было указано, что запас энергии струи воздуха (потенциальной плюс кинетической), если отсутствуют потери, остается неизменным во всех сечениях трубки (рис. 23). Это означает также и то, что сумма статического давления и скоростного напора в каком-нибудь сечении трубки равна сумме статического давления и скоростного напора в любом другом сечении, т.е. постоянна по всей длине трубки. Если обозначить действующее в произвольном сечении I трубки статическое давление через Р1 и скорость воздуха через V1 и соответственно, также в произвольном сечении II – через Р2 и V2, то можно записать:


 или, так как выбор сечений совершенно произволен, можно записать:


 
Это уравнение представляет одну из возможных математических формулировок закона, открытого Д. Бернулли, и читается так:
При установившемся движении идеальной жидкости сумма статического давления и скоростного напора есть величина постоянная в любом сечении данной струйки. Эта сумма называется полным давлением, или полным напором.
Из уравнения Бернулли следует, что  увеличение скоростного напора уменьшает статическое давление в струе.
Хотя  уравнение  Бернулли справедливо  для идеальной жидкости, им пользуются и в аэродинамике. Для учета вязкости и сжимаемости  воздуха  вносятся  соответствующие поправки,  и уравнение приобретает более сложный вид.


Рис. 25. Иллюстрация уравнения Бернулли.

В  справедливости  уравнения Бернулли  мы можем убедиться на следующем простом опыте. Возьмите два листа писчей бумаги и, держа их, как показано на рис. 25, дуйте в промежуток между ними. Казалось бы, что листы должны разойтись, произойдет же, как раз обратное: листы сблизятся. С внешних сторон листов давление атмосферное (Р 0 ), в промежутке же между листами давление в струе (Р 1 ) вследствие наличия скоростного напора будет немного меньше. Под действием разности давлений (Р 0 ≠ Р 1 ) листы сблизятся. Показательной иллюстрацией уравнения Бернулли является действие  пульверизатора  (рис. 26).


Рис. 26 Действия пульверизатора объясняется уравнением Бернулли.

В струе воздуха выходящей из горизонтальной трубочки, давление понижено за счет ско-ростного напора. Так как струя проходит над верхним отверстием вертикальной трубочки, опущенной в жидкость, то и над этим отверстием давление будет пониженным по сравнению с атмо-сферным давлением (Р0), действующим на поверхность жидкости в сосуде. Под действием разности давлений (Р0 ≠  Р1) вода поднимется вверх, и, попадая в струю воздуха, распыляется ею.
На этом же принципе основано устройство карбюратора двигателя внутреннего сгорания (рис. 27).

Рис. 27. Устройство карбюратора основано на уравнении Бернулли.

Воздух проходит с некоторой скоростью в узком сечении карбюратора. Поэтому давление около отверстия жиклера будет пониженным по сравнению с атмосферным, действующим на поверх-ность бензина в поплавковой камере. Вследствие разности давлений бензин вытекает из отверстия жиклера, подхватывается воздухом и в смеси с ним поступает затем в цилиндры двигателя.
Наиболее наглядное проявление закона Бернулли реализуется в принципе измерения скорости воздушного потока (рис. 28).


Рис. 28. Принцип измерения скорости полета самолёта.

Приемник воздушного давления (ПВД) содержит два канала. Передний обрез внутреннего канала 1, обращенный на встречу потоку перпендикулярно направлению движения, является приемником полного давления, боковые отверстия 2 в корпусе ПВД являются приемником статического давления Р. Оба приемника соединены трубками с указателем скорости 3, расположенным в кабине самолета.
Под действием разности давлений, которая равна скоростному напору, мембранная коробка 4, являющаяся чувствительным элементом указателя скорости, деформируется и через механическую передачу поворачивает стрелку 5 прибора, шкала которого отградуирована в единицах скорости. Измеренная таким образом скорость называется приборной скоростью полета у земли V
пр.

Для измерения скорости полёта дельталёта может применяться трубка Вентури.

3. Обтекание тел потоком воздуха

3.1.   Принцип относительности
При воздействии на тело воздушного потока со скоростью V возникает аэродинамическая сила R, приложенная к телу (рис. 29).


Рис. 29. Принцип относительности:
а – движение тела в неподвижном воздухе; б – обтекание неподвижного тела потоком воздуха.

Величина этой силы зависит от многих факторов и в первую очередь от скорости потока, формы тела и ориентации тела к направлению воздушного потока. С точки зрения силового взаи-модействия воздушного потока с обтекаемым телом нет принципиального различия, движется ли тело (самолет) в неподвижном воздухе, или наоборот, воздушный поток обдувает неподвижное тело (аэродинамическая труба). В этом заключается принцип относительности в аэродинамике.

3.2. Аэродинамический спектр – видимая картина обтекания тела потоком воздуха (рис. 30). Его можно получить в лабораторных условиях (в аэродинамической трубе), если поместить тело той или иной формы в потоке воздуха, подкрашенном струйками дыма. На достаточно большом расстоянии от тела воздушный поток не деформируется, струйки текут прямолинейно с постоянной скоростью. Вблизи тела струйки изменяют свое направление и площадь поперечного сечения.



Рис. 30. Аэродинамические спектры:
а - неудобообтекаемое тело; б – удобообтекаемое тело.


Это приводит к изменению скорости воздуха в струйках. Поток, струйки которого деформированы присутствием в нем тела, называется возмущенным.
Основными элементами возмущенного потока являются: пограничный слой, потенциальный слой и спутная струя.
Вследствие проявления вязкости воздуха его слой, непосредственно прилегающий к поверхности тела, притормаживается. Этот эффект по мере удаления от тела ослабевает.
Пограничным называется тонкий слой воздуха, в котором скорость движения частиц изме-няется от нуля на поверхности тела до величин, равной местной скорости потока (рис. 31).


Рис. 31. Основные элементы аэродинамического спектра и виды течений воздуха в возмущенном потоке:
1– возмущенный поток; 2-потенциальный слой; 3 – спутная струя; 4 – пограничный слой; 5 – невозмуный поток.


Толщина пограничного слоя непостоянна по длине тела, она увеличивается от его носовой части к хвостовой.
Течение воздуха в пограничном слое неоднородно – оно подразделяется на два вида: ламинарное – с несмешивающимися струйками; турбулентное – с завихренным потоком и поперечным перемеши-ванием частиц воздуха. До места наибольшей толщины тела поток, как правило, ламинарный. Затем ламинарное течение переходит в турбулентное (рис. 32).

Рис. 32. Виды течений в пограничном слое:
а –ламинарное; б – турбулентное; в - точка перехода.


При турбулентном течении сопротивление, как правило, больше, чем при ламинарном, так как на перемешивание и создание частиц воздуха затрачивается дополнительная энергия.  Чем больше ламинарная часть обтекания профиля, тем меньшее сопротивление воздуха он испытывает. Для увеличения ламинарной части обтекания крыльев применяют специальные ламинизированные профили, у которых наибольшая толщина затянута ближе к их середине, а поверхность очень гладкая и плавная.

4. Аэродинамические силы и аэродинамические характеристики крыла

4.1. Геометрические параметры крыла
Аэродинамические характеристики крыла определяются его геометрическими параметрами.
Основными из них являются:
  • профиль крыла и набор профилей по размаху;
  • форма и размеры крыла в плане;
  • геометрическая крутка крыла;
  • вид спереди.
Профиль крыла – форма сечения в плоскости, параллельной плоскости его симметрии.
Рассмотрим основные параметры профиля крыла (рис. 33).


Рис. 33. Основные параметры профиля крыла.

Хорда профиля
b – отрезок прямой, соединяющий две наиболее удаленные точки передней и задней кромки профиля. Длина хорды профиля характеризует размер профиля по потоку.
Относительная толщина профиля
С – отношение максимальной толщины Смах к длине хорды, выраженное в процентах: 


При С меньше 8 % - профиль считается тонким, от 8 до 12 % - средним, свыше 12 % - толстым.

Относительная кривизна (вогнутость) профиля ƒ - отношение стрелы прогиба средней линии профиля ƒмах к его хорде, измеряемое в процентах: 



Средняя линия профиля – линия, соединяющая середины отрезков профиля, перпендикулярные к хорде.
Координата  максимальной толщины профиля измеряется в процентах от хорды, считая от носка профиля:


Координата максимальной кривизны профиля: 


Радиус носка профиля: 



Увеличение толщины и кривизны профиля крыла до определенных пределов и смещение вперед к носку профиля максимальной толщины и кривизны, как правило, повышает несущие свойства крыла, но одновременно вызывает увеличение лобового сопротивления. Крылья с толстым профилем и относительной кривизной 1,5-5 % применяются на самолетах, рассчитанных на относительно небольшие скорости полета. Ламинизированные профили имеют затянутую к хвостику координату относительной толщины до 40-50 %, так как при этом увеличивается протяженность ламинарного пограничного слоя.  Радиус носка профиля влияет на характер срыва потока и на величину угла атаки, при которой он начинается. Чем больше R, тем больше критический угол атаки и тем плавне характер срыва. В зависимости от назначения самолета, скорости полета и его аэродинамической схемы профили крыла могут иметь характерные различные конфигурации (рис. 34).


Рис. 34. Основные разновидности дозвуковых профилей крыла:
1 – выпукло-вогнутый; 2 – плоско-выпуклый; 3 – двояковыпуклый не симметричный; 4 – двояковыпуклый симметричный;
5 – S-образный; 6 – профиль крыла дельталета.



Выпукло-вогнутые профили (1) имеют большую несущую способность. Они применялись на тихоходных самолетах. Такую форму имели теоретические профили
Н.Е. Жуковского. С ростом скоростей полета, их применение оказалось нецелесообразным, вследствие большого лобового сопротивления.
Плоско-выпуклые профили (2) отличаются простотой в производстве и применяются преимущественно в крыльях СЛС и лопастях воздушных винтов.
Двояковыпуклые профили с большой кривизной (3) обеспечивают оптимальные аэродинамические характеристики крыла, прочность и жесткость. Они наиболее универсальны – применяются на самолетах самых разнообразных схем и назначений.
Симметричные профили (4) используются в крыльях скоростных самолетов и в органах управления.
S-образные профили (5) – самоустойчивые.Применяются на самолетах типа «летающее крыло».
Профиль крыла дельталета (6) будет описан ниже.
Установочный угол сечения крыла φсеч – угол между хордой профиля и продольной осью. Если установочные углы в разных сечениях крыла различны, то хорды не лежат в одной плоскости. Такое крыло называется геометрически закрученным.
Аэродинамическая крутка крыла создается путем подбора различных профилей по размаху крыла. Геометрическая и аэродинамическая крутка обеспечивает улучшение аэродинамических и прочностных характеристик крыла, а также характеристики устойчивости на больших углах атаки. Для самолетов типа «бесхвостка» или «летающее крыло» - дельтапланов и дельталетов указанные технические решения являются одним из средств обеспечения продольной устойчивости.

Форма крыла в плане
Форма крыла в плане оказывает значительное влияние на аэродинамические свойства крыла. По форме в плане крылья бывают прямоугольные, эллиптические, трапециевидные, стреловидные, треугольные и др.
Параметрами, характеризующими форму крыла в плане, являются размах, площадь, удлинение, сужение и стреловидность (рис. 35).



Рис. 35. Форма крыла в плане.
а - прямоугольное крыло; б - трапецевидное крыло; в - эллиптическое крыло;
г - стреловидное крыло; д - треугольное крыло.


Размах крыла L – наибольшее расстояние между концевыми точками крыла, измеряемое по нормали к плоскости симметрии.
Площадь крыла S – площадь его проекции на плоскость хорд. Сюда входит и площадь, занятая фюзеляжем и мотогондолами самолета.
Удлинение крыла λ - отношение квадрата размаха к площади крыла:

 
Сужение крыла 
η - отношение корневой хорды крыла к его концевой хорде:


Увеличение η позволяет разгрузить концевые части крыла, уменьшить изгибающий момент в корневом сечении и снизить массу крыла.
Хорда крыла b – отрезок прямой, соединяющий носовую и хвостовую точки профиля.
Длина хорды профиля характеризует размер профиля по потоку.

Рис. 36. Геометрические параметры крыла дельталёта.
а – вид в плане; б – вид спереди; в – профиль крыла (1 – линия пришива лобика; 2 – линия пришива двойной обшивки;
3 – исходный профиль; 4 – профиль в полете).


Удлинение крыла оказывает существенное влияние на величину индуктивного сопротивления и поперечную устойчивость самолета. С увеличением λ индуктивное сопротивление уменьшается, а поперечная устойчивость увеличивается. Удлинение крыла современных легких самолетов нахо-дится в пределах 6-10, мотопланеров до 20 и более, мотодельтапланов – 4,5-8,5.
Стреловидность крыла 
χ 
- угол между перпендикуляром к плоскости симметрии крыла и передней кромкой крыла.
Большинство крыльев имеет так называемый угол поперечного V, обозначенный Ψ - угол между поперечной осью самолета и нижней поверхностью крыла (рис. 37).


Рис. 37. Поперечное V крыла.

Если концы крыльев приподняты, то угол 
Ψ считается положительным (Ψ >00), если опущены – отрицательным (Ψ <00).
Угол атаки крыла
α определяется (для плоского крыла или изолированного профиля) как угол между хордой профиля и вектором скорости набегающего потока (рис. 38).


Рис. 38. Угол атаки крыла.

Для геометрически закрученного крыла, у которого хорды составляющих его профилей не лежат в одной плоскости, угол атаки определяется как угол образованный так называемой средней аэродинамической хордой (САХ) крыла и вектором скорости.
Средняя аэродинамическая хорда – это хорда условного (эквивалентного) прямоугольного крыла, которое создает такой же продольный момент относительно центра тяжести самолета, что и действительное крыло (рис. 39).


Рис. 39. Построение САХ крыла и ее координаты.

4.2. Полная аэродинамическая сила и ее составляющие
При обтекании крыла воздушным потоком на его поверхности возникает определенная картина распределения давления, называемая векторной диаграммой.
Рассмотрим принципиальный характер векторной диаграммы при обтекании симметричного двояковыпуклого профиля воздушным потоком при двух значениях угла атаки:
а) α
= 00 и б) α > 00 (рис. 40).

Рис. 40. Обтекание профиля крыла и векторная диаграмма
при симметричном (а) и несимметричном (б) обтекании.


При симметричном обтекании профиля набегающие на него струйки воздуха деформиру-ются и вследствие одинаковой выпуклости профиля площади поперечных сечений струек над и под крылом, будут изменяться одинаково. Согласно закону неразрывности струи и закону Бернулли скорость воздушного потока на верхней и нижней поверхности крыла изменяется в равной мере и соответственно давление с обеих сторон профиля будет одинаковым. У носовой части профиля давление повысится из-за уменьшения скорости потока, а позади крыла возникнет разрежение. Вследствие разности давлений возни-кает аэродинамическая сила R, направленная по потоку.
При несимметричном обтекании профиля над верхней поверхностью площади поперечных сечений струек получат большее сужение, чем в нижней части, а значит и скорость потока уве-личится, и, как следствие, давление воздуха на верхней поверхности профиля будут меньше, чем на нижней. Кроме того, давление воздуха у носка профиля возрастает из-за торможения потока, а позади профиля область разряжения увеличивается. В результате образовавшейся разности давлений возникает равнодействующая сила давления, направленная под некоторым углом к набегающему потоку.

4.2.1. Полная аэродинамическая сила крыла

Векторная диаграмма распределения давлений показывает, что поток действует на крыло распределенным образом.
При обтекании крыла идеальной жидкостью на его поверхность действует только сумма элементарных сил избыточного давления. В реальном потоке воздуха кроме сил давления возникают еще и силы трения, направленные по касательной к поверхности крыла.
Просуммировав равнодействующую сил давления с равнодействующей сил трения, получим полную аэродинамическую силу крыла.
Таким образом, полная аэродинамическая сила крыла возникает в результате разности давлений перед крылом и за ним, под крылом и над ним, а также в результате трения воздуха в пограничном слое (рис. 41).

Рис. 41. Полная аэродинамическая сила крыла и ее составляющие.
 
Точка приложения полной аэродинамической силы называется центром давления (ЦД). Условно считают, что центр давления расположен на пересечении линии действия полной аэродинамической силы и хорды профиля крыла. Поскольку полная аэродинамическая сила действует в сторону меньшего давления, то она будет направлена вверх и отклонена назад. Согласно основному закону сопротивления воздуха полная аэродинамическая сила крыла определяется по формуле:


    
При изменении угла атаки крыла картина распределения давления по профилю меняется, поэтому изменяется величина и направление полной аэродинамической силы и перемещается центр давления.
Закон перемещения центра давления зависит от формы профиля. У несимметричного про-филя при увеличении угла атаки центр давления перемещается вперед – к носку профиля и, наобо-рот, при уменьшении угла атаки центр давления перемещается к хвосту профиля.
У симметричных профилей центр давления при изменении углов атаки практически не перемещается.
У S-образных профилей центр давления перемещается по обратному закону. Вследствие этого такие профили находят применение на самолетах типа «бесхвостка» и «летающее крыло». S-образные профили наряду с геометрической круткой и стреловидностью обеспечивают устойчивость дельталёта.
Полную аэродинамическую силу R принято раскладывать на две составляющие. Проекция полной аэродинамической силы на направление потока тормозит движение тела и поэтому называется силой лобового сопротивления: Х = R sinθ.
Проекция силы R на направление, перпендикулярное потоку, поддерживает тело в воздухе и называется подъемной силой: Y = R cosθ.
Составляющая полной аэродинамической силы крыла вычисляется по формулам:
     где
Y – подъемная сила, кгс;
Х – сила лобового сопротивления, кгс;
Су, Сх – соответственно аэродинамические коэффициенты подъемной силы и силы лобового сопротивления;
S – площадь крыла, м2;
  – скоростной напор, кгс/м2.

4.2.2. Сила лобового сопротивления крыла
Ранее было установлено, что сила лобового сопротивления крыла складывается из двух составляющих: сопротивления давления и сопротивления трения. Предполагалось, что все сечения находятся в одинаковых условиях, так как не испытывают влияния концевых эффектов. В этом случае говорят об обтекании крыла бесконечного размаха. При этом сопротивление не зависит от формы крыла в плане, а определяется преимущественно профилем крыла. Отсюда и определение – профильное сопротивление: Хр = Хд+Хтр, кгс.
Величина профильного сопротивления определяется по формуле:
                                          
где Схр – коэффициент профильного сопротивления крыла.
Сопротивление давления зависит от относительной толщины и относительной кривизны профиля крыла, с увеличением которых оно увеличивается. На малых углах атаки, когда поток плавно обтекает тело, сопротивление давления изменяется незначительно.
Величина сопротивления трения, как было рассмотрено в разделе, зависит от шероховатости поверхности, характера трения в пограничном слое.
Коэффициент профильного сопротивления Схр равен сумме коэффициентов сопротивления давления и трения: Схр = Сх д + Сх тр
Практически коэффициент профильного сопротивления в пределах малых углов атаки не изменяется, так как сопротивление трения, составляющее до 80 % всего профильного сопротивления, от угла атаки не зависит.
На больших же углах атаки, когда сопротивление давления возрастает из-за срыва потока, коэффициент профильного сопротивления тоже увеличивается.

4.2.3. Индуктивное сопротивление крыла
Теория индуктивного сопротивления крыла конечного размаха разработана в 1910 году С.А.Чаплыгиным. Исследуя обтекание крыла, он установил, что при наличии разности давлений под крылом и над ним массы воздуха перетекают с нижней поверхности крыла на верхнюю, образуя так называемые концевые вихревые жгуты (рис. 42).


Рис. 42.  Обтекание крыла конечного размаха:
а – перетекание воздуха по торцам крыла; б – вихревые жгуты и вихревая пелена;
в – схема возникновения скоса потока и индуктивного сопротивления.

Вихревые жгуты сообщают (индуцируют) потоку дополнительную вертикальную скорость направ-ленную вниз. Среднее значение этой индуцированной скорости – Ụ. 
Истинная скорость потока, обтекающего крыло Vист, определяется как геометрическая сумма начальной скорости потока V0 и индуцированной скорости Ụ. Вектор истинной скорости ока-зывается отклоненным вниз на угол
ε, называемый углом скоса потока:


Истинный угол атаки вследствие скоса потока уменьшается:
 , где

αист – истинный угол атаки;

α0  - начальный угол атаки;

ε - скос потока.

Скос потока приводит к отклонению на угол вектора подъемной силы Yист, проекция которой на направление движения крыла и называется индуктивным сопротивлением Хi.
Из схемы сил на рис. 42 видно, что с увеличением подъемной силы и угла скоса потока индуктивное сопротивление Хi увеличивается.
Угол скоса потока  зависит от разности давлений под и над крылом, формы крыла в плане и удлинения крыла.
Разность давлений определяется значением коэффициента Су. При увеличении Су (независимо от причин) перетекание потока через консоли усиливается, индуцированная скорость и угол скоса 
ε также увеличивается. Минимальный скос потока вызывает эллиптическое крыло. Наибольшее влияние на скос потока оказывает удлинение крыла. При увеличении λ возрастает расстояние от осей вихревых жгутов до корневых сечений крыла и среднее значение индуцированной вихревой скорости уменьшается.
На угле атаки нулевой подъемной силы Схi = 0, так как Су = 0. При полете в эксплуатационном диапазоне углов атаки Схi увеличивается с увеличением 
α.
Максимального значения коэффициент индуктивного сопротивления достигает на критическом угле атаки 
αкр.

4.2.4. Аэродинамические характеристики крыла
Аэродинамическими характеристиками крыла называются графики зависимости аэродинамических коэффициентов от угла атаки.
Зависимость коэффициента подъемной силы от угла атаки.
График Су = ƒ(
α) строится в прямоугольной системе координат (рис. 43 а).   


Рис. 43. Аэродинамические характеристики крыла:
а – зависимость СY=ƒ(α); б – зависимость СX=ƒ(α); в – зависимость СY=ƒ(СX).

На оси ординат откладывается значение коэффициента подъемной силы Су, на оси абсцисс – угол атаки.
Прямолинейный участок графика соответствует безотрывному обтеканию крыла, когда увеличение угла атаки 
α приводит к пропорциональному увеличению коэффициента подъемной силы СY, так как при увеличении угла атаки усиливается деформация потока и возрастает разность давлений под и над крылом. Угол наклона графика СY = ƒ(α) характеризует градиент изменения коэффициента подъемной силы при изменении α.
Криволинейный участок свидетельствует о начале срывного обтекания крыла. Изменение направ-ления графика показывает, что дальнейшее увеличение 
α усиливает срыв потока и вызывает уменьшение СY.
На графике есть две характерные точки:
1 – точка пересечения графика с осью абсцисс соответствует углу атаки, при котором СY = 0. Этот угол обозначают 
α0 и называют углом атаки нулевой подъемной силы. У симметричных профилей α0=0, график проходит через начало координат, у несимметричных α0 имеет значение, отличные от нуля, как правило, отрицательные.
2 – точка касания графика с прямой, параллельной оси абсцисс (верхняя точка графика), соответствует углу атаки, при котором коэффициент подъемной силы достигает максимального значения СYmax. Этот угол атаки обозначается 
αкр и называется критическим.

Зависимость коэффициента лобового сопротивления от угла атаки. Сх=ƒ(
α) (рис. 43 б)

Коэффициент лобового сопротивления крыла имеет более сложную зависимость от угла атаки. Так как лобовое сопротивление Х=Хтр+Хд+Хi, то выражение силы через аэродинамические коэффициенты можно записать:
Сх=Сх тр+Схд+Схi

Коэффициенты Сх тр и Схд в диапазоне 
α0 < α < αкр почти не зависят от угла атаки. Коэффициент же индуктивного сопротивления изменяется по закону квадратной параболы, так как
, где

А – коэффициент, учитывающий форму крыла в плане на скос потока дельталета.
Следовательно, суммарная зависимость Сх=ƒ(
α) имеет вид квадратной параболы, сдвинутой по оси Сх вверх на величину Сх прх трхд. На малых углах атаки сопротивление крыла в основном определяется профильным сопротивлением. С возрастанием угла атаки большее влияние на сопротивление оказывает индуктивное сопротивление.
Универсальной характеристикой, имеющей большое практическое значение, является зависимость коэффициентов Су и Сх от угла атаки 
α, получившей название поляры крыла (рис. 43 в). Она строится по зависимостям Су=ƒ(α) и Сх=ƒ(α). На поляре можно отметить характерные точки:
α0 – угол нулевой подъемной силы;
αсх min – угол, при котором Схmin;
αнв – наивыгоднейший угол атаки крыла, при котором отношение
, называемое аэродинамическим качеством, наибольшее;
θ - угол качества;
αкр – критический угол атаки.
Аэродинамическое качество  крыла   является важнейшим показателем его аэродинамического совершенства и в значительной мере определяет аэродинамические качества всего летательного аппарата.
По схеме сил (рис. 41) видно, что отношение подъемной силы к силе лобового сопротивление
          
эквивалентное отношение соответствующих коэффициентов   пропорционально углу θ. Поэтому угол θ называют углом качества.
Формула показывает, что чем больше угол качества, тем меньше величина качества крыла.
Величина аэродинамического качества зависит от тех же факторов, что и аэродинамиче-ские коэффициенты Су и Сх, т.е. от формы профиля, формы крыла в плане, геометрической крутки, угла атаки и т.д.
Для крыльев легких самолетов величина максимального аэродинамического качества достигает 20 и более, для планеров 50-60.
Предельный уровень аэродинамического качества крыла современных дельталетов составляет 10-12.

5. Аэродинамические характеристики дельталёта

5.1. Подъемная сила и лобовое сопротивление
Аэродинамические характеристики дельталёта определяются аэродинамической компоновкой, т.е. формой, размерами, жесткостью, взаимным расположением и взаимным влиянием друг на друга основных элементов конструкции.
Определенную роль при этом играет силовая установка. От того, работает ли двигатель на максимальном режиме, на малом газу или выключен, зависят величины действующих на летатель-ный аппарат сил и моментов, а так же их аэродинамические коэффициенты.
Рассмотрим общий случай – планирование дельталёта с выключенным двигателем. Так как дельталёт обычной схемы не имеет горизонтального и вертикального хвостового оперения, а мототележка конструктивно выполнена в виде единого целого – каркаса или корпуса, то можно с достаточной для практики точностью считать, что аэродинамическая компоновка дельталета опре-деляется двумя элементами: крылом и мототележкой.
Подъемная сила создается крылом. Однако ее величина будет отличаться от величины подъемной силы изолированного крыла. Это объясняется влиянием на крыло мототележки. Как правило, это влияние отрицательно: в результате торможения воздушного потока, вихреобразова-ния и изменения поля скоростей в зоне сопряжения крыла и мототележки подъемная сила системы уменьшается.

Результаты испытаний дельталетов в натурной аэродинамической трубе показывают, что уменьшение коэффициента подъемной силы ∆Су дельталета по отношению к изолированному крылу составляет от 5 до 10 % - Су max.
Лобовое сопротивление дельталета является равнодействующей (суммой) лобовых сопротивлений крыла и мототележки. В этом случае также проявляется взаимное влияние этих элементов, называемое интерференцией.
Таким образом, лобовое сопротивление дельталета с учетом интерференции запишется Х = (Хкр + Хмтинт
или в коэффициентах Сх = (Сх кр + Сх мтинт,
где Кинт – коэффициент интерференции.
Если из продувок или аналогов известны коэффициенты лобового сопротивления изолированного крыла Сх кр и коэффициент лобового сопротивления дельталёта в целом Сх, то обычно принимают, что коэффициент лобового сопротивления мототележки равен разности Сх мт = Сх - Сх кр,
где Сх мт – коэффициент лобового сопротивления мототележки с учетом интерференции.
Величина лобового сопротивления мототележки зависит от типа дельталета, конструктивного исполнения мототележки, ее формы и геометрических параметров.
Для сравнения мототележек и подвесных систем по величине лобового сопротивления используются два показателя: коэффициент лобового сопротивления формы Сх и лобовая площадь Sмт мототележки.
Интегральным критерием аэродинамического совершенства мототележки или подвесной системы является произведение (Сх × S)мт.
Чем меньше это произведение, тем совершеннее в аэродинамическом отношении мототележка.
Для определения коэффициента лобового сопротивления подвесной системы в общей сумме сопротивления дельталета предыдущий показатель необходимо отнести к площади крыла:

Таким образом, коэффициент лобового сопротивления дельталета запишется
 
Таблица 1. Классификация подвесных систем и мототележек
по величине лобового сопротивления.


Оценим уровень аэродинамического совершенства подвесных систем по критерию (Сх × S)мт.
Выберем в качестве базы (для сравнения) наиболее распространенный тип мототележки – одноместную расчалочную без обтекателя. Сопротивление этой мототележки примем за 100 %.
Переход к корпусной открытой мототележке уменьшает лобовое сопротивление на 30-40 %.
Сопротивление закрытой корпусной мототележки хороших форм меньше базовой почти в 3 раза. Оно составляет в среднем 34 % от базовой.
Двухместная мототележка типа «Тандем» имеет сопротивление порядка 120-130 % от одноместной.
Схема «Дуэт» проигрывает последней почти в 2 раза, ее сопротивление составляет 230-290 % от базовой.
Это объясняется увеличением в 1,3 раза коэффициента сопротивления формы и почти в 1,5 раза лобовой площади.
При анализе влияния мототележки на общее лобовое сопротивление дельталета необходимо учитывать соотношение площадей Sмт/Sкр.
В частности, следует избегать сочетания высококачественного крыла малой площади с мототележкой типа «Дуэт».
Например, для крыла площадью 14 м2, имеющего Кmax=12 и Сх min=0,02-0,025 добавка лобового сопротивления от мототележки с Сх × S = 1,4 составит ∆Сх = 0,1, что в 4-5 раз превышает сопротивление самого крыла. Наоборот, для сопротивления одноместной мототележки с Сх × S=0,3 составит в сочетании с крылом площадью 20 м2 только 20-25 %.
Следовательно, второй вариант является более предпочтительны.

5.2. Поляра дельталёта
Полярой дельталета называется кривая, отражающая зависимость между коэффициентами подъемной силы и лобового сопротивления.
В предыдущем разделе показано, что коэффициент подъемной силы дельталета практически равен коэффициенту подъемной силы крыла, которым снабжен данный дельталет. Исключение составляет Су max, который меньше Суmax кр на 5-10 %. Коэффициент лобового сопротивления равен сумме коэффициентов крыла Сх кр и мототележки с учетом интерференции ∆Сх мт. Вследствие этого построение поляры дельталёта сводится к сдвижке вправо на ∆Сх мт и вниз на ∆Су max поляры изолирован-ного крыла (рис. 44).


                            а                                                           б
Рис. 44. Поляра дельталёта:
а – перестроение поляры крыла в поляру дельталёта; б – физический смысл поляры.


Наиболее достоверным способом получения поляры является продувка дельталёта в натурной аэродинамической трубе.
Физический смысл поляры поясняется следующим образом. Представим себе модель дельталета, которая может вращаться на поперечной оси, проходящей через шарнир подвески крыла и через начало координат. Если, вращая крыло, устанавливать его в потоке под разными углами атаки от 
αmin до αmax, то вектор полной аэродинамической силы R, возрастая по мере увеличения α, опишет своим концом кривую, которая и будет полярой данного дельталёта.
На рис. 44 а дана поляра дельталёта, а также поляра изолированного крыла этого дельталёта. Из графика видно, что коэффициент максимальной подъемной силы дельталёта уменьшится по сравнению с изолированным крылом на 0,1 и составит Суmax = 0,96.

Добавка лобового сопротивления на наивыгоднейшем угле атаки 
αнв = 180 от присутствия мототележки составила ∆Сх мт = 0,062, что соответствует 39 % от полного сопротивления дельталёта. Минимальный угол атаки дельталёта αmin = 100 соответствует началу флаттерного полоскания обшивки крыла: Сх min кр = 0,06,  Сх min мд = 0,125.
Из характерных углов атаки 
αmin практически не изменился, αкр уменьшился с 300 до 250αнв увеличился с 160 до 180.
Поляра является основной аэродинамической характеристикой дельталёта. Она позволяет легко определить его аэродинамические свойства, содержит исходные данные, необходимые для аэродинамического расчета и расчета летных характеристик.

5.3. Аэродинамическое качество дельталёта
Аэродинамическим качеством дельталета (как и крыла) называется отношение подъемной силы к силе лобового сопротивления:
 

или, переходя  к коэффициентам,
 
Из второго уравнения видно, что качество дельталёта при одном и том же угле атаки всегда будет меньше качества изолированного крыла.
Качество дельталёта при некотором угле атаки достигает максимальной величины Кmax, и этот угол атаки называют наивыгоднейшим.
Приведенная формула наглядно демонстрирует влияние различных факторов на величину аэродинамического качества дельталета.
Коэффициент подъемной силы Су нв при изменении максимального аэродинамического качества, т.е. при смещении поляры от малых величин Кmax≈ 5 до больших Кmax≈ 10, изменяется в небольших пределах от 0,8 до 0,7. Коэффициент же сопротивления Сх нв изменяется значительно – от 0,16 до 0,06, т.е. почти в 3 раза.
Следовательно, влияние коэффициента лобового сопротивления на величину аэродинами-ческого качества дельталета является определяющим.
Ранее было установлено, что в балансе сил сопротивления дельталета участвуют два фактора: сопротивление крыла и сопротивление мототележки. Анализ соотношений этих факторов имеет большое практическое значение, так как позволяет обоснованно осуществлять выбор аэродинамической компоновки и правильно выполнять практические расчеты летных характеристик дельталетов – сравнить различные типы и технические решения.
На рис. 45 представлена обобщенная зависимость максимального аэродинамического качества дельталета от качества крыла при различных величинах сопротивления подвесной системы – (Сх × S)мт.

Рис. 45. Зависимость аэродинамического качества дельталета от качества крыла
для различных компоновок мототележки.


Зависимость аэродинамического качества изолированного (чистого) крыла иллюстрирует прямой линией, проведенной под углом 450 к осям координат. Это означает, что качество дельталета, имеющего подвесную систему с (Сх × S) = 0, совпадает по величине с качеством изолированного крыла: К = Ккр.
Если сопротивление подвесной системы больше 0, например, для случая «Мотобалки», за-висимость К=ƒ(Ккр)  смещается вправо и становится нелинейной – отваливает от осевой прямой. Величина этого отвала пропорциональна величине (С х.S)мт.
Предел достижимого уровня качества дельталетов (при Кmax кр=12) составляет:
o    для мототележек типа «Дуэт» - 7,0;
o    для мототележек типа «Тандем» - 10,0;
o    для одноместных ферменно-расчалочных – 11,0;
o    для корпусных открытых – 11,5.
Следовательно, «цена» повышения качества крыла тем больше, чем выше уровень аэродинамиче-ского совершенства мототележки.
Таким образом, достижение наибольшего аэродинамического качества дельталета только тогда будет максимальным, когда используются оба фактора – увеличение качества крыла и изменение сопротивления мототележки.

6. Аэродинамические характеристики силовой установки

В отечественной практике для дельталётов используются преимущественно двигатели, изготовленные на базе выпускаемых промышленностью автомобильных, мотоциклетных и лодочных моторов.
В период эксплуатации двигатель работает при различных условиях окружающее среды, которые определяются, главным образом, изменением высоты и скорости полета, а так же изменением внешней нагрузки, связанной с подъемом дроссельной заслонки карбюратора (от величины «газа» двигателя).  Изменение условий работы двигателя и параметров регулирования вызывает соответственно изменение эффективной мощности Ne, часового Gт, а, следовательно, и удельного Се расходов топлива – основных качественных показателей, называемых характеристиками двигателей.

6.1. Геометрия воздушного винта
Общий вид и основные элементы воздушного винта показаны на рис. 46.

Рис. 46. Элементы и геометрические параметры воздушного винта:
1 – перо лопасти; 2 – ребро обтекания; 3 – комель лопасти; 4 крепежные отверстия; 5 – центральное отверстие;
6 – ступица винта; 7 – рабочая поверхность; 8 – спинка лопасти; 9 – ребро атаки; 10 – защитная оковка.


Воздушный винт характеризуется геометрическими и кинематическими параметрами. Рассмотрим вначале геометрические параметры винта.
Диаметр винта 
D – диаметр окружности, описываемой концом лопасти при вращении винта. Это важнейший параметр винта, определяющий его размеры, а, следовательно, тягу и другие характеристики. При выборе диаметра винта исходят, прежде всего, из мощности двигателя, на который будет установлен винт, частоты вращения, а также из требований к дельталёту, его компоновке и размеров. Диаметр винтов современных дельталётов 1,0-1,7 м.
Радиус R винта равен половине его диаметра. Радиусом сечения r называется расстояние от оси винта до данного сечения. Относительным радиусом называется отношение
 
Ометаемая площадь F – площадь диска, ограниченного диаметром винта Д, и его нерабочей комлевой части d:
 
В оценочных расчетах ометаемая площадь принимается равной площади ометаемого круга.
Ширина лопасти b – размер хорды сечения лопасти. Максимальную ширину лопасть имеет примерно на половине радиуса . У современных винтов ширина лопасти составляет 5-10 % от диаметра D. Характер распределения ширины лопасти по радиусу определяет форму лопасти в плане: прямоугольная, овальная, веслообразная и т.п.
По аналогии с крылом лопасть винта характеризуется профилем – сечением плоскости, па-раллельной оси вращения с параметрами:



Так же как и для крыла, координаты профилей винта систематизированы по типам и условиям работы.
Установочный угол φceч  (φ сечения) – угол между хордой сечения и плоскостью вращения винта.
Крутка лопасти – изменение по радиусу винта углов между хордой сечения на данном радиусе и хордой сечения на относительном радиусе . Этот радиус называется номинальным, а угол установки сечения лопасти на  соответственно установочным углом винта φ0,75.
Коэффициент покрытия винта
δ -  отношение суммарной площади лопастей к ометаемой площади винта:
                                                     
bср – средняя ширина лопасти;
n – количество лопастей винта.
Параметры винта, связывающие его геометрию с характеристиками движения - скоростью полета V и частотой вращения nс, называются кинематическими параметрами (рис. 47).

Рис. 47. Кинематические параметры воздушного винта:
Н – геометрический шаг; h – поступь винта; S – скольжение.


Геометрический (теоретический) шаг винта Н – расстояние, на которое переместился бы винт за один оборот, если бы ввинчивался в воздух, как в твердую среду (винт-гайка):
 
Поступь винта h   – расстояние, проходимое воздушным винтом за один оборот в воздухе

V – скорость полета летательного аппарата, м/с;
nс – количество оборотов винта в секунду (частота вращения), об/с.
Линия АС – развертка винтовой линии, по которой сечение лопасти перемещается в воздухе. Эта линия определяет направление потока, набегающего на элемент лопасти. Поэтому угол между хордой элемента лопасти и прямой АС является углом атаки лопасти.
Скольжение воздушного винта S - разность между его геометрическим шагом и поступью: S = Н – h.
Из рис. 47 видно, что появление угла атаки вызвано скольжением винта. Чем больше скольжение, тем больше угол атаки винта. При работе винта на месте, когда V=0, угол атаки максимальный – равный по величине углу установки φ0,75.
Относительная поступь λ   - отношение поступи винта к его диаметру:
          
Поступь винта является важнейшей характеристикой, по величине которой винты классифицируют на тихоходные, скоростные и так называемый статические, к которым приближаются винты дельталетов. В частности, для дельталетов λ не превышает 1,0, в то время, как для самолетов λ может достигать 2,5-3,0 и более.

6.2. Аэродинамические силы воздушного винта
Каждый элемент лопасти совершает сложное движение: поступательное со скоростью полета дельталета V и вращательное относительно оси вращения – u.
Из треугольника скоростей (рис. 48) образуется результирующая (истинная) скорость элемента лопасти – W и его угол атаки 
α. Угол атаки α зависит от соотношения скоростей V и u:

Увеличение скорости полета вызывает уменьшение угла атаки, а увеличение скорости вращения (т.е. частоты вращения) винта – увеличение угла атаки элемента лопасти:

При увеличении относительной поступи винта λ углы атаки лопастей α уменьшаются.
Наибольшее значение угол атаки элемента лопасти приобретает при V = 0, λ = 0.
При работе винта на месте угол атаки max становится равным установочному углу φ.
Элемент лопасти обтекается потоком воздуха подобно профилю крыла (рис.49). Со стороны рабочей поверхности лопасти давление в потоке воздуха повышается, а со стороны спинки лопасти – понижается. Как результат действия разности давлений и сил трения возникает полная аэродинамическая сила элемента лопасти ∆R. Проекция ∆R на плоскость вращения винта препят-ствует вращению винта и поэтому называется элементарной силой сопротивления вращению ∆Q.
Проекция ∆R на направление полета называется элементарной силой тяги ∆Р. Таким образом, каждый элемент лопасти создает две элементарные силы: элементарную силу сопротивления вращению ∆Q и элементарную силу тяги ∆Р (рис. 49).


Рис. 48. Треугольник скоростей.  


Рис. 49. Аэродинамические силы элемента лопасти.  

Равнодействующая элементарных сил, действующих на лопасти винта при его вращении, создает силу тяги Р и силу торможения Q. Силы торможения Q создают пару сил, момент которых называется моментом торможения Мторм, или моментом сопротивления вращению винта (рис. 50).


Рис. 50. Аэродинамические силы воздушного винта.
Сила тяги винта определяется по формуле:
 , где
Р – сила тяги, кгс;
αв - коэффициент силы тяги, зависящий от формы лопасти винта в плане, формы профиля, состояния поверхности лопасти и угла атаки;
p - массовая плотность воздуха, кгс24;
nc  - частота вращения воздушного винта, об/сек;
D – диаметр винта, м.
Сила сопротивления вращению винта
 , где
Схл – коэффициент сопротивления лопасти винта, учитывающий ее форму, профилировку, состояние поверхности и угол атаки;
W – результирующая скорость, м/сек;
S – площадь лопасти, м2;
i – количество лопастей.
Силы сопротивления вращению лопастей, действуя относительно оси вращения на плече α, создают момент сопротивления вращению винта (реактивный момент), который при установив-шемся вращении (n = const) уравновешивается крутящим моментом двигателя.

Мр  - реактивный момент винта, кгм;
Мкр – крутящий момент двигателя, кгм;
Ne – мощность двигателя, л.с.;
n – число оборотов винта в минуту.

Величина профильного сопротивления зависит от формы и толщины профиля, качества обработки поверхности лопастей винта.
Индуктивное сопротивление зависит от формы лопасти в плане ее относительной ширины. Меньшее сопротивление создают лопасти саблевидной формы, наибольшее – прямоугольной (веслообразной) формы.  Наиболее приемлемыми формами лопастей деревянных винтов дельталетов являются эллиптическая и трапециевидная, как наиболее оптимальная по комплексу: аэродинамика – прочность – простота.
Волновым сопротивлением винта называется сопротивление, обусловленное сжимаемостью воздуха при больших результирующих скоростях концов лопастей. Снижение волнового сопротивления винта дельталета является весьма актуальным. Это связано с тем, что деревянные винты имеют сравнительно толстые не скоростные профили лопастей, что приводит к резкому возрас-танию волнового сопротивления, а, следовательно, к снижению КПД винта.
Опытным путем установлено, что предельная скорость концов лопастей винта с обычными профилями не должна превышать значения 0,6 скорости звука.
Для уменьшения окружной скорости винта при неизмененных оборотах двигателя применяют редукторы.

6.3.   Мощность, потребная на вращение винта, и тяговая мощность винта
Мощность, необходимая для преодоления сил сопротивления вращению винта в единицу времени, называется мощностью потребной на вращение винта:

Qл = сила сопротивления вращению лопасти, кг;
u – окружная скорость, м/с;
i – количество лопастей винта.
Мощность, потребная на вращение винта, зависит от скорости полета, оборотов винта и высоты полета.
С увеличением скорости полета и высоты силы сопротивления вращению, а, следовательно, и мощность, потребная на вращение винта, уменьшаются.
С увеличением числа оборотов из-за увеличения угла атаки сопротивление вращению винта и мощность, потребная на вращение винта, увеличиваются.
Воздушный винт, поглощая энергию, передаваемую ему двигателем, одновременно развивает тягу, которая преодолевает силу сопротивления дельталета.
Работа, производимая силой тяги винта в процессе поступательного движения дельталета за одну секунду, называется тяговой, или полезной, мощностью винта:


При сохранении постоянства оборотов тяга данного винта зависит от высоты и скорости полета.
Тяга винта уменьшается:
  • с увеличением высоты полёта -  из-за уменьшения плотности воздуха;
  • с увеличением скорости полёта -  из-за уменьшения угла атаки.
При вращении винта на месте на максимальном режиме работы двигателя винт развивает мак-симальную тягу, например, 140 кгс, но поскольку скорость полета равна нулю, то тяговая мощность также равна нулю.
При полете дельталета на скорости близкой к двойной расчетной (максимальной), тяга винта падает до нуля и поэтому тяговая мощность также будет равна нулю.
Таким образом, тяговая мощность винта достигает максимального значения при полете дельталета на расчетной скорости, так как при этом сочетание расчетной скорости полета с номинальными оборотами создает на лопастях винта наивыгоднейший угол атаки.
Постоянство числа оборотов винта свидетельствует о том, что Мторм винта равен Мкр двигателя.
Уменьшение числа оборотов винта означает, что Мторм  > Мкр, т.е. винт для двигателя «тяжелый».
Увеличение числа оборотов винта означает, что Мторм  < Мкр, т.е. винт для двигателя «легкий».
Из формулы крутящего момента

видно, что Мкр не зависит от скорости полета, а момент сопротивления вращению винта Мторм зависит от угла атаки лопасти и поэтому с увеличением скорости полета уменьшается.
На рис. 51 показаны графики зависимости моментов Мкр и Мторм от скорости полета.

Рис. 51. Влияние скорости полета на совместную работу винта и двигателя.

По графикам видно, что при некоторой скорости полета, называемой расчетной Vрасч, момент торможения винта и крутящий момент двигателя равны (Мкр = Мторм). Это и означает, что винт соответствует мощности двигателя.
При скорости V1 < Vрасч, момент Мторм оказывается больше момента Мкр, винт становится для двигателя «тяжелым», при скорости V2 > Vрасч момент Мторм оказывается меньше момента Мкр, винт становится для двигателя «легким».
Влияние высоты на совместную работу винта и двигателя графически показано на рис. 52.

Рис. 52. Влияние высоты на совместную работу винта и двигателя.

Винт подбирается для расчетной высоты полета. Поэтому на Нрасч момент Мторм = Мкр, т.е. винт соответствует мощности двигателя. На высотах Н1 < Нрасч и Н2 > Нрасч винт становится для двигателя «тяжелым».
Из-за малых рабочих высот полета дельталета (0-200 м) в качестве расчетной высоты обычно принимается Нрасч = 0.

6.4. Характеристика силовой установки для тяги
Сила тяги воздушного винта вычисляется по формуле:

В формуле силы тяги изменение высоты полета вызывает изменение плотности p, а изменение скорости полета – коэффициента тяги (αв). Таким образом, при некотором постоянном числе оборотов сила тяги воздушного винта зависит от высоты и скорости полета.
Характеристика силовой установки поршневого двигателя для тяги представляет собой график зависимости силы тяги от скорости полета для данной частоты вращения воздушного винта на данной высоте полета (рис. 53).


Рис. 53. Характеристики силовой установки ПД для тяги (график располагаемых тяг).

Обычно характеристики строят для Н = 0, и в одной системе координат вычерчивают несколько характеристик для разных чисел оборотов винта. Эти характеристики позволяют определить силу тяги, которую создает силовая установка ПД при заданной скорости полета на высоте Н = 0 м.  Сила тяги силовой установки на заданной высоте будет меньше, чем на Н = 0 и определится по формуле:

РН – сила тяги, создаваемая на высоте Н, м;
Р0 – сила тяги, определенная по характеристике дл Н = 0;
pн – относительная плотность воздуха, определяемая по таблице стандартной атмосферы.

6.5. Характеристика силовой установки для мощности
Полезная (располагаемая) мощность воздушного винта представляет собой работу силы тяги за 1 с:

или в лошадиных силах:

где Np – располагаемая мощность силовой установки, л.с.;
Рр  – располагаемая тяга винта, кгс;
V – скорость полета, м/с.
Следовательно, характеристикой силовой установки ПД для мощности называется график зависимости полезной (располагаемой) мощности винта от скорости полета для данной частоты вращения на заданной высоте (рис. 54).

Рис. 54. Характеристика силовой установки ПД для мощности
(график располагаемых мощностей).


Элементарный анализ формулы для Np показывает, что располагаемая мощность силовой установки ПД будет равна нулю в двух точках зависимости: при V = 0 и при Ррасч = 0. Как установле-но ранее, располагаемая тяга становится равной 0 примерно при удвоенной расчётной скорости полета. Для дельталетов  режим, соответствующий V ≈ 2 Vрасч, недостижим на практике в силу особенностей гибкого крыла и балансирного способа управления. Следовательно, рассмотрение харак-теристик силовой установки за пределами максимально допустимой скорости полета в данном слу-чае имеет сугубо теоретическое значение. Максимум располагаемой мощности, очевидно, соответствует максимуму произведения Р × V, т.е., примерно, полету на Vрасч.

6.6. Коэффициент полезного действия винта
Мощность, затрачиваемая на вращение винта, представляет собой работу крутящего момента за 1 сек. Она вычисляется по формуле: Nзатр = βρnc3D5, где
Nзатр – мощность, затрачиваемая на вращение винта, кгсм/с;
β – коэффициент мощности;
ρ – массовая плотность воздуха, кгсек24;
nc – частота вращения винта, об/сек;
D – диаметр винта, м.
Коэффициентом полезного действия винта называется отношение полезной мощности воздушного винта к мощности затрачиваемой на его вращение:
, множитель , следовательно .                                           
Из формулы видно, что КПД винта находится в прямой зависимости от относительной поступи λ, которая увеличивается при уменьшении числа оборотов и диаметра винта. Поэтому для повышения КПД винта, крутящий момент передается к нему через редуктор, понижающий обороты.
Поскольку максимальное значение тяговой мощности винта достигается на расчётной скорости, то и КПД при этом также будет максимальным.
Величина КПД винта зависит от оборотов винта и скорости полета, так как изменение их влечет за собой изменение угла атаки на лопастях винта.
Для лучших деревянных винтов дельталётов КПД достигает величины от 0,65 для скоростей полета 50-60 км/ч и до 0,75 при скоростях полета 100 км/ч и более.
Это значит, что винт превращает 65-75 % мощности двигателя в тяговую мощность винта, а 35-25 % мощности расходуется на преодоление профильного, индуктивного и волнового сопротивления.

7. Нагрузки, действующие на дельталёт

7.1. Условные оси действия аэродинамических  моментов
Силы, действующие на дельталёт в равномерном прямолинейном полёте, находятся в равновесии, т. е. равнодействующая всех сил равна нулю.
Чтобы дельталёт не получил поворота в любом направлении, необходимо соблюдение условия равновесия моментов, действующих на дельталёт, относительно трёх взаимно перпендикулярных осей.
Направление осей принято следующее. Первая ось располагается в плоскости симметрии дельталёта параллельно центральной хорде крыла и называется продольной осью дельталёта Ох (рис. 55).

Рис. 55. Направление осей дельталёта.

Вторая ось проходит в той же плоскости перпендикулярно оси Ох; она называется вертикальной осью дельталёта и обозначается Оу.
Третья, так называемая поперечная, ось Оz  расположена перпендикулярно двум первым осям и проходит по правому крылу.
Начало координат О этих осей располагают обычно в центре тяжести дельталёта. Моменты, действующие относительно оси Ох называются поперечными или кренящими, моменты относительно оси Оу называются путевыми моментами и, наконец, моменты, действующие относительно оси Оz, называются продольными. При этом моменты, стремящиеся опустить нос дельталёта, называются пикирующими, а поднимающие нос – кабрирующими.
По физической природе нагрузки делятся на поверхностные и массовые силы.
К поверхностным силам относятся аэродинамические силы, возникающие на поверхностях летательного аппарата, обтекаемых воздушным потоком (рис. 56 а): равнодействующая аэродинамических сил крыла R, приложенная в центре давления, подъемная сила Y, сила лобового сопротивления Х. К массовым - сила веса G, приложенная в центре масс дельталета и тяга силовой установки Р.


Рис. 56. Силы, действующие на дельталет:
а - в горизонтальном полете; б - при движении по земле; в - на вираже.

Для простоты можно допустить, что равнодействующие поверхностных и массовых сил проходят через центр тяжести дельталета. Рассмотрим вначале самый общий случай – прямолинейный горизонтальный полет с постоянной скоростью V.
В соответствии с первым законом механики условием прямолинейного и равномерного движения является равновесие всех сил, действующих на летательный аппарат:
Y = G  и  Р = Х.
Если же равновесие сил нарушается, то полет будет происходить либо с изменением высоты (Y ≠ G), либо с изменением скорости (Р ≠ Х).
Например, при отказе двигателя сила тяги исчезает, и для поддержания скорости планирования дельталет будет снижаться по наклонной траектории под действием составляющей силы веса. Наоборот, на полном газу, вследствие избытка тяги, дельталет либо набирает высоту (если угол атаки не изменяется), либо увеличивает скорость (если трапецию взять на себя). В реальном полете под воздействием внешних факторов – порывов воздуха, турбулентности атмосферы или при выполнении различных маневров - виражей и спиралей (рис. 56 в) силы, действующие на летательный аппарат, постоянно изменяются, их равновесие нарушается. Постоянной же во всех случаях остается только сила веса. При этих условиях нагрузки, действующие на дельталет, могут достигнуть некоторых предельных значений по условиям прочности. Величина действующих, допустимых и предельных нагрузок определяется и нормируется перегрузкой.
Перегрузка или коэффициент перегрузки – это отношение равнодействующей поверхностных сил к силе тяжести летательного аппарата:
,
или через массовые силы:  

Перегрузка показывает, во сколько раз равнодействующая поверхностных (массовых) сил больше (положительная перегрузка) или меньше (отрицательная) силы веса дельталета.
Перегрузка – векторная величина. Ее направление совпадает с направлением равнодействующей поверхностных сил.
Следовательно, также как и силы, перегрузку n можно разложить на составляющие:
нормальная (поперечная) перегрузка
 
тангенциальная продольная перегрузка
 
боковая перегрузка
 
Поскольку дельталет является относительно тихоходным и ограниченно маневренным летательным аппаратом с небольшим избытком тяги, то наибольшее значение, с точки зрения прочности, имеет самая большая из составляющих (в наибольшей степени изменяющаяся в полете) – подъемная сила и соответственно нормальная перегрузка nу.
В прямолинейном установившемся полете перегрузка равна
 
Для безопасной эксплуатации дельталета необходимо, чтобы перегрузки, возникающие в полете (а для посадочных условий и на земле), не превышали некоторой установленной для аппарата данного типа величины.
Нагрузки на дельталет, допустимые в полете, должны быть такими, чтобы все силовые элементы конструкции работали в пределах упругих деформаций, т.е. таких, которые при снятии нагрузки исчезают.
Перегрузки, соответствующие безопасным нагрузкам (в пределах упругих деформаций), называются эксплуатационными, nуэ.
При дальнейшем увеличении нагрузок деформации силовых элементов могут стать необратимыми – остаточными. В этом случае напряжения, возникающие в наиболее нагруженных сечениях элементов, могут достигнуть предельных, конструкция может разрушиться. Этот уровень нагрузок соответствует разрушающим или расчетным перегрузкам,  
Чем больше разница между разрушающей и эксплуатационной перегрузкой, тем больше запас прочности.
Численно этот запас определяется отношением:

и называется коэффициентом безопасности.
Очевидно, что с увеличением коэффициента безопасности конструкция будет надежнее, но при этом и увеличится ее масса. Поэтому вопрос выбора величины ƒ является очень важным и требует взвешенного анализа всех факторов.
Нормирование условий нагружения коэффициентов безопасности для различных летательных аппаратов регламентируется нормами прочности.

8.   Горизонтальный полёт

8.1. Условия равновесия сил. Скорость потребная для горизонтального полета
Установившимся горизонтальным полетом называется прямолинейный полет в горизонтальной плоскости с постоянной воздушной скоростью.
При установившемся горизонтальном полете без крена и скольжения на дельталет действуют полная аэродинамическая сила R, массовая сила (вес дельталета) G и сила тяги Р. Аэродинамическую силу R удобно представить в виде ее составляющих Y и Х.
Массовая сила G направлена перпендикулярно вниз, подъемная сила Y направлена перпендикулярно вверх, а сила сопротивления Х - параллельно направлению полета. Направление силы тяги относительно потока определяется углом поворота мототележки υп и углом установки двигателя φд. При установившемся прямолинейном полете сила R и равнодействующая сил, действующих на мототележку Т, лежит на одной прямой, в противном случае на дельталет действовал бы неуравновешенный момент.
Условия равновесия сил в проекциях на оси Оха и Оуа можно записать в следующем виде:
Х = Рcos (υп + φд -
θ );
У = G - Рsin (υп + φд -
θ ).
Угол между вектором тяги и вектором скорости невелик, и приближенно можно записать:
cos (υп + φд -
θ ) ≈ 1
sin (υп + φд -
θ ) ≈ 0
Упрощенная схема сил и моментов, действующих на дельталет при горизонтальном установившемся полете, представлена на рис. 57.

Рис. 57. Схемы сил и моментов, действующих на дельталет
при установившемся горизонтальном полете.


Все силы приложены в точке 0, а их действие относительно этой точки заменено моментами Мzo и Мzy, причем Мz0=Mzy=PxH.
Но моменты уравновешены, и в этом случае условие равновесия сил можно представить в виде
Х = Р;
У = G.
Таким образом, для осуществления горизонтального полета необходимо иметь такие угол атаки и скорость, которые обеспечивали бы создание подъемной силы, равной массе дельталета:

Поскольку подъемная сила должна быть равна массе, то для горизонтального полета можно записать:
 
Решая это уравнение относительно V, получим формулу, по которой можно рассчитать скорость потребную для горизонтального полета при заданном угле атаки и на заданной высоте:
 
Если подставить в эту формулу массу дельталета в кг, плотность воздуха в кгс24 и площадь в м2, получится потребная скорость в м/с.
На потребную скорость горизонтального полета оказывают влияние коэффициент подъемной силы Су, зависящий от угла атаки, удельная нагрузка на крыло G/S и плотность воздуха p.

8.2. Тяга и мощность, потребные для горизонтального полета
Тягу необходимую для выполнения установившегося горизонтального полета, называют потребной тягой и обозначают Рп. Как уже указывалось выше, при горизонтальном полете У = G, а Х = Рп.
Разделив первое равенство на второе, получим:
 , а так как 
 , то можно записать, что  , или  .
Тяга, потребная для выполнения горизонтального полета, равна массе дельталета, деленной на аэродинамическое качество при данном угле атаки. Чем меньше масса дельталета и чем больше его аэродинамическое качество, тем меньше тяга, потребная для его горизонтального полета.
Аэродинамическое качество дельталета зависит от угла атаки.
Таким образом, потребная для горизонтального полета тяга зависит от массы дельтале-та и угла атаки, а при неизменной массе – только от угла атаки.В горизонтальном полете каждому углу атаки соответствует своя скорость. Таким образом, потребная тяга однозначно связана со скоростью горизонтального полета. Графическое изображение зависимости потребной тяги от скорости горизонтального полета носит название кривой потребных тяг, или кривой Жуковского для тяг.
Метод построения кривой потребных тяг заключается в следующем. По поляре дельталета, пример которой приведен на рисунке 58, для заданных улов атаки определяется Су и Сх, а затем аэродинамическое качество:


Рис. 58. Пример поляры дельталёта.

Пользуясь приведенными выше формулами для Vгп и Рп вычисляют скорости и тяги, потребные для горизонтального полета дельталета при заданной массе, угле атаки и на заданной высоте. Результаты заносят в таблицу, по которой строят кривую.
Пример расчета кривой потребной тяги для дельталета, поляра которого приведена на рис. 58, представлен в таблице 2.

Таблица 2.

На рис. 59 приведена полученная кривая потребных тяг.
 

Рис. 59. Кривая потребных тяг.

Потребная для горизонтального полета мощность равна произведению потребной тяги на соответствующую скорость в м/с:
Nп = РпV (кгм/с)
или в лошадиных силах:
 
Подставив в эту формулу выражение для Рп и V, можно получить развернутую формулу для Nп:
 
Таким образом, потребная мощность увеличивается с увеличением массы нагрузки на крыло, высоты полета (уменьшается ρ). С увеличением аэродинамического качества потребная мощность уменьшается.
В горизонтальном полете потребная тяга равна силе сопротивления, следовательно, формулу для потребной мощности можно записать в виде

Потребная для горизонтального полета мощность прямо пропорциональна кубу скорости полёта. Это означает, что для увеличения скорости полета, например в два раза (при одном и том же угле атаки), мощность силовой установки потребуется увеличить в восемь раз.

8.3. Первые и вторые режимы, характерные скорости горизонтального полета
Характерные скорости горизонтального полета определяются, как правило, по диаграмме потребных и располагаемых мощностей или тяг. Зависимость потребной мощности от скорости полета принято изображать так же, как и зависимость для потребной тяги. На рисунке 60 представлен общий вид кривых потребных и располагаемых мощностей для дельталета.

Рис. 60. Кривые потребных и располагаемых мощностей,
первые и вторые режимы горизонтального полета.

Точка пересечения кривых потребных и располагаемых мощностей определяет угол атаки и скорость, при которых для осуществления горизонтального полета требуется вся мощность силовой установки.
Эта скорость называется максимальной скоростью горизонтального полета Vmax г.п..
Минимальная скорость горизонтального полета Vmin г.п. определяется путем проведения касательной, параллельной оси ординат. Следует отметить, что указанные Vmax г.п. и Vmin г.п. дельталет может иметь лишь в том случае, когда диапазон перемещения рулевой трапеции обеспечивает возможность полета на этих скоростях. На практике часто случается так, что Vmax г.п. и Vmin г.п. не соответствует указанным на рисунке 58 точкам.
Минимальную потребную мощность, необходимую для выполнения горизонтального полета, определим, проводя касательную к кривой Nn параллельно оси скоростей. Точка касания определяет угол атаки, называемый экономическим 
αэк и экономическую скорость горизонтального полета Vэк. Чем меньше расходуемая мощность, тем меньше часовой расход топлива, отсюда следует, что при экономической скорости получается максимальная продолжительность полета. Наивыгоднейшие угол атаки и скорость (αнаив и Vнаив) определяются путем проведения касательной к кривой из начала координат. Полет на наивыгоднейшей скорости обеспечивает наибольшую дальность полета.
На рисунке 60 проведена параллельно оси скоростей произвольная секущая (А-А). Она пересекает кривую потребных мощностей в двух точках: 1 и 2. Это означает, что одна и та же мощность требуется для полета на двух разных углах атаки с двумя различными скоростями, из которых одна меньше экономической скорости, а другая больше. Таким образом, при одинаковой мощности можно совершать горизонтальный полет на двух разных режимах – первом и втором. Интервал первых режимов включает все скорости от экономической до максимальной. Интервал вторых режимов включает скорости от минимальной до экономической. Полет на первых режимах происходит при средних и малых углах атаки, когда дельталёт устойчив и хорошо управляется. Для увеличения скорости горизонтального полета на первых режимах требуется увеличение мощности.
Полет на вторых режимах происходит на больших углах атаки и малых скоростях, это связано с ухудшением устойчивости и управляемости. Летать на вторых режимах не рекомендуется, к ним прибегают лишь при посадке, на выравнивании. При определении минимальной и максимальной скорости горизонтального полета следует учитывать ограничения на перемещение рулевой трапеции, которые определяют эксплуатационный диапазон углов атаки.
Минимальному и максимальному углам атаки соответствуют минимальный и максимальный коэффициенты подъемной силы, а также минимальная и максимальная скорость полета.
 
Отсюда следует, что для выполнения горизонтального полета с максимальной скоростью вся мощность силовой установки может и не потребоваться (рис. 61), дельталет при максимальном газе будет набирать высоту, даже если рулевая трапеция взята пилотом на себя полностью. В этом случае для выполнения горизонтального полета с максимальной скоростью требуется мощность меньше располагаемой.


Рис. 61. Определение максимально скорости горизонтального полета.

У дельталетов с небольшим избытком мощности при граничных положениях рулевой трапеции и максимальных оборотах двигателя возможен наоборот, полет со снижением. В этом случае максимальная и минимальная скорости горизонтального полета определяются точками пересечения кривых потребной и располагаемой мощностей.
Горизонтальный полет дельталета выполняется,  на  балансировочной скорости, так как в этом случае усилие на рулевой трапеции равно нулю. В связи с этим для обеспечения максимальной дальности полета целесообразно расположить точку подвески мототележки таким образом, чтобы Vбал и Vнаив.  совпадали.
В горизонтальном полете потребная мощность равна располагаемой при полном газе только в одном случае (рис. 61).
Во всех других случаях в эксплуатационном диапазоне скоростей полета располагаемая мощность на полном газу превышает потребную. Следовательно для обеспечения равенства по-требной и располагаемой мощностей, являющегося необходимым условием горизонтального полета, пилот должен уменьшать располагаемую мощность путем дросселирования двигателя.

8.4. Влияние удельной нагрузки на крыло на летные качества дельталета в горизон-тальном полете
Удельная нагрузка на крыло меняется в зависимости от количества перевозимого груза и запаса топлива.
Изменение удельной нагрузки на крыло дельталёта может изменяться при различных ва-риантах его использования более чем на 50 %.
В горизонтальном полете необходимо соблюдение равенства Y = G, поэтому при увеличе-нии полетного веса надо увеличить и подъемную силу. Увеличение подъемной силы можно достичь увеличением угла атаки или увеличением скорости. При постоянном угле атаки увеличение полетного веса приводит к увеличению потребной скорости пропорционально квадратному корню из отношения нового веса к старому:

Увеличение полетного веса вызывает увеличение крутки крыла и снижение его аэродинамического качества. Таким образом, изменение полетного веса влияет практически на все летные качества дельталета. Если построить кривые потребных мощностей для двух различных полетных весов, то при совмещении этих кривых с кривой располагаемых мощностей можно установить, что:
  • с увеличением полетного веса минимальная, экономическая и наивыгоднейшая скорости увеличиваются;
  • избыток мощности и потолок уменьшаются и могут быть также уменьшены диапазон скоростей и максимальная скорость горизонтального полета (рис. 62).

Рис. 62. Влияние полетного веса на кривые потребных мощностей.

Например, в полете без пассажира на двухместном дельталете при полном газе невозможно выполнить горизонтальный полет. Даже при полностью взятой на себя рулевой трапеции дельталёт набирает высоту. В то же время при полете вдвоем на этом же дельталёте при полном газе и взятой на себя рулевой трапеции может происходить снижение.
Таким образом, с увеличением полетного веса летные качества дельталета, как правило, ухудшаются.

8.5. Влияние высоты на диапазон скоростей горизонтального полета
С увеличением высоты уменьшается плотность воздуха и потребная скорость горизонталь-ного полета увеличивается. Потребную скорость горизонтального полета на высоте равной Ом и Нм, можно определить по формулам:
      
V0, p0 – скорость и плотность воздуха на высоте, равной 0;
VН, pН – скорость и плотность воздуха на высоте, равной Н.
Разделив второе равенство на первое, получим
       
Таким образом, потребная скорость горизонтального полета при одном и том же угле атаки на высоте в больше, чем на уровне моря (Н=0).
Соотношение  называется высотным коэффициентом. Так как потребная тяга не зависит от высоты, изменение потребной мощности пропорционально изменению скорости:
NH = Рп VH;     Nо = Рп Vо.
Разделив первое равенство на второе получим:
     
Потребная мощность увеличивается с высотой пропорционально высотному коэффициенту.
На рисунке 63 показано влияние высоты на кривые потребных и располагаемых мощностей. Такой график называется высотной характеристикой дельталета.
 


Рис. 63. Влияние высоты на потребные и располагаемые мощности
(«елочка» - ограничение по перемещению рулевой трапеции)
1-Н=0 м;  2-Н=1500 м; 3-Н=3000 м.

С увеличением высоты потребная мощность растет, а располагаемая падает.
Минимальный и максимальный углы атак 
αmin и αmax и соответствующие им Суmin и Суmax не зависят от высоты, поэтому ограничения, накладываемые на минимальную и максимальную скорости, по перемещению рулевой трапеции смещаются в сторону увеличения этих скоростей. Таким образом, с ростом высоты минимальная и экономическая скорости увеличиваются. Если при максимальной скорости горизонтального полета на Н = 0 существует избыток мощности, то до некоторой высоты ее значение увеличивается, а затем начинает уменьшаться. С увеличением высоты максимальный избыток мощности, оцениваемый наибольшим рас-стоянием между точками кривых на одной вертикали, уменьшается и на некоторой высоте становится равным нулю. Высота, на которой избыток мощности, несмотря на полный газ, становится равным нулю, называется теоретическим потолком дельталета. Горизонтальный полет на этой высоте возможен только на экономической скорости, по-скольку на этой скорости требуется минимальная мощность. Имея график высотности, можно определить минимальные, максимальные и экономические скорости дельталета, для разных высот, откладывая эти скорости и соответствующие им высоты по осям координат, можно построить график, показывающий изменение Vmin,Vэк иVmax и диапазона скоростей горизонтального полета с высотой.


Рис. 64. Изменение диапазона скоростей с увеличением высоты полета.

8.6. Дальность и продолжительность полета. Влияние ветра на горизонтальный полет
Дальность и продолжительность горизонтального полета можно рассчитать, зная часовые qч расходы топлива при различной загрузке дельталета.
Определение часовых расходов топлива проще всего произвести экспериментальным путем, проведя непосредственные измерения количества топлива до полета и после него при различных вариантах загрузки.
Проводить измерения следует на балансировочной скорости в горизонтальном полете. Зная часовой расход топлива, продолжительность и дальность горизонтального
полета можно определить по следующим формулам: t =  mt : qч (исправить)  L =  Vбал.t

Значительное влияние на дальность полета оказывает ветер. Скорость дельталета относительно земли(путевая скорость) равна векторной сумме воздушной скорости (скорости дельталета относительно воздуха) и скорости ветра (рис. 65).

 

Рис. 65. Навигационный треугольник скоростей.

В общем случае вектор скорости ветра составляет с вектором путевой скорости так называемый угол ветра ε (УВ). Чтобы выдержать заданное направление полета, необходимо ориентиро-вать дельталет таким образом, чтобы вектор воздушной скорости составлял с заданным направлением полета (с вектором путевой скорости W) угол Ψ, называемый углом сноса (УС). Если скорость и направление ветра известны, то угол сноса можно определить по формулам:
     
В случае встречного или попутного ветра (УВ = 00 или УВ = 3600) угол сноса равен нулю.
Величина путевой скорости (W) определяется соотношением:

Влияние ветра на величину путевой скорости оценивается в расчетах величиной скорости эквивалентного ветра:
 
Величина эквивалентной скорости ветра может быть положительной и отрицательной. В соответствии с этим эквивалентный ветер будет попутным либо встречным. Для того, чтобы получить наибольшую дальность полета при попутной ветре, нужно наивыгоднейшую скорость уменьшить, а при встречном – увеличить (рис. 66, 67).


Рис. 66. Влияние ветра на путевую скорость.

                           
Рис. 67.Влияние ветра на наивыгоднешую скорость.

9. Набор высоты

9.1. Условия равновесия сил. Скорость набора высоты
Установившимся режимом набора высоты называется прямолинейный полет по наклонной вверх траектории с постоянной воздушной скоростью.
При установившемся наборе высоты на дельталет действуют: массовая сила G, полная аэродинамическая сила R, которую лучше разложить на подъемную Y и силу сопротивления Х, сила тяги Р. Схема действия сил представлена на рисунке 68.

Рис. 68. Схема сил и моментов, действующих на дельталет
при установившемся наборе высоты.


Для простоты рассуждений все силы приложены в точке 0, а действие их относительно точки 0 заменено моментами М  и  М, причем по условию балансировки
Мzо = М.
Линия действия силы тяги в общем случае составляет с осью Оха  угол, равный (υп + φq - θ),
однако этот угол невелик и при расчете параметров установившегося набора высоты можно считать, что линия действия силы тяги направлена вдоль оси Оха.
Разложив массовую силу на две составляющие Gsinθ и Gсоsθ, действующие вдоль осей ОХа и ОYа получим уравнение движения дельталета:
Y = Gсоs θ
Р = Х + Gsin θ
Из этих уравнений следует, что при установившемся наборе высоты подъемная сила меньше веса дельталета, а тяга должна быть больше силы сопротивления на величину G×sinθ. Причем, чем больше будет угол наклона траектории θ, тем больше потребная тяга. При наборе высоты подъемная сила равна

Таким образом, можно записать:

Из последнего уравнения можно определить потребную скорость набора высоты при заданном угле атаки и весе:
 
Первый множитель в этой формуле есть скорость, потребная для горизонтального полета, поэтому можно записать:

Так как соsθ меньше единицы, то скорость при наборе высоты меньше скорости горизон-тального полета. При небольших углах наклона траектории эта разница незначительна. Если, например, θ = 300, а Vг.п. = 15 м/с, то Vнаб. = 14,15 м/с.
Тяга, потребная для набора высоты, складывается из потребной тяги горизонтального полета и дополнительной тяги, необходимой для преодоления составляющей веса:
 где     ∆Р = Gsin θ.
Из формулы видно, что наибольший угол наклона траектории θ обеспечивается при максимальном значении ∆Р. Избыток тяги равен: ∆Р = Рр - Рп
и определяется для каждого заданного значения скорости по кривым потребных и располагаемых тяг.
Воздушную скорость дельталета при наборе высоты можно разложить на горизонтальную Vх и вертикальную Vу составляющие.
Составляющая Vу называется вертикальной скоростью набора высоты или скороподъемностью (рис. 69).
Vу = Vнабsinθ.

Рис. 69. Составляющие  воздушной  скорости.

Скороподъемность при заданных G, Vнаб и ∆Р можно определить по формуле:
 
Максимальная скороподъемность соответствует максимальному значению произведения ∆РVнаб. Vуmax называют наивыгоднейшей скоростью набора высоты.

9.2. Указательница траектории, первые и вторые режимы набора высоты.
Зависимость угла θ и вертикальной скорости от скорости полета изображают графически в виде кривой, которую называют указательницей траектории набора высоты. Она может быть построена с использованием кривых потребных и располагаемых тяг или мощностей. Метод построения указательницы следующий.
В интервале от Vmin до Vmax
задаются несколькими значениями скоростей, например, Vmin, V1, V2, Vmax. Для этих значений скоростей определяют избыток тяги: ∆Р = Рр - Рп (рис. 70).

 Рис. 70. Указательницы траекторий набора высоты:
а – дельталет с большой избыточной тягой; б – дельталет с малой избыточной тягой;
1, 2 – ограничения по перемещению рулевой трапеции (1 – от себя; 2 – на себя).

По заданным значениям скорости и полученным ∆Р определяют
          
Затем для каждого значения скорости откладывают по вертикали вычисленное значение Vy. Полученные точки соединяют плавной линией, которая и является указательницей траектории набора высоты.
Если из начала координат провести касательную к полученной кривой, то она обозначит максимальное значение угла наклона траектории при наборе высоты 
θmax.
Чтобы определить угол наклона траектории при известном значении скорости, достаточно соединить начало координат и соответствующую точку указательницы прямой линией.
Если кривая пересекает ось абсцисс (рис. 70 б), то точки пересечения соответствуют максимальной и минимальной скоростям горизонтального полета. В данном случае при скоростях, больших Vг.п max и меньших Vг.п min, полет при максимальной мощности двигателя происходит со снижением.
Максимальному углу наклона траектории θmax при наборе высоты соответствует экономический угол атаки
αэк.
Допустим, дельталет набирает высоту при максимальном газе с углом наклона траектории θ, и скоростью, соответствующей точке 1 (рис. 71).
 
Рис. 71. Первые и вторые режимы набора высоты.

Если пилот будет перемещать рулевую трапецию на себя, то угол атаки и угол наклона траектории будут уменьшаться, а скорость увеличиваться. Если пилот будет перемещать рулевую трапецию  от себя, то углы атаки и наклона траектории будут увеличиваться, а скорость уменьшаться. Так будет происходить до тех пор, пока угол атаки не станет больше 
αэк.
Пусть дельталет при максимальном газе набирает высоту с углом наклона траектории θ2 и скорость соответствует точке 2. Теперь при перемещении рулевой трапеции на себя угол атаки будет уменьшаться, а угол θ и V увеличиваться. Если рулевая трапеция перемещается от себя, то 
α увеличивается, а θ и V уменьшаются.
Отсюда вытекает понятие о первых и вторых режимах набора высоты.
Границей между первыми и вторыми режимами является наиболее крутой набор, соответствующий θmax, который обеспечивается при экономическом угле атаки 
αэк и экономической скорости Vэк.
На первых режимах при перемещении рулевой трапеции на себя и уменьшении угла атаки θ уменьшается, а на вторых режимах угол наклона траектории увеличивается.
Летая все время на первых режимах, пилот привыкает к тому, что если он перемещает рулевую трапецию от себя, то угол наклона траектории увеличивается, а если берет ее на себя, то уменьшается.
На вторых режимах происходит обратное.
Если дельталет обладает большой избыточной тягой, то угол наклона траектории при максимальном газе во всем диапазоне эксплуатационных скоростей положителен.
Если же избыточная тяга не велика, то на малых и больших скоростях при максимальном газе дельталет может снижаться. Попав в интервал вторых режимов, неопытный пилот может допустить ошибку. Заметив, что дельталет не набирает высоты, он стремится поддержать аппарат и еще больше перемещает рулевую трапецию от себя, в результате чего скорость падает и в некоторых случаях может произойти сваливание на крыло.
На малой высоте это может привести к серьезным последствиям.
Из сказанного следует три правила:
1) если дельталет при максимальном газе перестал набирать высоту, то не следует перемещать рулевую трапецию от себя, а плавно переместить ее в балансировочное положение, чтобы уменьшить угол атаки и увеличить скорость;
2) набор безопасной высоты после отрыва не следует делать на вторых режимах и границе режимов;
3) третье правило можно рассматривать как требование к летным характеристикам – балансировочная скорость дельталета должна быть больше экономической и находиться в интервалах первых режимов.

9.3. Потолок дельталета, влияние ветра на траекторию набора высоты
По мере увеличения высоты избыток мощности и соответственно тяги уменьшается, поэтому уменьшается и вертикальная скорость.
Та высота, на которой избыток мощности и тяги становится равным нулю, вследствие чего и вертикальная скорость становится равной нулю, называется теоретическим потолком дельталета.
Чтобы изучать, как изменяется с высотой вертикальная скорость, находят максимальный избыток мощности на разных высотах и вычисляют значение Vу max на этих высотах. Откладывая значение Vу max по оси абсцисс, а соответствующие высоты по оси ординат и соединяя соответ-ствующие точки, получают график зависимости Vу max от высоты (рис. 72).


Рис. 72. Изменение вертикальной скорости и высоты.   

Точка пересечения линии Vу max с осью ординат соответствует нулевому значению вертикальной скорости и определяет теоретический потолок дельталета.
Теоретический потолок на практике не достижим. Вертикальная скорость по мере приближения к нулю имеет очень малую и все время уменьшающуюся величину, таким образом, для достижения теоретического потолка потребовалось бы бесконечное время. Ввиду этого было введено понятие «практический потолок». Для спортивных самолетов, в том числе и дельталетов, это высота, при которой Vу max = 0,5 м/с, для гражданских воздушных судов – высота при которой Vу max = 1 м/с.
Определение времени, необходимого для набора заданной высоты, производят по барограмме набора высоты.
Для расчета барограммы разбивают высоту до практического потолка на участки ∆Н и, пользуясь графиком изменения Vу max, определяют среднюю вертикальную скорость на каждом участке. Затем, разделив высоту участка ∆Н на среднюю вертикальную скорость Vу ср определяют время набора высоты на данном участке:

После этого суммируют время, полученное на каждом участке, и находят время, необходимое для набора высоты практического потолка. Если полученные при расчете промежутки времени отложить по оси абсцисс, а соответствующие им высоты по оси ординат, то можно построить кривую, которая и называется барограммой набора высоты (рис. 73).


Рис. 73. Барограмма набора высоты.

Большое влияние на траекторию набора высоты относительно земли оказывает ветер.
При ветре связь между воздушной скоростью, углом тангажа и углом атаки остается неизменной. То есть ветер практически не влияет на летные качества дельталета, хотя и изменяет траекторию его движения относительно земли.
На рисунке 74 показано влияние ветра на угол наклона траектории относительно земли θзем.



Рис. 74. Влияние ветра на угол наклона траектории относительно земли.

При наборе высоты в штиль V, θ, Vу относительно потока и относительно земли совпадают. Встречный ветер увеличивает угол наклона траектории и уменьшает скорость относительно земли (рис. 74 б).
Попутный ветер уменьшает θзем и увеличивает Vзем.
Во всех случаях угол атаки
α , скорость V и угол наклона траектории относительно потока θ постоянны.
Может показаться, что против ветра дельталет набирает высоту быстрее, а по ветру медленнее, чем при безветрии. Но это обманчивое впечатление.
Как видно из рисунка 74, ветер лишь увеличивает или уменьшает горизонтальную составляющую скорости на величину W и практически не влияет на вертикальную скорость Vу, которая будет одинаковой в штиль, при попутном и при встречном ветре.
Наличие восходящих потоков или вертикальной составляющей ветра приводит к изменению не только θзем, но и вертикальной скорости относительно земли Vу зем.
В восходящем потоке Vу зем = Vу + W, в нисходящем потоке Vу зем = Vу – W, следовательно, в восходящем потоке дельталет будет набирать высоту быстрее, а в нисходящем медленнее (рис. 75).


 
Рис. 75. Влияние восходящего и нисходящего потоков на вертикальную скорость
и угол наклона траектории относительно земли.



10. Планирование

10.1. Условия равновесия сил. Скорость планирования
Установившемся планированием называется прямолинейный полет по наклонной вниз траектории с постоянной воздушной скоростью.
Планирование может выполняться с работающим на малом газе двигателем или с выключенным двигателем. Рассмотрим планирование дельталета при тяге винта, равной нулю.
В этом случае на него действуют только две внешние силы: полная аэродинамическая сила R и сила веса G (рис. 76).

 
Рис. 76. Силы, действующие на дельталет при планировании.

Действие сил R и G на крыло и мототележку относительно точки 0 заменено моментами М и Мzy, причем как и при установившемся наборе высоты или горизонтальном полете М = Мzy.
Разложив силы R и G на составляющие на оси Ох и Оу, получим условия равновесия сил в проекциях на оси скоростной системы координат в виде уравнений движения дельталета на режиме планирования.
Х = Сsinθ;
У = Gсоsθ.
Так как М = Мzy, то сумма моментов, действующих на дельталет, равна нулю.
Силой, заменяющей силу тяги винта при планировании, является составляющая веса Gsin
θ.
Подъемная сила  следовательно,  
Отсюда можно определить скорость планирования
    
Таким образом, скорость при планировании определяется аналогично скорости набора высоты.
Так как лишь немного меньше единицы, можно считать, что при одном и том же угле атаки Vпл ≈ Vгп.
Следует заметить, что максимальная скорость при планировании с максимально взятой на себя рулевой трапецией также незначительно превышает максимальную скорость горизонтального полета. Это является особенностью дельталета по сравнению с самолетом и объясняется тем, что ограничение на перемещение рулевой трапеции не позволяет получить угол атаки меньше определенного минимального, который соответствует ее крайнему положению. По этой причине дельталет не имеет установившегося режима пикирования.

10.2. Угол и поляра планирования
Из условия установившегося режима полета силы R и G должны лежать на одной прямой, в противном случае на дельталет действовала бы неуравновешенная сила, и полет был бы неуста-новившимся. Так как сила веса G направлена перпендикулярно к земле, сила R тоже перпендику-лярна к земле. Отсюда следует, что R составляет с осью Оу  угол равный θ.
Угол наклона траектории при планировании называют еще углом планирования, его можно выразить через У и Х тригонометрически.
   
Таким образом, чем больше аэродинамическое качество, тем меньше угол планирования. Аэродинамическое качество зависит от угла атаки, и поскольку каждому углу атаки соответствует определенная величина аэродинамического качества, имеется непосредственная связь между α и θ. Минимальный угол планирования обеспечивается при полете на наивыгоднейшем угле атаки с максимальным аэродинамическим качеством.
Если построить поляру дельталета в одинаковых масштабах для Су и Сх, то угол планирования при заданном угле атаки можно определить графически, проведя из начала координат вектор к соответствующей точке поляры (рис. 77).

Рис. 77. Определение угла планирования по поляре дельталета.

Минимальный угол планирования получим, проведя касательную к поляре из начала координат. Всякая другая прямая, проведенная из начала координат к поляре, пересекает ее в двух точках. Следовательно, один и тот же угол планирования получается при полете на двух углах атаки с разными скоростями, причем на малых углах атаки скорость больше и соответственно больше ее вертикальная составляющая.
За счет этого наблюдателю может показаться, что планирование в этом случае круче, чем при полете на соответствующем большом угле атаки.
Вертикальная скорость планирования Vy определяется высотой, которую дельталет теряет за одну секунду при планировании по наклонной траектории.
Из рисунка 78 можно определить, что Vу = Vплsinθ.
 

Рис. 78. Составляющие скорости планирования.

Таким образом, вертикальная скорость зависит от скорости и угла планирования.
Минимальную вертикальную скорость планирования, или, как ее еще называют, минимальную скорость снижения, можно получить на скорости планирования, равной экономической скорости.
Наибольшая дальность полета достигается при планировании на наивыгоднейшей скорости. Выразив горизонтальную Vх и вертикальную Vу составляющие скорости планирования  через Vпл и θ, получим:
Vх = Vплсоsθ
Vу = Vплsinθ.
Изменение этих скоростей и угла планирования в зависимости от угла атаки можно изоб-разить графически в виде кривой, которую называют полярой планирования.
Поляра планирования аналогична указательнице траекторий набора высоты. Строят ее следующим образом. По поляре дельталета для заданных
α определяют Су и Сх, затем вычисляют:
    
Vу и Vх, по оси абсцисс откладывают значение Vх, а по оси ординат значение Vу (в одном масштабе), полученные точки соединяют плавной кривой (рис. 79).
 

 Рис. 79. Поляра планирования.

Прямые лучи, проведенные из начала координат к точкам поляры планирования, равны по величине и направлению скоростям планирования при различных углах атаки. Минимальный угол планирования можно определить, проведя касательную к поляре из начала координат, а минимальную вертикальную скорости – по касательной, проведенной параллельно оси абсцисс. На всех режимах, кроме наивыгоднейшего, пересекает поляру планирования в двух точках. Планирование со скоростями, соответствующими углам атаки меньше наивыгоднейшего, происходит в интервале первых режимов планирования, а при углах атаки, больших наивыгоднейшего, - в интервале вторых режимов.
Планирование с Vу min, соответствующей
αэк, относится к областям вторых режимов.
На первых режимах при увеличении скорости угол планирования увеличивается, а на вторых, наоборот, уменьшается.
При полете на вторых режимах ухудшается устойчивость и управляемость дельталета.
Когда угол атаки приближается к критическому, дельталет начинает проваливаться. С переходом за критический угол атаки это явление усиливается и может произойти клевок.
Планирование на больших углах атаки называется парашютированием.
На высоте ниже 50 м выполнять планирование на вторых режимах не рекомендуется. На поляру планирования, также как и на кривые потребных и располагаемых мощностей, накладываются ограничения по перемещению рулевой трапеции. Эти ограничения могут сужать эксплуатационный диапазон скоростей.

10.3. Дальность планирования и влияние на нее эксплуатационных факторов
Дальностью планирования называется расстояние, которое дельталет пролетает над земной поверхностью при прямолинейном планировании с заданной высоты.
Дальность планирования зависит от высоты Н, с которой производится планирование, от угла планирования, а также от скорости и направления ветра.
Рассмотрим дальность планирования при безветрии.
Она будет возрастать с увеличением высоты, с уменьшением угла планирования. Зная высоту Н и угол планирования θ, дальность планирования Lпл можно определить по следующей формуле: Lпл = Нctqθ.
Выше было показано, что ctqθ = К, отсюда следует: Lпл = НК
Таким образом, дальность планирования зависит от высоты и аэродинамического качества дельталета.
В качестве примера определим дальность планирования с высоты Н = 100 м дельталета, который при 
α = 200 имеет Су = 0,75 и Сх = 0,14:
 
Максимальную дальность планирования получим при максимальном аэродинамическом качестве, которое соответствует полету на наивыгоднейших угле атаки и скорости.
Время планирования можно определить по формуле:
 
При планировании, как и в горизонтальном полете, ветер не влияет на воздушную скорость. В штиль дельталет спланирует при заданном режиме на расстояние L0.
При встречном ветре дельталет будет сносить назад со скоростью W и угол планирования относительно земли увеличивается, а скорость уменьшается.
Дальность планирования при встречном ветре можно определить по формуле: Lпл = L0 – Wtпл,
где L0 – дальность планирования в штиль;
tпл – время планирования;
W – скорость ветра.
Горизонтальный ветер не влияет на Vу и время планирования остается таким же как в штиль.
Если скорость встречного ветра будет равна скорости планирования, то дельталет будет снижаться почти вертикально.
При попутном ветре дельталет будет сносить вперед со скоростью W. В этом случае относительно земли угол планирования уменьшается, а скорость увеличивается. Дальность планирования при попутном ветре: Lпл = L0 + Wtпл.
Таким образом, при планировании со встречным ветром дальность полета уменьшается, а при попутном ветре – увеличивается.
Для достижения наибольшей дальности при встречном ветре скорость должна быть увели-чена, а при попутном уменьшена по сравнению с наивыгоднейшей скоростью полета в штиль.
Вертикальные потоки оказывают на дальность планирования еще большее влияние, чем горизонтальные. При наличии вертикальных потоков изменяется не только дальность и угол планирования, но и вертикальная скорость.
На рисунке 80 показано влияние высоты (а) и угла планирования (б) на характеристики планирования дельталета относительно земли.


Рис. 80. Влияние высоты (а) и угла планирования (б) на характеристики планирования.

При планировании в нисходящем потоке  вертикальная скорость относительно земли и угол планирования увеличиваются, дальность планирования уменьшается.
При планировании в восходящем потоке  вертикальная скорость и угол планирования уменьшаются, а дальность увеличивается.
Для получения наибольшей дальности при планировании в восходящем потоке скорость нужно несколько уменьшить по сравнению со скоростью наивыгоднейшего планирования в штиль, а в нисходящем потоке увеличить.
Если скорость восходящего потока будет равна Vу дельталета, то полет будет проходить без снижения. При W > Vу дельталет будет набирать высоту. На этом принципе основан парящий полет планеров и дельтапланов.
Увеличение веса дельталета приводит к снижению аэродинамического качества.
Поэтому при большем весе дальность планирования уменьшается, а угол планирования увеличивается. Увеличиваются также скорость планирования и ее вертикальная составляющая.

11.   Взлёт

Взлету предшествует руление дельталета. Рулением называется движение дельталета по земле, не связанное с выполнением этапов полета. При рулении следует учитывать две особенности дельталета: сравнительно узкая колея и небольшая база шасси в сочетании с высоко расположенным центром масс способствуют опрокидыванию при разворотах; высокое расположение крыла в сочетании с его большой парусностью приводит к возникновению значительных аэродинамических сил, способных уже при небольших порывах ветра также опрокинуть дельталет.
Скорость руления не должна превышать скорость быстро идущего человека. Рулевая тра-пеция должна находиться в среднем положении. Особое внимание при рулении следует уделять выполнению разворотов и положению крыла. Перед разворотом следует уменьшить скорость. Выполнение разворотов при рулении на большой скорости является одной из типичных ошибок, которая приводит к опрокидыванию дельталета.
Выполняя руление при наличии ветра, особое внимание следует уделить правильному управлению крылом.

11.1. Этапы взлета и его характеристики
Взлет дельталета – это ускоренное его движение от начала разбега до достижения скорости и высоты, установленных руководством по летной эксплуатации.
Для дельталетов взлет считается законченным при наборе высоты 5 м.
Взлет в общем случае включает следующие этапы: разбег, отрыв, выдерживание, переход к набору высоты (рис. 81).


Рис. 81. Этапы взлета дельталета.

Этап выдерживания для набора скорости имеет место только у дельталетов с невысокой располагаемой мощностью.
Важнейшими характеристиками взлета являются: длина разбега, скорость отрыва, взлетная дистанция.
При разбеге по горизонтальной ВПП на дельталет действуют следующие силы (рис. 82): массовая сила G, реакция земли N = N1 + N2, подъемная сила У, сила сопротивления Х = Хк + Хп, тяга двигателя Р, сила трения F = F1 + F2 или F = ƒ N (ƒ – коэффициент трения при качении).


Рис. 82. Схема сил, действующих на дельталет при разбеге.

Если пренебречь тем, что сила тяги имеет вертикальную составляющую, то уравнения движения дельталета при разбеге можно записать в виде: mјx = Р – Х – F;
G = У + N, где јx – ускорение разбега.
Из первого уравнения можно определить ускорение разбега:

Эта формула показывает, что чем больше избыток тяги и чем меньше масса, тем больше будет ускорение при разбеге и, следовательно, тем быстрее дельталет наберет необходимую для от-рыва скорость.
На величину ƒ влияет давление в пневматиках. При взлете с твердой ВПП коэффициент трения уменьшается при увеличении давления в пневматиках. При взлете с мягкой ВПП наблюда-ется обратная картина.
Величина силы тяги зависит от скорости, однако в процессе разбега тяга меняется незна-чительно, поэтому ее можно считать постоянной. Лобовое сопротивление Х возрастает пропорционально квадрату скорости от нуля в начале разбега и до Х = G/Котр к моменту отрыва (Котр – значение аэродинамического качества при угле атаки, на котором происходит отрыв).
Сила реакции земли N уменьшается от N = G в начале разбега до нуля к моменту отрыва.
Тормозящая сила Fторм = Х + ƒN, в процессе разбега можно ввести ее среднюю величину:
 
Подставив это выражение в формулу для ускорения, получим:

где   – относительная тяговооруженность дельталета;
Рср – средняя тяга при разбеге.
Допустим, дельталет с массой G = 200 кг имеет Рср = 80 кг и аэродинамическое качество при отрыве Котр=5, определим, какое среднее ускорение будет иметь этот дельталет при взлете с мягкого грунта ƒ = 0,1:

Скорость, при которой происходит отрыв дельталета от земли, называют скоростью отрыва. Скорость отрыва можно определить по формуле:

Су отр – коэффициент подъемной силы при отрыве.
Значение Су отр определяется углом атаки, который имеет дельталет в момент отрыва, и колеблется у дельталетов в пределах 0,7-1,2.
Представим, что дельталет имеет Су отр = 1 и площадь крыла S = 18 м2, тогда его скорость отрыва Vотр = 13,3 м/с.
Длина разбега при отсутствии ветра равна:
 
В нашем случае длина разбега дельталета составит Lр = 36,1 м.
Взлетная дистанция включает в себя длины разбега и воздушного участка: Lвзл = Lр + Lв.
Взлетная дистанция – это расстояние, проходимое дельталетом относительно земли от начала разбега до момента набора высоты 5 м.
Длина воздушного участка зависит от тяговооруженности дельталета, скорости отрыва и способа пилотирования после отрыва.
Длину воздушного участка можно приблизительно определить по формуле:

Vвзл – взлетная скорость дельталета после отрыва;
Vу – вертикальная скорость.
Если принять, что Vвзл = 14 м/с, а Vу = 2 м/с, то длина воздушного участка будет равна Lв = 35 м.
Таким образом, видно, что длина воздушного участка сравнима с длиной разбега.

11.2. Влияние эксплуатационных факторов на длину разбега и взлетную дистанцию
На величину взлетной дистанции влияют показатели основных параметров дельталета, а именно: взлетная масса m0, площадь крыла S, мощность двигателя N0, удельная нагрузка на крыло  и энерговооруженность.
Кроме указанных факторов на длину разбега сильно влияет наклон ВПП. Если разбег происходит под уклон, то разгону дельталета помогает составляющая силы веса, при разбеге на уклон она наоборот, противодействует. Естественно, что разбег под уклон будет короче, а на уклон – длиннее.
На длину разбега и взлетную дистанцию влияет высота расположения ВПП над уровнем моря. С увеличением высоты уменьшается плотность воздуха, соответственно увеличивается длина разбега и взлетной дистанции.
Уменьшение плотности воздуха приводит к уменьшению мощности двигателя, следовательно, и тяги винта, что также вызывает увеличение длины разбега и взлетной дистанции.
На длину разбега и взлетную дистанцию существенное влияние оказывает ветер.
Взлет, как правило, выполняют против ветра. Встречный ветер сокращает разбег и воздушный участок взлетной дистанции, а также облегчает управление дельталетом. Взлета по ветру следует избегать. При выполнении полетов часто приходится выполнять взлет с боковым ветром. При боковом ветре еще на старте на дельталет действует боковая сила Z (рис. 83).


Рис. 83. Влияние бокового ветра на дельталет:
а – на старте; б – при разбеге.

Во время разбега скорость ветра складывается со скоростью дельталета и дает результиру-ющий поток, который направлен под углом β к плоскости симметрии крыла. Появление боковой силы способствует сносу дельталета. В начале разбега сносу препятствует трение, но к концу разбега трение уменьшается и тогда снос становится значительным.
Воздействие боковой силы и боковое давление на колеса приводят к возникновению момента крена. Для компенсации этого момента необходимо сместить рулевую трапецию и создать небольшой крен на крыло, которое находится с наветренной стороны.
Взлет при боковом ветре следует выполнять при средних углах атаки, а отрыв – на скорости, большей, чем Vотр. в штиль. В связи с этим длина разбега и взлетная дистанция увеличиваются.

12. Посадка

12.1.  Этапы посадки. Расчет на посадку
Посадка является одним из наиболее сложных элементов полета. Посадке предшествует снижение с работающим на малом газе двигателем. В процессе снижения  пилот выводит дельталет на прямолинейную траекторию, направленную к намеченной точке выравнивания. Вблизи земли он, перемещая рулевую трапецию от себя, выравнивает дельталет, изменяя траекторию таким образом, чтобы на высоте около 0,5 м она стала параллельной земле. Так как после выравнивания скорость еще велика, то пилот гасит ее, выдерживая для этого дельталет в полете параллельно земле. Выдерживание осуществляется перемещением рулевой трапеции от себя.
После того как скорость уменьшится до минимальной, дельталет осуществляет небольшое парашютирование, касается земли и выполняет пробег до полной остановки. В зависимости от действий плота и летных свойств дельталета  режима парашютирования на практике может не быть.
Будем считать, что собственно посадка выполняется с высоты Н = 15 м. Можно выделить три этапа посадки: планирование с высоты 15 м, выравнивание, выдерживание для погашения скорости с парашютированием, приземление и пробег (рис. 84).


 
Рис. 84. Этапы посадки.

Расчетом на посадку называют маневр для приземления дельталета в заданное место.
Различают следующие основные виды расчета: с прямой (1), с разворотом на 900 (2) с разворотом на 1800 (3) (рис. 85).

Рис. 85. Схемы глазомерного расчета на посадку.

Все виды расчета заключаются в дросселировании двигателя и переходе на планирование в такой момент, чтобы в результате последующего снижения приземлиться в намеченное место.
При посадке с прямой пилот подводит дельталет к посадочной полосе против ветра. Если высота значительная, то расчет затруднен. Пилоту может казаться, что дельталет не долетит до точ-ки посадки или перелетит ее.
При посадке с разворотом на 900 дельталет летит сначала перпендикулярно посадочной полосе, над некоторой точкой А он совершает разворот на 900 и выходит на посадочную прямую. Если на пути к точке А пилот видит, что у него мало высоты, то он может сократить путь, довернув в сторону посадочной полосы. Если же высота окажется слишком большой, то путь может быть увеличен отворотом немного в сторону от полосы.
Аналогично выполняется расчет на посадку с разворотом на 1800. Во всех случаях рекомендуется последний разворот заканчивать на высоте не менее 30 м.
Довольно часто при выполнении посадки на дельталете используют тягу двигателя. То есть заход на посадку выполняется на заведомо меньшей высоте, когда перелет исключен, а уменьшение угла планирования осуществляется путем увеличения оборотов двигателя.

Выравнивание
Для того чтобы погасить вертикальную скорость снижения, производят маневр, называе-мый выравниванием. При приближении дельталета к земле пилот, перемещая рулевую трапецию от себя, увеличивает угла атаки, вследствие этого полная аэродинамическая сила R становится больше веса дельталета G, соответственно
У > G соsθ     и     Х > G sinθ.
Под действием неуравновешенной силы ∆Y = Y - G соsθ происходит искривление траектории в вертикальной плоскости, а неуравновешенная сила ∆Х = Х - G sinθ тормозит дельталет и уменьшает скорость полета.
Перед началом выравнивания дельталет должен иметь необходимый запас скорости.
Если планирование осуществляется на больших углах атаки, то в этом случае еще большее увеличение угла атаки при выравнивании не дает заметного увеличения подъемной силы. Следовательно, искривление траектории будет незначительным и может произойти грубая посадка с ударом о землю.
При большой скорости планирования после выравнивания следует длительное выдержи-вание и увеличивается посадочная дистанция.
Перед выравниванием рекомендуется держать скорость несколько больше балансировочной. Начинать выравнивание следует на высоте 1,5-3 м и заканчивать его на высоте около 0,5 м.
Касание земли может произойти при выполнении выравнивания.
Если же после выполнения выравнивания дельталет находится на некоторой высоте и имеет скорость, обеспечивающую равенство Y = G, то следует этап выдерживания.

Выдерживание
Задача выдерживания заключается в том, чтобы погасить скорость до минимальной. Когда подъемная сила станет меньше веса дельталета, он, парашютируя, опустится на землю. Парашютирование должно осуществляться с высоты не более 0,5 м. При парашютировании с большей высоты возможна грубая посадка, сопряженная с поломкой.
Движение дельталета после касания земли называется  пробегом. Минимальная длина пробега получается в том случае, если приземление дельталета происходит на минимальной скорости.
Максимальный угол атаки дельталета соответствует положению рулевой трапеции максимально от себя. Поэтому посадочную скорость можно определить приблизительно по формуле

Сymax – коэффициент подъемной силы, соответствующий максимальному эксплуатацион-ному углу атаки.
В качестве примера определим Vпос дельталета, имеющего G = 200 кг, Сymax = 0,9, S = 16 м2 при p = 0, 125 кгс24
 
Длина пробега с увеличением посадочной скорости увеличивается и уменьшается при использовании тормозов.
Приближенно длину пробега можно определить по формуле:

Vпос – посадочная скорость, м/с;
jср  - среднее ускорение при пробеге, м/с2.
Подставив значение Vпос и  в эту формулу, получим для Lпроб следующее выражение:
 
где Сymax – коэффициент подъемной силы при посадке;
Кср – среднее аэродинамической качество на посадке;
ƒср – средний коэффициент торможения;
ƒср = 0,05 – 0,15 – при отсутствии тормозов;
ƒср = 0,15 – 0,25 – при использовании тормозов.
Определим длину пробега двухместного дельталета при безветрии при G = 280 кг, Сymax = 1, S = 20 м2, Кср = 4, ƒср = 0,20 (с использованием тормозов).
Тогда,
 
Длину участка выравнивания можно определить по формуле:

Vвыр – средняя скорость при выравнивании;
tвыр – время выравнивания.
Определим Lвыр, если выравнивание дельталета осуществляется с Н = 3 м, Vвыр = 15 м/с и вертикальная скорость снижения перед выравниванием Vу = 2 м/с:

Длину этапа планирования определяют по формуле:
Lпл = (Нпл – Нвыр) Кпос, где
Нпл – высота планирования;
Кпос – посадочное качество.
Посадочная дистанция составит:
Lпос = Lпл + Lвыр + Lпроб.
Если считать, что посадка выполняется с высоты 10 м и посадочное качество Кпос = 5, то посадочная дистанция будет равна:
Lпос = 5 • 7 + 45 + 50 = 130 м

12. 2.  Ошибки при посадке
Задача пилота при посадке заключается в том, чтобы, выровняв дельталет, довести его до минимальной скорости в тот момент, когда он плавно подойдет к земле.
В этом случае получается мягкая посадка, как правило, на три точки (рис. 86 а).


Рис. 86. Профили посадок:
а – правильная посадка на три точки; б – посадка с высоким выравниванием («плюхом»);
в – посадка на задние колеса (на скорости); г – «козел» (приземление с повышенной вертикальной скоростью).


Посадка является одним из наиболее сложных этапов полета и требует от пилота хорошего глазо-мера и прочных навыков. Перемещение рулевой трапеции должно быть решительным и размерен-но точным.
Если пилот выровнял дельталет на большой высоте или произвел выравнивание резким перемещением рулевой трапеции, то он может довести дельталет до минимальной скорости в тот момент, когда колеса находятся еще на большом расстоянии от земли. В этом случае получается посадка с парашютированием, или, как ее еще называют, посадка с «плюхом» (рис. 63 б).
Если высота парашютирования велика, то шасси может не выдержать удара и произойдет поломка. Парашютирование следует применять в тех случаях, когда приходится выполнять вынужденную посадку на малопригодное место (например, пашню, высокую траву) или совсем непригодное (на воду, болото, лес, рытвины и бугры).
Если скорость захода слишком велика и после выравнивания дельталет касается задними колесами земли, то происходит посадка на скорости. После касания земли дельталет некоторое время продолжает бежать с поднятым передним колесом.
Резкое перемещение трапеции вперед может привести к взмыванию аппарата, такое же перемещение на себя – к удару передним колесом о землю. Поэтому гасить скорость следует плавным перемещением рулевой трапеции от себя (рис. 63 в).
Если пилот запаздывает с выравниванием, то при посадке может произойти так называемый «козел» (рис. 63 г). Если дельталет взмыл на высоту не более 1 м, то надо задержать рулевую трапецию и на высоте около 0,5 м плавным ее перемещением от себя совершить нормальную посадку. Если после «козла» дельталет взмыл на большую высоту, необходимо переместить рулевую трапецию на себя, а на высоте около метра произвести энергичное выравнивание.

12.3. Влияние ветра на посадку
Встречный ветер уменьшает скорость дельталета относительно земли на всех этапах посадки. В связи с этим длины участков планирования, выравнивания и пробега также уменьшаются. Таким образом, посадку следует выполнять против ветра. Длину пробега против ветра и с попутным ветром можно рассчитать по формуле:
 
Из этой формулы видно, что если скорость ветра W будет равна посадочной, то длина пробега равна нулю.
При посадке против сильного ветра следует сажать дельталет на повышенной скорости и по пологой траектории, используя тягу двигателя, на высоте менее 1 м обороты двигателя можно убрать до минимальных.
При боковом ветре дельталет планирует со сносом относительно земли (рис. 87).

Рис. 87. Выполнение посадки с боковым ветром.

Продольная ось дельталета и колеса не параллельны к оси ВПП, это может привести к боковому удару передними и задними колесами, а при больших углах сноса – и к опрокидыванию дельталета на бок.
Для успешного выполнения посадки с боковым ветром перед выполнением выравнивания необходимо повернуть переднее колесо таким образом, чтобы оно было направлено параллельно оси ВПП.
В этом случае при касании земли сила торможения заднего колеса, расположенного под углом к направлению движения, больше чем переднего и после приземления дельталет сразу же доворачивает по оси ВПП.
Доворот дельталета должен сопровождаться координированным поворотом переднего колеса таким образом, чтобы оно было все время параллельным оси ВПП.

12.4. Пилотирование на посадке
Успешное выполнение посадки связано с точным глазомерным определением высоты. Высота определяется по ряду косвенных признаков, главным из которых является общая картина набегания земли.
При планировании взгляд должен быть направлен по линии полета в точку предполагае-мого выравнивания, при этом необходимо видеть всю посадочную площадку. Небольшие отклоне-ния от посадочного курса устраняются доворотами.
Если отклонение велико, а размеры площадки ограничены, то лучше уйти на второй круг. При посадке взгляд должен скользить по поверхности земли, не задерживаясь на отдельных деталях.
Вначале выравнивания направление взгляда следует изменить. При выполнении выравни-вания следует смотреть на землю влево под углом 25-300 и 10-15м вперед
(левее переднего колеса) (рис. 88).


Рис. 88. Направление взгляда при выравнивании и выдерживании.

Если вертикальная скорость снижения высока, то пилот, глядя вниз, видит, что земля надвигается быстро, и увеличивает темп перемещения рулевой трапеции от себя. Если дельталет в результате выравнивания идет параллельно земле, то пилот, глядя вниз, видит, что по вертикали земля как бы замерла и расстояние до нее не меняется. В этом случае необ-ходимо удерживать рулевую трапецию в фиксированном положении, если высота не более 0,5 м. Если высота больше 0,5 м и в том случае, если она начинает увеличиваться, следует переместить рулевую трапецию от себя до упора.
Посадка с использованием тяги двигателя является более простой. Подобрав обороты дви-гателя, можно добиться очень маленькой вертикальной скорости снижения и произвести посадку практически без выравнивания. На высоте 1 м можно начать плавное уменьшение оборотов двига-теля с одновременным перемещением рулевой трапеции от себя.

13. Выполнение маневров

13.1. Вираж и разворот
Вираж является одним из наиболее распространенных видов криволинейного движения дельталета и выполняется для изменения направления полета. Когда говорят о вираже, то под ним подразумевают разворот на 3600. Если направление полета изменяется меньше чем на 3600, то применяют слово разворот.
Различают два вида виражей: правильные и  неправильные со скольжением.
Правильным виражом называется полет дельталета по окружности, лежащей в гори-зонтальной плоскости с постоянной скоростью и без скольжения.
При выполнении виража дельталет может иметь скольжение во внешнюю или внутреннюю сторону. Причем скольжение присуще начальному этапу каждого виража.
Для выполнения виража необходимо создать неуравновешенную силу, которая должна быть направлена к центру виража.
Чтобы создать эту силу, пилот, перемещая рулевую трапецию в сторону противоположную развороту, накреняет крыло в сторону виража на некоторый угол крена γ.
Вектор подъемной силы крыла Y также отклоняется от вертикальной плоскости на угол γ (рис. 89).


Рис. 89. Схема действия сил при вираже.

Разложив подъемную силу по вертикали и горизонтали, получим две силы:
Y1 = Yсоsγ, Y2 = Ysinγ.

Условие равновесия сил при установившемся вираже в горизонтальной плоскости можно записать в виде:
 
где Rвир – радиус виража.
Таким образом, для выполнения правильного виража в горизонтальной плоскости необходимо, чтобы подъемная сила была больше веса в   раз. Радиус виража можно определить по формуле:



Из первой формулы видно, что радиус виража конкретного дельталета уменьшается с увеличением угла атаки (увеличивается Су) и при увеличении угла крена.
Время виража (на 3600) можно определить по формуле:



При выполнении правильного виража подъемная сила увеличивается пропорционально углу крена. Подставив выражение G = Yсоsγ в формулу для вертикальной перегрузки, получим:
 
Таким образом, при правильном вираже величина перегрузки определяется только углом крена. Скорость выполнения виража выше скорости горизонтального полета при одном и том же угле атаки:
 
Тяга при правильном вираже равна силе сопротивления:
 
а так как

При крене 600 потребная для выполнения правильного виража тяга в два раза больше потребной тяги горизонтального полета.
Выполнять вираж следует на скорости не менее балансировочной. Перемещение рулевой трапеции должно сопровождаться плавным координированным увеличением оборотов двигателя. При этом взгляд летчика должен быть направлен внутрь виража и вниз примерно под углом 450 к оси Ох.
На вираже внешнее полукрыло движется по кривой большего радиуса, чем внутреннее, поэтому оно имеет большую скорость. Подъемная сила внешнего полукрыла будет больше, чем у внутреннего, т.е. возникает момент, который стремится увеличить крен. Для компенсации этого момента пилот должен переместить рулевую трапецию в сторону виража.
Для вывода из виража трапецию необходимо еще больше переместить в сторону виража.
При выполнении виража возможны следующие ошибки.
Выполнение виража на малой скорости и без увеличения оборотов двигателя приводит к снижению дельталета. В этом случае необходимо увеличить скорость перемещения рулевой трапеции на себя и увеличить обороты двигателя.
Не следует выполнять вираж также на повышенной скорости при полностью взятой на себя рулевой трапеции.
Лучше всего делать развороты и вираж на скорости близкой к балансировочной. если при выполнении виража трапеция сама перемещается на пилота, то не следует этому препятствовать.
При первоначальной подготовке желательно развороты выполнять с креном до 300.

Пример.       Потребные скорость и перегрузка на вираже (развороте).

Дано:
Vгп =75км/час; К=7; Ргп=30 кг; G= 300кг.


 
13.2. Спираль
Спиралью называется фигура пилотажа, при которой дельталет движется по спиральной траектории. Спираль с набором высоты называется восходящей, со снижением – нисходящей (рис. 90).


Рис. 90. Нисходящая и восходящая спирали:
а - нисходящая; б - восходящая.


При полетах на дельталетах спираль применяется в случае необходимости набора высоты или снижения над заданной точкой.
Нисходящая спираль используется также для быстрого снижения. Схема действия сил при спирали аналогична схеме действия сил на вираже в боковом канале и при планировании или наборе высоты в продольном канале.
Радиус спирали можно определить по формуле:
 

 
время выполнения одного витка спирали


 
Техника выполнения восходящей спирали аналогичная технике выполнения виража.
При выполнении нисходящей спирали рекомендуется сначала перевести дельталет на режим планирования с балансировочной скоростью, а затем, переместив рулевую трапецию, создать крен в необходимую сторону. Когда дельталет достигнет нужного угла крена, рулевую трапецию следует несколько переместить в сторону крена. Для того чтобы лучше ощущать крен, взгляд пилота должен быть направлен вдоль внутреннего полукрыла. Вывод из спирали осуществляется путем перемещения рулевой трапеции в сторону крена. Выводя дельталет из спирали, следует учитывать, что скорость при одном и том же угле атаки на спирали больше, чем при снижении или в горизонтально полете. Поэтому при выводе из спирали, как и при выводе из виража, дельталет проявляет тенденцию к кабрированию.

13.3. «Горка»
«Горкой» называется крутой, кратковременный набор высоты (рис. 91).

 
Рис. 91. Схема действия сил при выполнении горки.

Для выполнения «горки» дельталет разгоняется пилотом в горизонтальном полете пере-мещением рулевой трапеции на себя и увеличением оборотов двигателя. В установившемся гори-зонтальном полете на повышенной скорости рулевая трапеция энергично перемещается от себя с одновременным увеличением газа. При перемещении рулевой трапеции увеличивается угол атаки и, как следствие, подъемная сила.
Под действием избыточной подъемной силы искривляется траектория полета в вертикальной плоскости и дельталет начинает резко набирать высоту. По мере набора высоты тормозящая сила
 
станет больше силы тяги и скорость начнет быстро падать. Уменьшение скорости приводит к уменьшению подъемной силы и дельталет начинает переходить в горизонтальный полет.
Для того чтобы в верхней точке «горки» не допустить чрезмерного уменьшения скорости, необходимо переместить рулевую трапецию на себя и через некоторое время уменьшить обороты двигателя таким образом, чтобы установился горизонтальный режим полета. «Горка» на дельталете выполняется в очень короткий (несколько секунд) промежуток времени. Поэтому движение рулевой трапецией от себя и на себя следует одно за другим.

13.4. Боевой разворот
Боевым разворотом называется разворот на 1800 с одновременным набором высоты (рис. 92).


Рис. 92. Боевой разворот.

Чтобы выполнить боевой разворот, рулевая трапеция берется на себя и дельталет разгоняется в горизонтальной плоскости до максимальной скорости горизонтального полета.
После разгона рулевая трапеция перемещается вперед в балансировочное положение и в сторону противоположную развороту с одновременным увеличением оборотов двигателя до максимального. Когда дельталет совершит разворот на 140-1800, рулевая трапеция должна быть перемещена на себя и в сторону разворота для устранения крена. Как только дельталет вышел из крена и взято нужное направление полета, рулевая трапеция устанавливается в балансировочное положение и уменьшением оборотов двигателя дельталет переводится в горизонтальный полет.
При выполнении боевого разворота на дельталете не следует создавать крен более 450, так как с увеличением угла крена уменьшается высота, которую может набирать дельталет.

14.  Балансировка, устойчивость и управляемость дельталёта

14.1.  Балансирный способ управления, основные понятия и определения
В соответствии с принятым определением одним из основных признаков дельталета явля-ется балансирный способ управления. Для его реализации крыло устанавливается на пилоне мототележки посредством двухстепенного шарнира, благодаря которому оно имеет возможность отклоняться относительно мототележки вокруг продольной оси (поперечный канал управления) и вокруг поперечной оси (продольный канал управления).
При отклонении пилотом крыла в продольном или поперечном каналах управления происходит соответствующее смещение центра масс мототележки с экипажем (подвесной системы) относительно средней аэродинамической хорды крыла, что приводит к возникновению соответствующих моментов управления – продольного и поперечного.
Например, при отклонении рулевой трапеции от себя происходит перемещение центра масс подвесной системы и, следовательно, общего центра масс к задней части средней аэродинамической хорды крыла – возникает кабрирующий момент, обеспечивающий увеличение угла атаки.
Наоборот, отклоняя трапецию на себя, пилот создает переднюю центровку, чем достигается возникновение пикирующего момента и уменьшение угла атаки.
При отклонении трапеции вправо или влево происходит соответствующее обратное перемещение центра масс дельталета на левую или на правую плоскость. При этом возникает момент крена и разворачивающий момент, которые обеспечивают путевое управление.
При изучении движения дельталета значительную роль играют приведенные ниже основные понятия и определения.
Равновесие дельталета – это такое его состояние, когда сумма сил и моментов, действующих на дельталет, равна нулю.
Балансировкой называется приведение дельталета в состояние равновесия соответствующим отклонением рулевой трапеции.
Движение дельталета можно условно разделить на продольное и боковое.
Продольным считается движение в плоскости симметрии дельталета. Оно включает поступательное движение в вертикальной плоскости, вращательное движение вокруг оси Оz и характеризуется следующими параметрами: скоростью, высотой, углом атаки, углом тангажа и угловой скоростью ωz.
Боковое движение включает поступательное движение вдоль оси Оz и вращательное дви-жение вокруг осей Оу и Ох, они характеризуются углами крена и скольжения, рыскания, а также другими связанными с ними параметрами.
Одним из наиболее важных требований, предъявляемых к дельталету, является устойчивость.
Устойчивостью дельталета называется его способность самостоятельно, без вмешатель-ства пилота, возвращаться к исходному состоянию равновесия после случайных отклонений, вызываемых малыми временными возмущениями.
Необходимым условием устойчивости дельталета является наличие у него статической устойчивости.
Статическая устойчивость – это способность дельталета при отклонениях от состояния равновесия создавать стабилизирующие статические моменты, действующие в противоположном (отклонениям) направлении.
Устойчивость подразделяется условно на продольную и боковую, а также устойчивость с зажатой и освобожденной рулевой трапецией.
Другим важным физическим свойством дельталета является его управляемость.

14.2. Эксплуатационные ограничения по углу атаки
Любой летательный аппарат, в том числе и дельталет, имеет определенную область режимов полета, в которой обеспечивается его нормальное управляемое движение. За пределами этой области могут возникать и развиваться необратимые явления, связанные с неуправляемым движе-нием летательного аппарата. Примером таких явлений в сверхлегкой авиации является флаттерное пикирование, кувыркание и штопор дельталетов.
Флаттерное пикирование явилось причиной многих катастроф на заре развития дельтапланерного спорта, оно связано с потерей несущей формы обшивки крыла на малых углах атаки.
Кувыркание дельталётов чаще всего связано с малой степенью продольной устойчивости в сочетании со слабым продольным демпфированием.
Оба этих явления связаны с потерей устойчивости.
Известно, что несущая поверхность крыла дельталёта в значительное мере зависит от угла атаки.
На малых углах атаки возникают нестационарные колебания обшивки, и она может потерять свою несущую форму, если не будет в соответствующей мере подкреплена специальными эле-ментами, увеличивающими ее жесткость.
При малых углах атаки, близких
αmin доп, возникает срыв потока на нижней части обшивки крыла. Причем в первую очередь это явление начинает развиваться на законцовках крыла, которые уста-новлены относительно потока под меньшими углами, чем центральная часть крыла.
Законцовки начинают колебаться в потоке, увеличивается их сопротивление, увеличение это нестационарно и не одинаково на каждом полукрыле. За счет разницы сопротивлений концевых частей крыла аппарат начинает рыскать по курсу.
Срыв потока на нижней части крыла при малых углах атаки приводит к возникновению пикирующего момента и аппарат как бы подныривает под поток.
На больших углах атаки возникает срыв потока на верхней части крыла  и  подъёмная  сила  уменьшается.
Причем у дельталетов срыв потока начинает развиваться, как правило, сначала в центральной части крыла.
Благодаря этому и низкому расположению центра масс, они не проявляют склонности к сваливанию на крыло. При возникновении срыва дельталет чаще всего просто опускает нос и тем самым уменьшает угол атаки.
Максимальный угол атаки характеризуется срывом потока на верхней части крыла и уменьшением коэффициента подъемной силы при дальнейшем увеличении угла атаки.
На рисунке 93 показаны ограничения по предельным минимальному и максимальному углам атаки.


Рис.93. Предельные режимы дельталёта по углу атаки.

На минимальном угле атаки обшивка крыла теряет свою несущую форму. Для того, чтобы на малых углах атаки дельталет не затягивался в пикирование, используют антипикирующие устройства. Чаще всего применяются подтяжка лат к мачте и концевые жесткие поддержки (рис. 94).



Рис. 94. Антипикирующие устройства
(заштрихованные участки поверхности создают кабрирующий момент
при малых и отрицательных углах атаки).


14.3. Продольная балансировка
Как уже указывалось выше, продольнная балансировка дельталета осуществляется путем отклонения мототележки на определенный угол.
При изменении угла атаки изменяется распределение давления по площади крыла, поэтому перемещается и центр давления.
Уменьшение угла атаки у дельталета сопровождается перемещением центра давления вперед по хорде крыла. При увеличении угла атаки центр давления смещается назад.
В соответствии с перемещением центра давления изменяется аэродинамический момент, действу-ющий относительно точки подвески.
Угол атаки, при котором продольный аэродинамический момент, действующий на крыло, относительно точки подвески равен нулю, называется балансировочным углом атаки, а соответствующая ему скорость полета называется балансировочной скоростью.
При этой скорости дельталет должен устойчиво лететь при освобожденной рулевой трапеции. Если же пилот удерживает рулевую трапецию, то усилие будет равно нулю.
Под действием силы тяги, собственной массы и силы сопротивления мототележка, подобно маятнику, занимает определенное равновесное положение.
Балансировка продольного аэродинамического момента при полете на углах атаки, отличных от балансировочного, осуществляется путем отклонения мототележки от этого равновесного положения.
Перемещая рулевую трапецию, летчик изменяет угол атаки крыла. При этом каждому значению угла атаки соответствует определенная скорость и определенная величина продольного момента.
Под действием внешних сил дельталет занимает такое положение, при котором
М = М.
Усилие на рулевую трапецию Рх является внутренней силой. То есть, с какой силой пилот действует на рулевую трапецию, с такой же силой и рулевая трапеция действует на пилота. Величина Рх пропорциональна величине продольного момента.
 
Н – высота рулевой трапеции.
На рисунке 95 приведена схема балансировки дельталета при различных углах атаки.


 
Рис. 95. Схема балансировки дельталета при различных углах атаки.

Результирующая сила, действующая на мототележку:
Т = Gп + Хп + Р
При установившемся прямолинейном полете
 
Когда полет осуществляется на малых углах атаки, усилие, прикладываемое пилотом к рулевой трапеции, должно быть тянущим, то есть крыло должно стремиться к повороту в сторону увеличения угла атаки.
На больших углах атаки балансировочное усилие толкающее, то есть крыло стремится к повороту в сторону уменьшения угла атаки.
Диапазон перемещения рулевой трапеции дельталета в продольном канале составляет около 200. Часть этого диапазона расходуется на угловое перемещение крыла и изменение угла атаки, а часть на отклонение мототележки от равновесного положения для создания момента управления.
Причем, чем больше продольная устойчивость дельталета, тем больше усилия на рулевой трапеции и больше та часть диапазона перемещения рулевой трапеции, которая расходуется на создание момента управления.
Существенное влияние на балансировку оказывает положение точки подвески мототележки. При смещении точки подвески от оптимального положения, изменяются балансировочная скорость и балансировочный угол атаки.
Смещение точки подвески вперед приводит к увеличению Vбал и уменьшению
αбал. Если точка подвески будет перемещена назад, то Vбал уменьшится, а αбал увеличится.
Рекомендуется, чтобы
αбал был таким, при котором Су бал = 0,6-0,7. Отсюда, зная основные параметры дельталета, можно приблизительно определить рекомендуемую балансировочную скорость:
 
14.4. Продольная устойчивость дельталета
Продольной устойчивостью дельталета называется его способность самостоятельно без вмешательства пилота, сохранять заданный угол атаки.
При изучении продольной устойчивости дельталета будем рассматривать два ее вида:
устойчивость с освобожденным управлением и устойчивость с зажатой рулевой трапецией.
В первом случае угловое движение крыла и мототележки происходит относительно шар-нира подвески. Во втором случае – относительно центра масс дельталета.
Для того чтобы объяснить принципы обеспечения продольной устойчивости с освобожденным управлением, рассмотрим взаимодействие крыла дельталета с воздушным потоком при различных положениях (рис. 96).


 
Рис. 96. Устойчивое (а) и неустойчивое (б) продольное положение крыла.

Допустим, что крыло обтекается воздушным потоком со скоростью V, при этом подъемная сила Y равна весу крыла G, сумма моментов относительно точки О равна нулю.
Если нарушить равновесие первой модели, качнув ее так, чтобы угол атаки увеличился, то подъемная сила тоже увеличится.
Возникший момент приведет к повороту крыла в положение, соответствующее исходному углу атаки, когда Y = G.
При уменьшении угла атаки подъемная сила Y станет меньше веса и под действием ее отрицательного приращения ∆Y = Y – G крыло снова вернется к исходному положению.
Во втором случае поворот крыла в сторону увеличения угла атаки приведет к увеличению подъемной силы, которая еще больше увеличит угол атаки.
Если качнуть крыло вниз, то уменьшение угла атаки вызовет также появление момента, выводящего крыло из положения равновесия.
Таким образом, на устойчивость крыла оказывает влияние взаимное расположение центра давления и центра вращения.
Положение центра давления зависит от профиля крыла, формы крыла в плане и его геометрической крутки, а также угла атаки.
У S-образного профиля при уменьшении угла атаки центр давления перемещается вперед, а у вогнутого - назад.
Для обеспечения продольной устойчивости крыла необходимо, чтобы перемещение центра давления при изменении угла атаки происходило по закону, показному на рисунке 97.

Рис. 97. Влияние формы профиля и угла атаки на положение центра давления
(S-образный, симметричный и вогнутый профили).


Действительно в этом случае при малых углах атаки на крыло будет действовать кабриру-ющий момент, который стремится повернуть его в такое положение, когда центр давления совпадает с точкой подвески.
При больших углах атаки момент, наоборот, будет пикирующим и он также будет стремиться повернуть крыло в равновесное положение.
Перемещение центра давления по закону, показанному на рисунке 98 достигается геометрической круткой крыла или применением S-образных профилей крыла. Чаще всего в крыле сочетается S-образный профиль в корневой части с геометрической круткой.




Рис. 98. Зависимость положения центра давления от угла атаки для устойчивого крыла.

Роль геометрической крутки в обеспечении продольной устойчивости можно пояснить на примере рисунка 99.


Рис. 99. Роль геометрической крутки крыла в обеспечении устойчивости.

Возьмем два элементарных участка одинаковой площади. Участок 1 в корневой части и участок 2 в концевой части крыла. При этом за счет крутки угол атаки участка
α2 будет меньше, чем α1.
Допустим, для простоты рассуждений, что участки имеют одинаковые характеристики Су = ƒ(
α) и точка подвески находится посредине между их центрами давлений. Тогда зависимость Су = ƒ(α)2 для участка 2 будет сдвинута на α1-α2 по сравнению с Су = ƒ(α)1 для участка 1. Точка пересе-чения Су = ƒ (α)1 и Су = ƒ (α)2 определит балансировочный угол атаки αбал, при котором сумма мо-ментов относительно точки 0 равна нулю.
Действительно, в этом случае Су1 = Су2 и Y1 = Y2. Так как по условию центр вращения лежит по середине между центрами давления, то моменты от сил Y1 и Y2 относительно точки 0 взаимно уравновешены.
При увеличении угла атаки 
ααбал, Су2 > Су1 и соответственно Y2 > Y1. Таким образом, возникает неуравновешенный пикирующий момент, который стремится вернуть крыло на балансировочный угол атаки. Если угол атаки α < αбал, то Y1 > Y2. и кабрирующий момент повернет крыло на αбал.
Принцип обеспечения продольной устойчивости дельталета с зажатой рулевой трапецией показан на примере рисунка 100.



Рис. 100. Обеспечение продольной устойчивости дельталёта с зажатой рулевой трапецией.

Представим дельталет в виде крыла с прикрепленной жесткой точкой, в которой сосредоточена вся масса дельталета G.
В случае «а» дельталет планирует с установившейся скоростью V, которой соответствует исходный угол атаки 
α1, R = G.
Допустим, дельталет попал в восходящий поток   (случай «б»).
Увеличение угла атаки приведет к появлению приращения аэродинамической силы ∆R, которая на плече ℓ создает пикирующий момент. При нисходящем потоке (случай «в») момент, наоборот, будет кабрирующим.
Выводы:
1. Устойчивость дельталета с зажатой рулевой трапецией выше, чем со свободной. То есть для обеспечения продольной устойчивости необходимо обеспечить устойчивость с освобожденной рулевой трапецией, тогда с зажатой рулевой трапецией устойчивость будет еще выше.
2. При увеличении скорости установившегося полета вследствие смещения центра масс вперед запас продольной устойчивости увеличивается.
3. Минимальный запас продольной устойчивости реализуется на больших предсрывных углах атаки вследствие смещения центра масс назад.

14.4.1 Влияние конструктивных и эксплуатационных факторов на продольную устойчивость
Наибольшее влияние на продольную устойчивость оказывают следующие конструктивные факторы: форма крыла в плане, геометрическая крутка, вид профилей крыла, расположение точки подвески мототележки и расположение общего центра масс.
У крыла с обратной стреловидностью концевые профили установлены под положительным углом к корневым, тогда как у крыла с прямой стреловидностью – под отрицательным.
У прямоугольного крыла обеспечение продольной устойчивости только геометрической круткой весьма проблематично, для этого используют стабилизатор.
При уменьшении стреловидности крыло дельталета приближается к прямоугольному и появляются проблемы с продольной устойчивостью именно поэтому стреловидность по передней кромке современных дельталетов и крыльев дельталетов, как правило, не меньше 25-300. С увели-чением геометрической крутки устойчивость крыла растет.
Смещение точки подвески вперед увеличивает устойчивость дельталета с освобожденным управлением, однако если точка подвески будет смещена слишком вперед, то крыло с освобожден-ной рулевой трапецией перестает балансироваться в допустимом диапазоне эксплуатационных углов атаки ∆
αэ доп и выйдет за предельное значение αmin доп.
Если пилот имеет возможность, переместив рулевую трапецию, сбалансировать дельталет, то устойчивость с зажатой рулевой трапецией будет обеспечена.
Смещение точки подвески назад ведет к уменьшению устойчивости с освобожденным управлением, однако при возможности балансировки дельталета устойчивость с зажатой рулевой трапецией также практически не изменится.

14.4.2. Проявление продольной устойчивости в полете
Если дельталет стремится пикировать или, наоборот, кабрировать, отчего пилот непрерывно должен прикладывать определенное усиление к рулевой трапеции, то это еще не говорит о продольной неустойчивости, а только о том, что неправильно выбрана точка подвески или уста-новлена рулевая трапеция.
Влияние расположения точки подвески на продольную устойчивость было показано выше. Допустим, что она выбрана правильно и крыло устойчиво, но на скорости несколько меньше балансировочной поперечина рулевой трапеции упирается в пилота. Тогда во всем диапазоне перемещения рулевой трапеции летчик будет ощущать пикирующий момент.
Если рулевая трапеция упирается в передний ограничивающий элемент (трос, стержень) на скорости несколько выше балансировочной, момент будет кабрирующим. В обоих случаях надо переместить поперечину рулевой трапеции в нужное положение путем изменения длин нижних продольных тросов.
У правильно сбалансированного дельталета, обладающего продольной устойчивостью, усилие на рулевой трапеции должно быть равно нулю, когда она находится примерно в середине диапазона своего перемещения.
Если пилот перемещает рулевую трапецию на себя, то усилие должно расти пропорционально увеличению скорости и перемещению. При перемещении рулевой трапеции дельталет из-меняет скорость не сразу, а в течение некоторого времени, затрачиваемого на переходный процесс. В этот период усилие может быть переменным.
Но через 10-15 с после перемещения рулевой трапеции летчик должен отчетливо ощущать возросшее усилие. На большой скорости пилот ощущает кабрирующий момент, а на малой скорости – пикирующий.
Для оценки продольной устойчивости дельталета можно рекомендовать следующий спо-соб. В горизонтальном полете дельталет переводится в режим, соответствующий балансировочной скорости, когда усилие на рулевой трапеции Рх = 0. Затем рулевая трапеция перемещается на себя на 10-15 см и удерживается в этом положении около минуты.
В это время пилот фиксирует направление и ориентировочную величину усилия. После чего рулевая трапеция перемещается еще на 10-15 см, опять фиксируется направление и величина усилия.
У устойчивого дельталета усилия должны быть тянущими, а их величина постоянно увеличиваться. Если после какого-то значения скорости величина усилия уменьшается, то это свидетельствует о склонности дельталета к потере продольной устойчивости.
После проверки устойчивости на больших скоростях необходимо снова перевести аппарат на балансировочную скорость и произвести ступенчатое уменьшение скорости, перемещая рулевую трапецию от себя. При уменьшении скорости усилия должны быть толкающими и расти пропорционально уменьшению скорости. На больших углах атаки (вследствие срыва потока) могут появить-ся нестационарные усилия по крену. Это свидетельствует о приближении к режиму сваливания.
Неустойчивый дельталет при уменьшении угла атаки стремится уменьшить его еще больше. Чтобы удержать дельталет на заданной скорости, пилот должен переместить рулевую трапецию от себя.
Если пилот будет увеличивать угол атаки, перемещая рулевую трапецию от себя, то неустойчивый дельталет начинает кабрировать. Чтобы остановить этот процесс, придется переместить рулевую трапецию на себя.
Таким образом, для управления неустойчивым дельталетом требуется двойное движение: сначала в одном направлении, затем в противоположном.

14.5. Продольная управляемость дельталета
Продольной управляемостью дельталета называется его способность изменять угол атаки при перемещении пилотом рулевой трапеции.
Перемещая рулевую трапецию, пилот изменяет положение центра масс относительно крыла и переводит дельталет из одного равновесного положения в другое.
Одной из количественных характеристик продольной управляемости является степень управляемости, которая показывает, на сколько градусов изменится угол атаки при повороте рулевой трапеции на 10.
У хороших самолетов степень управляемости составляет от 1,5 до 2, т.е. при отклонении руля высоты на 10 угол атаки изменяется на 1,5-20. Степень управляемости самолетов меньше единицы считается недостаточной, а больше трех – излишней.
У дельталета степень управляемости не может быть больше единицы, так как часть пере-мещения рулевой трапеции расходуется на изменение угла атаки, а часть на создание управляющего момента.
Причем чем больше продольная устойчивость дельталета с освобожденным управлением, тем меньше степень управляемости. При увеличении устойчивости растут усилия на рулевой трапеции и соответственно растет часть диапазона перемещения рулевой трапеции, расходуемая на создание управляющего момента.
Большое внимание на продольную управляемость оказывает расположение точки подвески, как уже показывалось выше.
При переднем расположении точки подвески момент крыла может быть пикирующим во всем диапазоне углов атаки, и чем более передним будет расположение точки подвески, тем более пикирующим будет момент.
Следовательно для балансировки этого момента потребуется большой расход рулевой трапеции, значительное усилие. Особенно неблагоприятно это скажется при посадке. Пилоту придется приложить значительные усилия к рулевой трапеции, и мототележка может получить отрицательный угол тангажа, следствием чего является посадка на переднее колесо.
При заднем расположении точки подвески увеличиваются усилия и расход рулевой трапе-ции потребные для полета на максимальной скорости. Таким образом, перемещение точки подвески вперед или назад от ее оптимального положения ведет к уменьшению степени управляемости.
Передний предел расположения точки подвески определяется управляемостью дельталета, а задний – его устойчивостью.
Балансирный способ продольного управления дельталетом не обеспечивает достаточной эффективности при изменении угла тангажа, например с целью набора высоты и снижения.
Чтобы привести самолет к резкому снижению, достаточно отклонить штурвал или ручку управления от себя, не меняя оборотов двигателя.
У дельталета при постоянных оборотах двигателя и перемещении рулевой трапеции из одного крайнего положения в другое угол наклона траектории меняет слабо.
В связи с этим для повышения эффективности управления по тангажу при наборе высоты и снижении на дельталете широко используют изменение оборотов двигателя.
Изменение оборотов двигателя при одном и том же положении рулевой трапеции практически не влияет на скорость и угол атаки, но позволяет изменять угол наклона траектории в широких пределах.

15.  Дальность и продолжительность полёта

15.1.  Дальность полёта дельталёта есть расстояние, измеренное по земной поверхности, которое он пролетает от взлёта до посадки при израсходовании определённого запаса топлива
Дальность полёта включает расстояние, пройденное дельталётом при наборе высоты крейсерского полёта (режим полёта дельталёта с постоянной скоростью, основной режим полёта на дальность), в крейсерском режиме полёта и при снижении.
На дальность полёта летательного аппарата оказывают влияние различные факторы: полётная масса, профиль полёта, режим работы двигателя, метеорологические условия и др.
В зависимости от располагаемого запаса топлива и задачи полёта различают перегоночную дальность полёта, практическую дальность полёта, техническую дальность полёта.
Перегоночная дальность полёта – дальность полёта при отсутствии коммерческой (боевой) нагрузки с запасом топлива, определяемым ограничениями по прочности и с минимально необходимым для выполнения задания снаряжением.
Практическая дальность полёта – расстояние, которое может пролететь дельталёт при заданном состоянии атмосферы с учётом расхода топлива на запуск и опробование двигателя, руление перед взлётом, взлёт, предпосадочный манёвр, посадку, руление после посадки, а также с учётом аэронавигационного запаса топлива.
Техническая дальность полёта – расстояние, которое может пролететь дельталёт от взлёта до посадки в условиях стандартной атмосферы без ветра, с максимально возможной выработкой топлива и с нагрузкой , обусловленной техническими требованиями.

15.2. Продолжительность полёта – время нахождения дельталёта в воздухе (время от отрыва от взлётно-посадочной полосы до касания ВПП). Наибольшая продолжительность полёта достигается при выдерживании наивыгоднейших режимов, при которых минимален часовой расход топлива .

Расход топлива.
Часовой расход топлива в кг топлива на 1 час полёта (Сh)
Километровый расход топлива в кг топлива на 1 км пути (Сĸ)
Удельный расход топлива в кг топлива на 1л.с. в час (Се)
Часовой расход топлива (Сh) двигателя с воздушным винтом можно взять из характеристик двигателя.
Километровый расход (Сĸ) получается как частное от деления часового расхода топлива (Сh) в кг/час. на скорость полёта в км/час:
                               Ск= Сh/V (кг/км)
Часовой расход топлива двигателя  Rotax 582 (Руководство по эксплуатации)


15.3.  Скорости  максимальной дальности и продолжительности полёта
Каждой скорости горизонтального полёта соответствует определённая мощность двигателя Nп (рис. 53), которую можно представить в виде отношения полезной мощности воздушного винта к коэффициенту полезного действия винта, зависящий от скорости полёта и оборотов винта
                                          Nп = Nв
Данной мощности и оборотам соответствует определённый расход топлива Се в кг/л.с. час.
Зная режим полёта, т.е. скорость, мощность, высоту и обороты, можно определить часовой расход по формуле:
                       Ch = Се Nп = Ce Nв/η = Nв Се/η.
Рассматривая последнюю формулу, можно заключить, что Ch min было бы при экономической скорости полёта, которой соответствует Nгп min (рис. 58),
если бы на этом режиме отношение Се/η было минимальным.
Однако (Се/η)min зависит как от оборотов, так и от скорости полёта и всегда соответствует скорости, несколько большей экономической.
По кривой Nп (рис. 58) нетрудно заметить, что возрастание мощности в пределах от Vэк до Vнаив  ничтожно мало, в то время как отношение Се/η в этом интервале изменяется довольно значительно, уменьшаясь с переходом от Vэк к Vнаив. Поэтому минимум произведения Nгп С
е/η, очевидно, будет на скорости, немного большей экономической.
Продолжительность полёта на экономической и максимальной скорости отличается более, чем в  два  раза, а дальность уменьшается несколько меньше.

Пример.
Делталёт МД-50 с двигателем  « Rotax – 582»

Vэк = 68 км/час, Сh = 11 л/час, Ск = 11/68 = 0,16 л/км
Vmax 120 км/час, Сh = 27 л/час, Ск= 27/120 = 0,22 л/км

 Дальность полёта, (при запасе топлива 40 л.) на Vэк =40 : 0,16 = 250 км.
                                                                       на Vmax = 40 : 0,22 = 181 км

Продолжительность полёта                              на Vэк = 40 : 11 = 3,6 час.
                                                                            Vmax = 40 : 27 = 1,5 час

Дальность полёта на Vнаив = 80 км/час при   Ск= 11:80 = 0,14 л/км                             40 : 0,14 = 285 км.

В главе « Горизонтальный полёт» было рассмотрено влияние веса и ветра на дальность полёта.
Увеличение полётного веса и высоты полёта, снижение аэродинамического качества, встречный ветер  уменьшают дальность полёта.

Раздел 4. Авиационная метеорология

Введение
Планета Земля состоит из трех оболочек: твердой (литосферы), жидкой (гидросферы) и газообразной (атмосферы). Физические и химические процессы в этих оболочках изучаются многими науками, общее название которых – наука о Земле.
Одной из них является метеорология – наука об атмосфере (воздушной оболочке), окружающей земной шар. Она изучает физические процессы и явления, происходящие в атмосфере, в их неразрывной связи и взаимодействии с земной поверхностью и космической средой.
Предметом изучения метеорологии является протяженность, состав и строение атмосферы, источники энергии, за счет которой развиваются атмосферные процессы, и законы, управляющие ими.
По практическому применению метеорология подразделяется на ряд прикладных дисциплин. Важнейшей из них является авиационная метеорология, изучающая метеорологические элементы и явления погоды с точки зрения их влияния на деятельность авиации и авиационную технику, а также занимающаяся разработкой и совершенствованием способов и форм метеорологического обеспечения полетов.
Авиационная метеорология особое внимание уделяет изучению и оценке метеорологических условий полетов. Такими условиями являются давление, температура, влажность атмосферного воздуха, направление и скорость ветра, облачность, осадки, видимость и атмосферные явления (грозы, туманы, метели, пыльные бури, обледенение, турбулентность и т.д.).
Метеорологические условия являются одним из важнейших элементов воздушной обстановки и оказывают существенное влияние на выполнение всех видов полетов.
Сверхлегкие летательные аппараты (СЛА) имеют большую поверхность крыльев. Эта особенность приводит к тому, что наиболее опасными для СЛА метеорологическими явлениями являются ветер, турбулентность и грозы. Однако СЛА при минимальной тяге двигателя можно использовать как планер при благоприятных метеорологических условиях.
Умение летным составом грамотно анализировать метеорологическую обстановку и учитывать ее на всех этапах организации и проведения полетов – одна из важных условий обеспечения безопасности полетов и качественного выполнения поставленных задач.

1. Строение атмосферы

Атмосфера имеет четко выраженную только нижнюю границу – поверхность земли. Значительно труднее указать верхнюю границу атмосферы, так как плотность воздуха непрерывно убывает с высотой и уже на высоте 100 км она примерно в миллион раз меньше, чем у поверхности земли. Обычно за верхнюю границу атмосферы условно принимают высоту, на которой плотность атмосферных газов приближается к плотности газа, заполняющего межпланетное пространство (плотность которого около 100 частиц в кубическом сантиметре).
Данные наблюдений показывают, что атмосфера имеет слоистое строение. В зависимости от того, какое физическое свойство атмосферы (распределение температуры, состав воздуха по высотам, электрические характеристики) положено в основу деления на слои, имеется ряд схем строения атмосферы.
Наиболее распространенной схемой строения атмосферы является схема, в основу которой положено распределение температуры по вертикали. Согласно этой схеме атмосфера делится на пять основных сфер, или слоев: тропосферу, стратосферу, мезосферу, термосферу и экзосферу (рис 101).


Рис. 101. Основные слои атмосферы и их средние высоты  в умеренных широтах.

Все эти слои не всегда имеют четкие границы, их высоты подвержены значительным колебаниям как во времени, так и с изменением географической широты.

1.1. Т р о п о с ф е р а – нижний слой атмосферы, простирающийся в умеренных широтах до высоты 10-12 км, в тропиках – до 16-18 км, в полярных областях – до 8-10 км. Этот слой представляет огромный практический интерес для авиации, так как все важнейшие явления погоды, с которыми летчику приходится иметь дело, развиваются главным образом в тропосфере. Здесь происходит конденсация и сублимация водяного пара, образование облаков и туманов, выпадение осадков, развитие грозовых явлений, обледенение самолетов и т.д.    
Наиболее существенной особенностью тропосферы является понижение температуры с подъемом на высоту, которое в среднем составляет 6,50 на 1 км высоты. В ней сосредоточена основная масса атмосферы – от 75 % в умеренных и высоких широтах и до 90 % в низких. Тропосфера разделяется на три основных слоя.
Нижний, или пограничный слой – слой трения, простирается до высоты 1-1,5 км. В этом слое наиболее резко сказывается тепловое и механическое влияние подстилающей поверхности земли, образуются облака нижнего яруса и туман. Летом в умеренных широтах температура в этом слое положительная, зимой чаще всего отрицательная.
В нижнем слое выделяется приземный слой (до высоты 200 м), в котором наиболее резко изменяются с высотой такие метеорологические элементы, как температура, скорость ветра и влажность воздуха. Условия погоды в нижнем слое тропосферы имеют большое значение для полетов на ма-лых высотах а также для взлета и посадки, так как высота облаков и видимость, определяющие степень сложности метеоусловий, испытывают резкие колебания как в течение коротких промежутков времени, так и на небольших расстояниях.
Средний слой располагается над слоем трения и простирается до высоты 6-7 км. Местные осо-бенности земной поверхности в этом слое проявляются слабее. В умеренных широтах в теплое время года нулевая изотерма (линия, соединяющая точки с одинаковым значением температуры) чаще всего располагается внутри этого слоя, поэтому облака имеют смешанную структуру, т.е. состоят из капелек воды и ледяных кристаллов.
Верхний слой располагается над средним слоем и простирается до тропопаузы. Возмущающее влияние подстилающей поверхности земли в нем сказывается еще меньше. Температура этого слоя в течение всего года отрицательная и наиболее низкая из всех слоев тропосферы. В этом слое рас-полагаются облака верхнего яруса и вершины мощных кучево-дождевых облаков.
Между тропосферой и стратосферой располагается переходный слой, называемый тропопау-зой. Толщина этого слоя колеблется от нескольких сотен метров до 1-2 км, а средняя температура – от минус 40-600 в умеренных и высоких широтах и  до минус 70-800 в тропиках.

1.2. С т р а т о с ф е р а располагается над тропопаузой и простирается примерно до высоты 50 км. В ее нижнем слое (до 20-25 км) температура чаще всего мало изменяется с высотой и близка к температуре тропопаузы.
В верхнем слое температура постепенно повышается и на высоте 50 км достигает среднего значения – 00 С (с возможным отклонением  ± 200 С). над стратосферой и простирается до высоты 80-85 км. По аналогии с тропопаузой переходный слой между стратосферой и мезосферой называется стратопаузой. В мезосфере температура с высотой понижается (примерно на 3,50 при подъеме на 1 км) и достигает на верхней границе – 900 С.
На границе между мезосферой и термосферой, которая называется мезопаузой, в ясные летние ночи иногда наблюдаются очень тонкие, так называемые серебристые облака.

1.3. М е з о с ф е р а располагается над стратосферой и простирается до высоты 80-85 км. По аналогии с тропопаузой переходный слой между стратосферой и мезосферой называется стратопаузой. В мезосфере температура с высотой понижается (примерно на 3,50 при подъеме на 1 км) и достигает на верхней границе – 900 С.
На границе между мезосферой и термосферой, которая называется мезопаузой, в ясные летние ночи иногда наблюдаются очень тонкие, так называемые серебристые облака.

1.4. Т е р м о с ф е р а располагается над мезосферой и простирается до высоты 800 км. Для этого слоя характерно быстрое повышение температуры с высотой; от минус 900 С на высоте 85 км она достигает нескольких сотен и даже тысяч градусов на высоте 150 км и выше. Ввиду большого содержания электрически заряженных частиц – ионов термосферу называют также ионосферой.

1.5. Э к з о с ф е р а – слой атмосферы, располагающийся над термосферой. Частицы газов здесь настолько разрежены и при наблюдаемых там высоких температурах обладают столь большими скоростями, что часть из них (главным образом гелий и водород), преодолевая силу земного притяжения, уходит в межпланетное пространство.
По распределению температуры атмосферу можно распределить на три теплых и два холодных слоя. Теплые слои располагаются у поверхности земли, на высоте 45-55 км и выше 85 км, а холодные вблизи тропопаузы и на высоте 80-85 км.
В связи с развитием космической техники атмосферу принято делить на две части: нижний, или плотный, слой до высоты 150 км и околоземное космическое пространство – от 150 км и до высоты 930000 км. При полете в нижнем слое космический корабль из-за значительного сопротивления воздуха не может совершать обороты вокруг Земли без работы двигательной установки, но на высотах более 150 км он может совершать полеты вокруг Земли и без включенного двигателя.

2. Основные метеорологические элементыи их влияние на полёт

Состояние атмосферы в определенный момент времени характеризуется рядом физических величин, которые называются метеорологическими элементами или параметрами.  К ним относятся давление, температура, плотность и влажность воздуха, направление и скорость ветра, количество, форма и высота облаков, осадки, видимость и др.
При определенных физических процессах в атмосфере возникают атмосферные явления, к которым относятся гроза, туман, метель, осадки, гололед и др.
Совокупность метеорологических элементов и явлений, наблюдаемых в какой-либо момент или промежуток времени, называется п о г о д о й.
В отличие от погоды климатом принято называть статически многолетний режим погоды, присущий какой-либо местности, складывающийся под влиянием географических условий данной местности, циркуляции атмосферы, притока солнечной энергии, излучения земли и атмосферы.
Рассмотрим некоторые метеорологические элементы.

2.1. Температура воздуха
Температура воздуха является одной из важных характеристик физического состояния атмосферы.
При измерении температуры воздуха используются различные шкалы. В СНГ и большинстве стран мира применяется стоградусная шкала (Шкала Цельсия – 0 С), в которой за ноль температуры принята температура таяния льда, а за +1000  - температура кипения воды при нормальном давлении.
В ряде стран (в США, Англии, Канаде) употребляется шкала Фаренгейта (F), в которой точке таяния льда соответствует +320, а точке кипения воды - +2120. Переход от одной шкалы к другой осуществляется по формулам:
t0 C = 5/9 (t0 F - 32);
t0 F = 9/5 (t0 C + 32).
В теоретической метеорологии, аэродинамике и других научных дисциплинах обычно применяется абсолютная шкала температуры (Т), предложенная Кельвиным (К). Температуры по шкале Кельвина и шкале Цельсия связаны соотношением:
Т = 273,15 + t, где величина 273,15 называется абсолютным нулем температуры, а t – температура по стоградусной шкале Цельсия. Один градус по стоградусной шкале равен одному градусу по абсолютной шкале (10 С = 10 К).
Температура воздуха зависит от количества тепла, поступающего на данной географической широте от Солнца, от характера подстилающей поверхности и связанной с этими факторами циркуляции атмосферы. Под влиянием этих причин температура испытывает периодические (суточные и годовые) и непериодические колебания. Последние связаны с перемещениями холодного воздуха на теплую подстилающую поверхность или наоборот.
Энергия (тепло) поступает к нам от солнца в форме излучения. В отсутствии облаков наша атмосфера практически прозрачна для этого излучения, и лишь небольшая часть его поглощается в воздухе. В результате солнечные лучи достигают земли, которая, в силу своих свойств, поглощает большую или меньшую часть этого излучения, что приводит к повышению ее температуры. Наиболее нагретые участки земной поверхности посредством теплопроводности нагревают непосред-ственно прилегающий к ним воздух. Плотность этого воздуха уменьшается, и он стремится под-няться вверх. На его место будет приходить более холодный воздух, и это приводит к возникновению конвекционных потоков.
Конвекция – основной механизм теплообмена в нижних слоях атмосферы. В течение суток минимум температуры имеет место чуть позже восхода солнца, а максимум в середине второй половины дня. При этом могут иметь место отклонения от этих регулярных колебаний, связанные с перемещениями облачных массивов, изменяющими условия солнечного освещения, а также при перемене погоды.
Вследствие этого и ряда других, менее значительных, причин температура воздуха в тропосфере понижается в среднем на 0,650 при подъеме на 100 м.
На практике убывание температуры с высотой происходит неравномерно. Иногда могут встретиться слои воздуха, температура в которых может оставаться постоянной (изотермический слой) или возрастать (инверсионный слой). Эти слои блокируют конвекционные потоки.
Величина, характеризующая изменение температуры по высоте или горизонтали, называется вертикальным или горизонтальным температурным градиентом.



Рис. 102. Слои инверсий и изотермий.
.
Вертикальный градиент температуры, как правило, рассчитывается по нормали к изотермам на 100 м высоты, а горизонтальный температурный градиент – по нормали к изотермам на расстоянии 100 км.

2.1.1. Адиабатические процессы. Устойчивость и неустойчивость окружающего воздуха
Воздух является плохим проводником тепла. Поэтому достаточно большой объем воздуха, обладающий одной температурой и перемещающийся в атмосфере с другой температурой стремится сохранить свои собственные характеристики, не отдавая и не получая тепла от окружающей среды.
Когда частица воздуха поднимается, ее давление уменьшается, а объем возрастает. Она испытывает   р а з р я ж е н и е,   и это разряжение понижает ее температуру. И наоборот, когда частица воздуха опускается, она нагревается из-за сжатия.
Эти процессы протекают без теплообмена с окружающей средой и называются   а д и а б а т и ч е с к и м и   процессами. Если воздух ненасыщен (вне облаков), поднятие частицы воздуха на 100 м снижает ее температуру на 1 градус С.

У с т о й ч и в о с т ь  а т м о с ф е р ы
Представим себе слой атмосферы, в котором вертикальное убывание температуры происходит медленнее, чем на 1 градус С каждые 100 м, например: 160 С на земле и 130 С на высоте 500 м. Предположим, что нам удалось сообщить частице воздуха, взятой у поверхности, энергию, достаточную для того, чтобы перенести ее на высоту 500 м. В результате адиабатического расширения ее температура окажется равной 110 С, что на 20 С холоднее окружающего воздуха, т.е., эта частица окажется более плотной. Поэтому в таких условиях она самопроизвольно вернется на свой исходный уровень. Такой слой атмосферы называется   у с т о й ч и в ы м.
В таком случае частицы, случайно поднявшиеся вверх, оказываются холоднее окружающего воздуха и возвращаются на свой исходный уровень. В таких слоях атмосферы не могут развиваться конвективные процессы. Частными случаями таких слоев являются изотермические и инверсионные слои, которые очень устойчивы.

Н е у с т о й ч и в о с т ь  а т м о с ф е р ы
Теперь предположим, что в ненасыщенном слое атмосферы вертикальное убывание темпера-туры происходит быстрее, чем 10 С на 100 м. Например, 160 С на земле и 90 С на высоте 500 м. (на высоте 300 м t = 120 С). Частица воздуха, стартующая от земли и поднявшаяся до 300 м, будет в результате адиабатического расширения иметь температуру 130 С, то есть на 10 С больше температуры окружающей среды и, следовательно, окажется легче последней. Поэтому она будет продолжать свой подъем. Такой атмосферный слой называется   н е у с т о й ч и в ы м.
В таком слое частицы, случайно переместившиеся вверх, оказываются теплее окружающего воздуха, и их восходящее движение продолжается.
Атмосфера состоит из последовательности   н е у с т о й ч и в ы х  и    у с т о й ч и в ы х   слоев воздуха. Последние блокируют конвекционные движения.

2.1.2  Конвекция
В атмосфере редко встречаются ненасыщенные слои в неустойчивом состоянии. Максимальное убывание температуры, которое обычно встречается в атмосферных слоях, где происходит конвенция, равно адиабатическому (10 С на 100 м).
В данное время суток мы можем определить среднюю температуру вблизи земли (например, 200 С). Однако на некоторых участках, более благоприятных для нагревания, температура может оказаться выше средней (например, 220 С). Именно на таких участках зарождаются конвекционные потоки. Воздух, стартующий у земли с температурой 220 С, будет подниматься в конвективном слое (где температура также меняется на 10 С при подъеме на 100 м), сохраняя разницу 20 С с окружающим воздухом, пока не встретится блокирующий (например, инверсионный) слой (рис. 103).



Рис. 103. Возникновение конвенционных потоков.
 
В облаках содержащийся в атмосфере водяной пар превращается в капельки воды. Однако конденсация – это процесс, в ы с в о б о ж д а ю щ и й  т е п л о. Следствием этого выделения тепла будет замедление охлаждения поднимающихся частиц. Поэтому в облаке (насыщенная атмосфера) поднимающийся воздух уже не охлаждается на 10 С каждые 100 м – скорость охлаждения становится порядка 0,40 С на 100 м.
Этим объясняется то, что во многих случаях восходящий поток усиливается в облаках, поскольку там часто встречаются условия неустойчивости.

К о н в е к ц и я – явление, важное для пилота СЛА с двух точек зрения. Иногда можно использовать создаваемые ею потоки. Однако эти явления необходимо избегать, когда они становятся слишком сильными или пилот недостаточно подготовлен к полетам в этих условиях.

Н о ч н а я   и н в е р с и я.
Ночью земля теряет тепло путем излучения. Последнее не компенсируется излучением солнца. Это приводит к охлаждению поверхности земли. Это охлаждение путем теплопроводности переда-ется самым низким слоям атмосферы, в то время как более высокие слои охлаждаются слабее. Ми-нимум температуры часто достигается чуть позже восхода солнца. В этот момент при подъеме от земли температура увеличивается на протяжении максимум нескольких сотен метров, а затем убывает, как обычно. Итак, за ночь вблизи земли создается инверсия температуры – очень устойчивый слой, в котором невозможны конвекционные потоки.

Р а з в и т и е   к о н в е к ц и и.
После минимума температуры почва начинает нагреваться, причем обычно это происходит очень неравномерно. На наиболее нагретых участках появляются небольшие конвекционные потоки, перераспределяющие тепло, в том слое атмосферы, где они возникают. Эти восходящие атмосферные потоки, однако, нельзя использовать для СЛА, так как они слишком слабы и слишком ограничены.
По мере увеличения температуры у земли этот слой становится все более толстым, пока ночная инверсия не исчезнет полностью. Тогда конвекция достигает значительно менее устойчивых зон, что приводит к резкому возрастанию толщины конвекционного слоя. Она достигает макси-мального развития в момент, когда температура максимальна (в середине второй половины дня). По высоте она ограничивается устойчивыми слоями атмосферы – инверсионными или изотермиче-скими.
Поскольку восходящие частицы воздуха охлаждаются на 10 С каждые 100 м, при достаточной влажности воздуха может быть достигнута стадия конденсации, и в этом случае на вершине восходящих потоков образуются так называемые кучевые облака. Если же уровень конденсации не достигается, восходящие потоки носят название чисто термических (в случае недостаточно влажной атмосферы или недостаточного вертикального развития конвекции).

О к о н ч а н и е   к о н в е к ц и и.
Когда солнце закатывается, температура у земли медленно уменьшается и явление конвекции начинает ослабевать. Термические потоки становятся все более слабыми и все более удаленными друг от друга. Кучевые облака становятся все более плоскими и имеют тенденцию к исчезновению, уступая иногда место кучево-слоистым облакам окончания конвекции (рис. 104).


Рис. 104. Стадии развития конвекции.

Ф о р м а   и   с и л а   в о с х о д я щ и х   п о т о к о в
Если земля передает прилегающему к ней воздуху большое количество тепла и если ветер слабый (но не равен 0), восходящий поток создается почти непрерывным образом. Он является регулярным и его использование будет облегчено.
Если количество тепла, передаваемое воздуху со стороны земли, будет меньше, восходящий поток может стать прерывистым – в виде термических пузырьков, находящихся на большем или меньшем расстоянии друг от друга. Это то, что обычно происходит в начале и в конце конвекции.
Если ветра нет совсем, тепло от земли очень плохо передается нижним слоям атмосферы, потому что воздух очень плохо проводит тепло.
При этом наблюдается характерное явление – с в е р х а д и а б а т и ч н о с т ь, которое проявляется в появлении прерывистых неупорядоченных восходящих потоков в форме пузырьков и которое появляется обычно поздним утром.
Восходящие потоки, встречающиеся в наших широтах, дают планерам восходящую скорость порядка 2 м/с, причем максимальные наблюдаемые значения составляют около 7-8 м/с.

П р и з н а к и  о б н а р у ж е н и я  в о с х о д я щ и х  п о т о к о в
Наблюдение за различными признаками, указывающими на присутствие восходящих потоков, облегчает пилотирование сверхлегким летательным аппаратом.
Птицы – хищники и ласточки охотно летают в восходящих потоках.
В день, когда имеются только термические потоки – ищите на земле места, где они могут начинаться. Это зоны контрастов – там, где есть четко выраженные различия температуры: деревня среди полей, кромка леса, скала, окруженная растительностью и т.д.
В вершине термических потоков довольно часто имеются белесые образования, напоминающие тонкие слои тумана, которые особенно хорошо видны против света. Самым явным признаком наличия восходящих потоков являются кучевые облака. Нижеследующие описания, а также наблюдательность и тренировка помогут пилоту СЛА избежать связанных с этим неприятностей в пилотировании СЛА.

Э в о л ю ц и я   к у ч е в ы х   о б л а к о в
Кучевое облако рождается, живет и умирает – его жизнь связана с жизнью питающего его восходящего потока. Поэтому необходимо собрать достаточно наблюдений, чтобы отличить облако, которое продолжает подпитываться восходящим потоком, от облаков, которые уже не подпитываются. Формы 1, 2, 3 (рис. 105) соответствуют началу жизни облака, когда оно продолжает подпитываться.



Рис. 105. Эволюция кучевых облаков.

Под кучевыми облаками таких форм встречаются наилучшие восходящие потоки. Часто «взрослое» облако имеет треугольную форму, вершиной вверх. Нижняя часть является плоской и ровной.
Облако, подпитка которого прекратилась, принимает чаще всего треугольную форму вершиной вниз, форма 4 (рис. 105), с расплывчатой нижней частью.
Продолжительность жизни кучевого облака может меняться от нескольких часов до нескольких минут. Восходящий поток, как правило, находится под наиболее темной частью облака. Она соответствует его максимальной толщине.
Но прежде чем направиться к кучевому облаку, с целью использования восходящих потоков, необходимо пронаблюдать, формируется оно или рассасывается, и в последнем случае предпочтительно направиться к другому кучевому облаку, находящемуся в стадии формирования.
Положение восходящего потока относительно облака может быть различным. Если облако малого размера, то восходящий поток находится прямо под ним.
У облака средней протяженности восходящий поток находится под наиболее толстой частью, соответствующей самой темной части облака.
Если облако большое и имеет несколько протуберанцев, то под такими облаками часто имеются несколько восходящих потоков различной интенсивности. Пилоты отмечают, что благоприятная зона часто расположена с солнечной стороны облака.

В л и я н и е   в е т р а   н а   в о с х о д я щ и е   п о т о к и
Ветер перемещает восходящие потоки. Если он постоянен по направлению, а скорость его растет с высотой, восходящий поток не разрывается, и его использование облегчится. Однако, если он не регулярен или слишком силен, восходящие потоки разрываются и становятся почти непригодными для использования.
Под действием ветра кучевые облака могут быть деформированы, а их верхушки – смещены ветром. При этом восходящий поток будет находиться с наветренной части облака и именно под ней следует его искать.
При определенных условиях кучевые облака выстраиваются в полосы, параллельные направлению ветра. Такая структура облегчает проведение полета, так как по её оси имеются очень близко расположенные восходящие потоки.

М е р ы  б е з о п а с н о с т и  при использовании термических потоков.
Часто использование восходящих потоков термической природы сопряжено с пилотажем в услови-ях сильной турбулентности. Оно требует большого опыта пилота и хорошего состояния летательного аппарата ввиду тех нагрузок, которым подвергается аппарат.
Правила запрещают полет СЛА внутри облаков.
В облаках невозможно контролировать положение летательного аппарата ввиду отсутствия визуальных ориентиров.
Пилот, как правило, теряет пространственную ориентировку и выходит из облака в непривычном положении (с большим креном, пикировании, в перевернутом положении).
В дни сильной неустойчивости термическая конвенция является причиной появления гроз, с которыми связаны многие опасные явления (ураганные порывы ветра, сильная турбулентность, обильные осадки, плохая видимость).
Если есть опасность грозы, необходимо срочно произвести посадку на аэродроме или подобранную с воздуха площадку.

2.2. Турбулентность как фактор лётной эксплуатации сверхлёгких летательных аппаратов

2.2.1. Атмосферная турбулентность и болтанка воздушных судов
Атмосфера чрезвычайно подвижная среда, в которой происходят различные по масштабу, направлению и скорости передвижения воздушных масс, чаще всего носящие неупорядоченный, т.е. турбулентный характер.

Т у р б у л е н т н о с т ь   - это состояние атмосферы, характеризуемое образованием вихрей разных размеров с неупорядоченным горизонтальным и вертикальным движением воздуха. Зародившись в основном потоке, вихри отрываются от него, некоторое время движутся самостоятельно, а затем распадаются и смешиваются с окружающей средой.
Из-за неупорядоченности турбулентное движение невозможно точно представить во всех деталях как функцию времени и пространства. Достаточно точно турбулентное движение можно описать с помощью законов теории вероятности, спектрального анализа с указанием количествен-ных характеристик.
В целом турбулентность в атмосфере играет положительную роль, так как способствует обмену теплом, водяным паром, количеством движения, различными примесями между слоями воздуха.
С другой стороны, формирование облачности, ее эволюция, микрофизическая структура во многом определяется характером и степенью турбулентности атмосферы.
С ней связаны и такие явления погоды, как осадки, туманы, порывистые ветры, пыльные бури и т.д., затрудняющие полеты воздушных судов.

2.2.2. Болтанка воздушных судов
Полет в турбулентной атмосфере сопровождается болтанкой – появлением знакопеременных ускорений, линейных и угловых колебаний относительно центра тяжести.
При длительном воздействии это нарушает комфорт пассажиров, приводит к повышенной утомляемости экипажа. Интенсивная турбулентность может быть причиной потери управляемости, повреждения и разрушения конструкции воздушного судна, значительного ухудшения его устойчивости.
Попадая в интенсивный восходящий поток воздуха воздушное судно испытывает бросок вверх и переходит в пикирование. Сильный нисходящий поток воздуха бросает самолет вниз, при этом воздушное судно может выйти на большие углы атаки с последующим сваливанием на крыло или на нос.

2.2.3. Оценка интенсивности болтанки
Интенсивность болтанки испытываемой воздушным судном при полете в турбулентной атмосфере, принято оценивать значением перегрузки или ее приращением.
Перегрузкой называется отношение суммы всех сил, действующих на воздушное судно, к его полетному весу и определяется соотношением
                  (1)
где n – перегрузка;
Y – подъемная сила;
G – полетный вес воздушного судна (ВС).
При полете в турбулентной атмосфере равновесие сил нарушается. В зависимости от направления вертикального потока подъемная сила может быть больше или меньше полетного веса ВС, следовательно, перегрузка больше или меньше единицы.
Величина изменения перегрузки называется приращением и равна
Δn = n – 1. Чтобы выяснить физический смысл n предположим, что ВС, находящееся в горизонтальном полете, попало в восходящий поток. Под его действием подъемная сила увеличилась на -Y, ВС получает ускорение равное:
                 (2)
Перегрузка увеличится на ΔY/G.
Тогда выражение (1) можно записать так:
         (3)

Таким образом, приращение перегрузки есть ускорение, которое испытывает ВС в турбулентной атмосфере выраженное в долях ускорения свободного падения g.
Болтанку, вызываемую атмосферной турбулентностью в зависимости от интенсивности делят на слабую, умеренную и сильную.
Для слабой болтанки характерны частые толчки, покачивание и изменение высоты полета.
Для умеренной – частый резкий крен ВС, изменение курса и отдельные броски.
При сильной болтанке наблюдаются исключительно резкие броски ВС, отклонения по высоте и курсу, ухудшаются управление ВС, устойчивость, искажаются показания некоторых пилотажных приборов, возникают опасные для прочности воздушных судов режимы полета.
Опасной для полетов ВС считается умеренная и сильная болтанка.
В зависимости от этапа полета величина  n, определяющая интенсивность болтанки, различна (табл. 4.1.)                           
                                                                                                          
Таблица 4.1. Шкала оценки интенсивности болтанки.
 

Это объясняется тем, что в режиме снижения и набора высоты равенство Y = G не выполняется, т.е. ВС уже испытывает какую-то перегрузку, поэтому на этих этапах полета значительно меньшее значение  n, вызванное турбулентностью, создает более опасные режимы, чем в горизонталь-ном полете. Отсюда следует, что понятия турбулентность атмосферы и «болтанка» не однозначны.
Турбулентность – состояние атмосферы, а реакция летательного аппарата на нее – болтанка.
Одна и та же зона турбулентности может вызвать болтанку разной интенсивности в зависимости от типа ВС, этапа и скорости полета.

2.2.4. Условия возникновения и пространственно-временные характеристики турбулентности
Турбулентность в атмосфере образуется под воздействием многих факторов. Неравномерный нагрев земной поверхности, сверхадиабатические градиенты температуры воздуха в атмосфере приводят к развитию неупорядоченной или упорядоченной конвекции, которая и обуславливает так называемую термическую турбулентность. При развитии неупорядоченной конвекции турбулентность наблюдается в нижней половине тропосферы (до 3-4 км), при наличии упорядоченной – во всей толще тропосферы. Термическая турбулентность имеет хорошо выраженный суточный ход, наблюдается чаще всего в летнее время года в дневные часы.
Неоднородность в поле ветра (значительные изменения скорости или направления) способствуют развитию динамической турбулентности, которая, как правило, связана со струйными течениями. Турбулентность может возникать в результате трения воздушного потока о подстилающую поверхность. При этом высота распространения и интенсивность зависят от степени шероховатости последней. В равнинной и холмистой местности турбулентность наблюдается в нижнем слое тропосферы (1000-1500 м), в горной – значительно выше и может захватить всю тропосферу.
В реальных условиях указанные факторы могут действовать одновременно, усиливая или ослабляя турбулизацию воздуха.
Повторяемость турбулентных зон в пространстве, их размеры, интенсивность зависят от характера подстилающей поверхности, широты места, синоптических процессов. Чаще всего турбулентность наблюдается в нижнем (0-2 км) слое тропосферы, где больше всего сказывается влияние подстилающей поверхности на воздушный поток и благоприятные условия для развития термиче-ской конвекции.
В средней тропосфере повторяемость турбулентности уменьшается, а в верхней снова увеличивается, достигая максимума на высоте 8-10 км, что объясняется большой повторяемостью здесь струйных течений, т.е. турбулентность в верхней тропосфере главным образом динамического происхождения.
Турбулентные зоны имеют четко выраженные границы.
В тропосфере их средняя толщина составляет 400-800 м. Горизонтальная протяженность зон гораздо больше их толщины (в тропосфере 200-300 км).
По форме зоны турбулентности напоминают вытянутые плоские блины. Зоны турбулентности могут быть сплошными и прерывистыми, т.е. турбулентные участки чередуются с относительно спокойными. Чаще всего в атмосфере наблюдается слабая и умеренная турбулентность.
Продолжительность существования турбулентных зон меняется в больших пределах. Вероятность сохранения турбулентности в течение 6 час не превышает 50-60 %.
По условиям образования различают турбулентность, связанную с облаками, орографическую и при ясном небе.
Турбулентность, связанная с процессами облакообразования, имеет самую высокую повторяемость, наблюдается практически во всех облаках, но чаще всего и самой большой интенсивности в облаках вертикального развития, мощных кучевых и кучево-дождевых. Интенсивная турбулент-ность развивается не только в облаках, но и в около облачном пространстве на расстоянии 200-500 м от верхней границы облака и на удалении 10-15 км от его боковых границ.
Орографическая турбулентность формируется в горной местности и связана с деформацией воздушного потока при обтекании хребтов и отдельных вершин с подветренной стороны. Здесь образуются так называемые горные волны, которые и способствуют развитию зон интенсивной турбулентности (рис. 106).


Рис. 106. Схема расположения зон орфографической турбулентности.

Для образования горных волн необходимы следующие условия:
  • устойчивая стратификация атмосферы;
  • направление ветра, перпендикулярное хребту или под углом не менее 600;
  • скорость ветра увеличивается с высотой и на уровне гребня хребта должна быть больше 10 м/с.
Зона интенсивной турбулентности образуется непосредственно над гребнем хребта вследствие сужения потока и увеличения градиента ветра, вытягивается в направлении ветра, располагаясь над подветренной стороной хребта в виде «флага», толщина ее может превышать высоту хребта в 3-4 раза.
Горные волны из-за чередования нисходящих и восходящих потоков могут вызвать так называемую циклическую болтанку. В нижней части волнового движения ниже гребня хребта на подветренной стороне образуются вихри и роторы, с которыми обычно связаны чрезвычайно сильные горизонтальные и вертикальные порывы воздуха. У склона хребта они как бы отрываются и, двигаясь вместе с потоком, турбулизируют воздух на удалении 20-30 км от хребта. По данным экспери-ментальных полетов, вертикальные потоки при волнах над горами высотой 500-1000 м составляют в среднем 2-3 м/с, а над высокими горными системами до 10 м/с. Особенно опасны нисходящие потоки. ВС летящее перпендикулярно хребту, попав в сильный нисходящий поток, может оказаться не способным своевременно набрать безопасную высоту полета. Характерным признаком горных волн являются высококучевые чечевицеобразные облака, появляющиеся в гребнях волн при доста-точной влажности воздуха, а в роторах – кучевые разорванные.

Р о т о р н а я (вихревая) деформация воздушного потока.
Если слой сильного ветра простирается до ограниченной высоты (не превышающей в 1,5-2 раза высоту препятствия), а затем сменяется слоем слабого ветра или ветра противоположного направления, то с подветренной стороны развивается вихревое (роторное) течение (рис. 107).


Рис. 107. Схема образования роторной деформации потока
с подветренной стороны горного препятствия.


Такое распределение ветра обычно наблюдается при наличии статически устойчивого слоя (температурной инверсии или изотермии) около уровня хребта или несколько выше устойчивой стратификации под этим слоем.
Высота зоны наиболее сильной болтанки над подветренной стороной зависит от траектории зоны большой скорости ветра с подветренной стороны. Если через горный хребет перетекает воздух более теплый (менее плотный) по отношению к воздушной массе за хребтом, то зона максимальной болтанки расположена на уровне гребня хребта. При перетекании более холодного воздуха наиболее интенсивная болтанка отмечается ниже уровня хребта, а в исключительных случаях – в непосредственной близости от поверхности Земли.
При удалении от хребта вниз по течению мощность турбулентного слоя постепенно уменьшается и интенсивность болтанки ослабевает. Для невысоких гор (до 1200 м) затухание турбулентности отмечается на расстояние 10-15 км от хребта.

Д р у г и е   виды деформации воздушного потока.
Реальная конфигурация неровностей подстилающей поверхности отмечается большим разнообразием, вследствие чего и деформация воздушного потока может иметь более сложную форму. Так, например, при обтекании изолированных холмов происходит деформация, как в вертикальной, так и в горизонтальной плоскостях.
В случае беспорядочно расположенных возвышенностей (препятствий) может произойти наложение волн, образующихся за отдельными препятствиями, друг на друга. В долинах рек, овра-гах и ущельях характер деформации потока так же может иметь свои особенности.

Турбулентность в зоне спутного следа за воздушным  судном.
После пролета большого самолета или вертолета в атмосфере несколько ниже траектории его движения в течение 1-3 мин. сохраняется узкая зона интенсивной турбулентности, вызванной возмущением потока при обтекании воздушного судна и воздушными струями от винтов и турбин. Такую зону называют спутным или вихревым следом. Под действием ветра эта зона обычно смещается по потоку. Легкомоторное ВС при попадании в зону спутного следа во время набора высоты после взлета или при выполнении захода на посадку может испытывать сильную болтанку.

2.2.5. Меры безопасности
Для определения вероятных зон болтанки используются данные радиозондирования атмосферы (вертикальные разрезы карты барической топографии и тропопаузы), по которым выявляют районы с повышенными вертикальными и горизонтальными сдвигами ветра, горизонтальными градиентами температуры.
Интенсивная болтанка возникает при вертикальных градиентах скорости ветра более 3 м/с на 100 м и горизонтальных более 6 м/с на 100 км; горизонтальных градиентах температуры более 2,50 С на 100 км. Зоны болтанки наиболее вероятны на тех высотах, где происходит изменение величи-ны вертикального сдвига ветра.
Полеты в турбулентных зонах относятся к полетам в особых условиях и должны выполняться при строгом соблюдении требований Руководства по летной эксплуатации данного типа воздушного судна.
В период предполетной подготовки и в полете экипажам необходимо уметь определять зоны повышенной турбулентности по аэросиноптическому материалу и фактической погоде и оценивать вероятность возникновения сильной болтанки.
При попадании ВС в зону сильной турбулентности командир имеет право изменить высоту полета в соответствии с требованиями наставления по производству полетов.
Для предотвращения попадания ВС в турбулентные зоны, связанные с грозовой деятельностью, полет следует выполнять на безопасном расстоянии от мощных кучевых и кучево-дождевых облаков определяемом визуально или возвратиться на аэродром вылета.

2.3. Давление и плотность воздуха
Давление и плотность наряду с температурой воздуха являются основными параметрами, характеризующими физическое состояние атмосферы.

2.3.1. Атмосферное давление – это вес столба воздуха, с поперечным сечением 1 см2, простирающегося от данной поверхности до верхней границы атмосферы.
В СНГ для нужд авиации давление измеряется в миллиметрах ртутного столба, а для службы погоды – в миллибарах (мбар). С достаточной для практики точностью можно принять, что 1 мбар соответствует 0,75 мм рт.ст.
Во многих странах давление для нужд авиации измеряется в миллибарах и шкалы барометрических высотомеров также градуированы в миллибарах.
За нормальное (стандартное) давление, называемое еще физической атмосферой условно принято давление, измеряемое весом ртутного столба высотой 760 мм и основанием 1 см2 при температуре 00 С на широте 450, где ускорение силы тяжести на уровне моря равно 980,665 см/с2. Нормальное давление (760 мм рт.ст.) в системе СГС соответствует 1013250 дин на 1 см2, или 1013, 25 мбар.
Вследствие сжимаемости воздуха атмосферное давление с высотой уменьшается, причем быстрее в нижних слоях и медленнее в более высоких.
Для характеристики изменения давления с высотой применяется барическая ступень – расстояние по вертикали в метрах, на котором давление изменяется на 1 мм или 1 мбар.
Она увеличивается с высотой. Так, вблизи поверхности земли следует подняться в среднем на 8 м, чтобы давление изменилось на 1 мм, на высоте 5 км – на 15 м, а на высоте 18 км – на 70-80 м.
Величина барической ступени зависит от давления и температуры: с увеличением давления и понижением температуры она уменьшается, а с уменьшением давления и повышением температуры – увеличивается.
Величиной, характеризующей изменение давления в горизонтальном направлении, является горизонтальный барический градиент.
Он направлен по нормали к изобаре в сторону падения давления, а его величина измеряется в миллиметрах или в миллибарах на расстоянии 100 км. Наиболее часто горизонтальный барический градиент не превышает 1 мм на 100 км.
В циклонах он направлен к центру и может достигать 4-5 мм на 100 км, а в наиболее глубоких – 7-8 мм на 100 км, в антициклонах он направлен от центра к периферии и его значения в общем меньше, чем в циклонах.
От величины горизонтального барического градиента зависит скорость ветра: чем больше барический градиент, тем сильнее ветер, и наоборот.
Атмосферное давление на земном шаре распределяется неравномерно и постоянно изменяется как во времени, так и в пространстве. Различают периодические и непериодические изменения давления. К наиболее значительным периодическим колебаниям относится суточный и годовой ход давления, обусловленный главным образом суточным и годовым ходом температуры.
Суточный ход давления наибольший у экватора, где он составляет 2-3 мм, и всего лишь несколько десятых миллиметра в высоких широтах.
Годовой ход давления зависит от физико-географических условий: он не велик в экваториальной области и увеличивается в умеренных широтах, больше над сушей и меньше над океаном. При этом более высокое давление наблюдается над более холодной подстилающей поверхностью (зимой над сушей, а летом над океанами). Наибольшие годовые колебания давления бывают внутри обширных материков.
Значительные непериодические изменения давления обусловлены перемещением барических систем, главным образом циклонов и антициклонов.

Изобарические поверхности и изобары.
Изобарической поверхностью называется поверхность, на которой давление во всех точках одинаково.
Вследствие неравномерного распределения давления воздуха в пространстве, изобарические поверхности не совпадают с уровенными поверхностями (например, с уровнем моря) и, пересекаясь с ними, образуют системы замкнутых линий, называемых изобарами.
Следовательно, изобары – это линии, соединяющие точки с одинаковым значением давления на земной поверхности. И полет на постоянной высоте по барометрическому высотомеру осуществляется вдоль соответствующей изобарической поверхности.

Б а р и ч е с к о е   п о л е
Распределение давления по территории на каком-либо уровне в атмосфере (например, на уровне моря) называется  б  а  р  и  ч е  с  к  и  м       п о л е м.
Из всего многообразия форм барического поля, представляемого некоторым количеством замкнутых изобар на картах погоды, выделяются два основных типа барических систем: области пониженного давления с циркуляцией воздуха против часовой стрелки (северное полушарие) – циклоны и области повышенного давления с циркуляцией воздуха по часовой стрелке (северное полушарие) – антициклоны.
В циклонах давление воздуха имеет наименьшую величину в центре области и повышается от центра к периферии, а в антициклонах – наоборот: давление наибольшее в центре области и уменьшается от центра к периферии.
Кроме основных типов барических систем различают еще промежуточные барические системы:  
  • л о ж б и н а – полоса пониженного давления, вытянутая в виде желоба от центра циклона и располагающаяся между двумя областями повышенного давления; 
  • г р е б е н ь (отрог) – полоса, вытянутая в виде клина от центра антициклона и располагающаяся между двумя областями пониженного давления; 
  • с е д л о в и н а – барическая область между двумя крест-накрест расположенными циклонами и антициклонами (рис. 108),
  • б а р и ч е с к о е   п л а т о - большая область, где атмосферное давление меняется очень мало.

Рис. 108. Барические системы и воздушные течения.

Совокупность барических систем называют барическим рельефом.
Так как давление воздуха непрерывно изменяется как во времени, так и в пространстве, барические системы непрерывно перемещаются, меняют свои размеры и интенсивность, возникают заново и исчезают. Средняя скорость перемещения барических систем 30-40 км/ч.  
Метеорологические условия в различных типах барических систем зависят от стадии развития барического образования, свойств воздушных масс, заполняющих данную барическую систему, степени развития атмосферных фронтов, связанных с барической областью, времени года и суток, и, наконец, от свойств подстилающей поверхности.

2.3.2. Плотность воздуха – отношение массы воздуха к объему, который он занимает, выраженное в г/м3. Она увеличивается с понижением температуры и увеличением давления, и наоборот.
Плотность воздуха зависит также от количества водяного пара в воздухе. Плотность водяного пара меньше плотности сухого воздуха, и поэтому влажный воздух при том же давлении будет иметь меньшую плотность, чем сухой. Так, при давлении 750 мм рт.ст. и температуре 200 С плотность сухого воздуха составляет 1189 г/м3, а плотность насыщенного водяного паром воздуха при тех же условиях, составляет 1178 г/м3, т.е. на 11 г/м3 меньше.
Различают весовую плотность, выраженную в г/м3 и массовую плотность, которая находится в результате деления весовой плотности на ускорение силы тяжести.
Размерность массовой плотности                  г · сек24                                                                        
Относительная плотность – отношение массовой плотности на данном уровне к массовой плотности при нормальных условиях (давление 760 мм рт.ст., температура 150 С).
Плотность изменяется в течение года в зависимости от географической широты, а также от изменения температуры и давления воздуха. В тропосфере плотность в общем меньше летом и больше зимой. С высотой плотность воздуха уменьшается. Это уменьшение в основном определяется изменением атмосферного давления.
С достаточной точностью можно утверждать, что если высота увеличивается в арифметической прогрессии, то давление и плотность воздуха уменьшается в геометрической прогрессии.

2.3.3. Влияние давления на полет
Для обеспечения безопасности полетов по воздушным трассам и маршрутам вне трасс установлено эшелонированное движение самолетов.
В основу эшелонирования положен принцип полета на высоте с одинаковым давлением, т.е. вдоль изобарической поверхности.
Руководствуясь этим принципом, можно избежать столкновения самолетов в воздухе и с наземными препятствиями.
Нулевым уровнем для эшелонирования принят условный уровень с давлением 760 мм рт.ст. и температурой + 150 С.
Выдерживание эшелона в полете осуществляется по барометрическому высотомеру, градуированному по стандартной атмосфере, если давление барометрической шкалы «760» установлено против неподвижного индекса.
Абсолютная высота, т.е. высота самолета над уровнем моря, при полете на эшелоне будет непрерывно изменяться, так как одна и та же изобарическая поверхность располагается на различных высотах.
Это объясняется неравномерным распределением давления на уровне моря и отклонением средней температуры от стандартной в слое воздуха между поверхностью земли и высотой полета.
Так, например, если допустить, что в атмосфере наблюдается стандартное распределение температуры, а давление воздуха на уровне моря больше 760 мм рт.ст., то высота самолета будет выше, что и покажет барометрический высотомер.
Обратная картина будет наблюдаться, если давление на уровне моря ниже 760 мм рт.ст. Если давление на уровне моря постоянно и равно 760 мм рт.ст., а средняя температура в атмосфере выше стандартной, высота полета будет больше показанной на высотомере, если средняя температура ниже стандартной – меньше.
Это объясняется тем, что давление с высотой падает быстрее в холодном воздухе и медленнее в теплом, так как барическая ступень меньше в холодном воздухе и больше в теплом.
Для иллюстрации этого на рисунке 109 показано, что при температуре воздуха ниже стандартной барометрический высотомер завышает высоту, а при температуре выше стандартной – занижает высоту полета.


Рис. 109. Влияние распределения температуры воздуха на изменение высоты.

Данные атмосферного давления используются при посадке самолета. В случае резких изменений давления, которое в некоторых случаях (например, при быстром перемещении глубокого циклона) может понижаться или повышаться на несколько миллиметров ртутного столба в течение ча-са (это соответствует изменению высоты по барометрическому высотомеру на несколько десятков метров, так как вблизи поверхности земли изменение давления на 1 мм рт.ст. соответствует 8 м высоты), должны производиться учащенные измерения давления и передаваться экипажам, производящим посадку.

2.3.4. Влияние температуры и плотности воздуха на полет
Температура и плотность воздуха оказывают существенное влияние на летно-тактические данные летательных аппаратов, прежде всего на скороподъемность и потолок, мощность и тягу двигателя, длину разбега и пробега, показания указателя скорости, барометрического высотомера и др. При положительных отклонениях температуры воздуха от данных стандартной атмосферы, летные характеристики дельталетов и самолетов ухудшаются, а при отрицательных отклонениях – улучшаются. Поэтому распределение температуры в атмосфере должно учитываться в инженерно-штурманских расчетах при планировании полетов и перелетов.
Как известно из аэродинамики, величина лобового сопротивления и подъемной силы прямо пропорциональна плотности воздуха. Так, например, при уменьшении плотности воздуха в два раза, сила лобового сопротивления и подъемная сила также уменьшаются в два раза. (При условии, что угол атаки и скорость полета останутся неизменными).
Изменение   т е м п е р а т у р ы   оказывает влияние на расход топлива. При повышении температуры и уменьшении высоты полета расход топлива увеличивается. С к о р о п о д ъ е м н о с т ь   самолета зависит от располагаемой тяги двигателя, а последняя зависит от температуры воздуха. При повышении температуры на 100 от стандартной скороподъемность моторного СЛА уменьшается на 10-12 %, а время набора высоты увеличивается на 6-10 %.
Температуру воздуха необходимо учитывать для определения взлетной дистанции. При положительных отклонениях температуры воздуха на ВПП уменьшается тяга двигателя при постоянном числе оборотов и возрастает моторного СЛА.
Длина разбега еще больше возрастает, если положительные отклонения температуры сочетаются с низким давлением воздуха (ниже 760 мм рт.ст.). Это особенно относится к площадкам величина скорости отрыва,
располагающимся на возвышенных местах, где давление, как правило, значительно ниже стандартного.
Влияние положительных отклонений температуры на длину пробега моторного СЛА при посадке значительно слабее, чем при взлете. При повышении температуры на 100 посадочная скорость увеличивается на 2-5 %, а длина пробега в среднем на 3,5 %.

2.4. Влажность воздуха
Если содержание основных газов в воздухе довольно постоянно, то водяной пар подвержен большим колебаниям. В метеорологии применяются различные характеристики для оценки содер-жания водяного пара в воздухе.
А б с о л ю т н а я   в л а ж н о с т ь – количество водяного пара, содержащегося в 1 м3, выраженное в граммах.
У д е л ь н а я   в л а ж н о с т ь – процентное отношение фактического количества водяного пара в данном объеме воздуха к количеству водяного пара, насыщающего этот объем воздуха при той же температуре, выраженное в процентах:
 
где q – удельная влажность, а Е – максимально возможная удельная влажность при данной температуре воздуха. Если воздух не содержит водяного пара, его относительная влажность равна 0 %, а в случае полного насыщения – 100 %.
Максимальное количество водяного пара, которое может содержаться в воздухе (относительная влажность 100 %), зависит только от температуры: чем выше температура, тем больше водяного пара необходимо для насыщения, и наоборот.
Это видно из приведенной ниже таблицы.


На карты погоды вместо рассмотренных выше величин влажности воздуха наносится   т о ч к а   р о с ы – температура, при которой воздух достигает состояния насыщенности при данном содержании водяного пара и неизменном давлении.
Т о ч к а   р о с ы   равна температуре воздуха при относительной влажности 100 %.
При этих условиях происходит конденсация водяного пара и образование облаков и туманов. Чем суше воздух, тем больше разность между температурой воздуха и точкой росы. В ненасыщен-ном воздухе точка росы всегда ниже температуры воздуха.
Наиболее распространенным прибором для измерения относительной влажности воздуха является волосной гигрометр. Его устройство основано на свойстве обезжиренного человеческого волоса: изменять свою длину в зависимости от влажности воздуха. Волосным гигрометром измеряют относительную влажность как при положительных, так и при отрицательных температурах.
Кроме волосного гигрометра на метеостанциях для измерения влажности воздуха применяют психрометр. Обычно психрометр состоит из двух термометров – сухого и смоченного. Смоченный термометр отличается от сухого лишь тем, что его теплоприемник (например, резервуар с ртутью) обернут батистом, опущенным в стакан с чистой водой. Вследствие расхода тепла на испарение со смоченной поверхности термометра, его показания по сравнению с показаниями сухого термометра будут тем ниже, чем суше воздух, влажность которого измеряется. По одновременным отсчетам по-казаний сухого и смоченного термометров с помощью специальных психрометрических таблиц определяется упругость водяного пара или относительная влажность воздуха.
Содержание водяного пара в атмосфере зависит от ряда факторов, прежде всего, от температуры воздуха и условий испарения с подстилающей поверхности: водяного пара больше при высокой температуре и над океанами и меньше при низкой температуре и внутри материков.
С подъемом на высоту количество водяного пара быстро уменьшается: на высоте 1,5-2 км – в 2 раза, на высоте 5 км – в 10 раз. Основная масса водяного пара сосредоточена в нижнем слое атмосферы толщиной 10-12 км. Выше он содержится в ничтожных количествах. Если бы можно было сконденсировать весь водяной пар, находящийся в атмосфере, то он образовал бы слой воды толщиной 2,4 см, покрывающий весь земной шар.
Важнейшим свойством водяного пара является его способность переходить при определенных условиях в жидкое (воду) или непосредственно в твердое (лед) состояние. В первом случае процесс называется конденсацией, во втором – сублимацией. Наиболее часто причиной перехода водяного пара в жидкую или твердую фазу является охлаждение воздуха, содержащего водяной пар до состояния насыщения.
Влияние влажности воздуха непосредственно на аэродинамические характеристики летательных аппаратов незначительно и при расчетах обычно не учитывается.
Однако водяной пар играет исключительно важную роль в определении метеорологических условий полета в тропосфере. Наличие водяного пара в атмосфере является необходимым условием образования облаков, осадков, туманов, атмосферных явлений (грозы, метели, обледенение) и оптические явления:
  •  р а д у г а (радуга – разноцветная дуга, видимая обычно на фоне облаков в стороне, противоположной Солнцу. Явление радуги связано с отражением, преломлением и дифракцией солнеч-ных лучей в водяных каплях),
  • г а л о (гало – цветные и белые круги или столбы, возникающие вокруг Солнца и Луны в результате преломления и отражения лучей, проходящих через тонкие облака, состоящих из кристаллов льда. Чаще всего гало наблюдается в перисто-слоистых облаках),
  • в е н ц ы (венцы – цветные круги вокруг Солнца и Луны, возникающие при дифракции лучей Солнца и Луны, проходящих через тонкие облака, состоящие из кристаллов льда и мелких водяных капель. Венцы наблюдаются чаще всего в высококучевых облаках), также неразрывно связаны с наличием воды в атмосфере.
Такой важный элемент метеорологических условий, как видимость, в большинстве случаев обуславливается наличием в атмосфере мельчайших капелек воды, кристаллов льда или тех и других вместе.

2.5 Ветер
Ветер имеет большое значение для авиации, так как он оказывает влияние на взлёт и посадку летательных аппаратов, на самолётовождение и специальное применение авиации. Кроме того ветер по своей структуре турбулентен и нередко вызывает значительные перегрузки, проявляющиеся в виде болтанки летательного аппарата.
Ветром называется горизонтальное движение воздуха относительно земной поверхности. Но воздушные потоки не строго горизонтальны, так как почти всегда в этих движениях есть и вертикальные составляющие. Скорости восходящих и нисходящих потоков, в большинстве случаев, невелики и в сотни раз меньше горизонтальных. Лишь внутри кучево-дождевых облаков и в некоторых других случаях в атмосфере могут наблюдаться вертикальные скорости, достигающие нескольких десятков метров в секунду.
Для измерения ветра у поверхности земли применяются  анемометры,   а н е м о р у м б о м е т р ы   и   а н е м о р у м б ог р а ф ы.
На аэродромах чаще всего устанавливаются анеморумбометры, позволяющие в любой момент отсчитать скорость и направление ветра. Приемники ветровых приборов обычно устанавливаются на высоте 10 м, при этом не должно быть влияния на них посторонних предметов.
Для определения ветра на высотах используются специальные радиотехнические метеостанции, пеленгирующие запущенный в атмосферу радиозонд. В этом случае измеряется не только ветер, но и давление, температура и влажность воздуха.
Для измерения ветра при ясной погоде или в подоблачном слое широко применяется так называемый метод шаров-пилотов. В данном случае за движением резинового шара, наполненного водородом и поднимающегося практически с постоянной скоростью, наблюдают в теодолит. Определяя вертикальные и горизонтальные углы положения шара через определенные промежутки времени и зная для этих моментов высоту шара, можно найти скорость и направление перемещения шара, а, следовательно, и направление, и скорость ветра.
Кроме того, ветер определяется экипажами самолетов, выполняющих полеты по маршрутам.
Наблюдая за верхней границей облаков через определенные промежутки времени, можно определить направление и скорость ветра.
В е т е р – величина векторная и определяется двумя характеристиками: направлением и скоростью.
Направление ветра – азимут точки горизонта, откуда дует ветер, измеряется в градусах. Например, направление ветра 1800 означает, что ветер дует с юга, 2700 – с запада и т.д.
Аэронавигационный ветер (куда дует) по направлению отличается от метеорологического на 1800.
Скорость ветра – скорость перемещения воздуха за выбранный интервал времени. Обычно скорость ветра измеряется в метрах в секунду. Для авиационных расчетов скорость ветра выражают в километрах в час (1 м/с = 3,6 км/ч).
Чтобы перевести скорость ветра, выраженную в м/с, в км/ч, следует умножить скорость ветра в м/с на 4 и из полученной величины вычесть ее десятую часть. Разность и будет скоростью, выраженной в км/ч. Например, скорость ветра равна 12 м/с. Это составляет: 12 х 4 = 48; 48 - 4,8 = 43,2 км/ч.
Ветер не является устойчивым течением и в короткие промежутки времени, измеряемые минутами и секундами, изменяется как по скорости, так и по направлению. Эта изменчивость ветра особенно резко выражена вблизи поверхности земли и непосредственно связана с турбулентным (неуправляемым) состоянием воздушного потока. Т.е., когда воздушные частицы перемещаются по сложным, хаотическим траекториям, в результате чего происходит перемешивание между слоями движущегося воздуха.
При значительных колебаниях скорости и направления ветер называется порывистым, а при особенно сильных – шквалистым.
Движение воздуха происходит под воздействием определенных сил, которые разделяются на внешние, или массовые силы, действующие на воздух со стороны других материальных систем, и внутренние, или поверхностные, силы, возникающие в результате взаимодействия воздушных частиц, составляющих атмосферу.
К  м а с с о в ы м силам относятся сила тяжести и отклоняющая сила вращения Земли (кориолисова сила), а  к  п о в е р х н о с т н ы м – сила давления и сила трения.
Кориолисова сила и сила трения возникают и воздействуют на воздух лишь при появлении движения в атмосфере относительно поверхности земли или одних воздушных частиц относитель-ного других. Если же в какой-либо части атмосферы движение отсутствует, это означает, что в со-стоянии покоя на воздух действуют лишь две силы: сила тяжести и сила давления.
Сила тяжести является равнодействующей двух сил: силы земного тяготения, направленной к центру Земли, и центробежной силы, обусловленной вращением Земли и направленной по радиусу широтного круга.
Сила тяжести является важнейшей силой, определяющей распределение массы атмосферы по высоте.
Важной силой в атмосфере является сила барического градиента, возникающая вследствие неравномерного распределения давления воздуха в горизонтальном направлении.
Барический градиент является силой, отнесенной к единице объема. Он направлен по нормали к изобаре от высокого давления к низкому и характеризует величину убывания давления на едини-цу расстояния. Под действием силы барического градиента воздушная частица должна двигаться от более высокого давления к более низкому
 
где     ρ - плотность воздуха;

            - изменение давления на единицу расстояния.


Чем больше разность давлений на двух соседних изобарах и чем меньше расстояние между ними, тем больше величина барического градиента.
Установившееся движение воздуха в предположении, что отсутствует трение, называется градиентным ветром.
Частный случай градиентного ветра при прямолинейных параллельных изобарах называется геострофическим ветром.
Градиентный ветер при круговых изобарах называется геоциклострофическим.
В этом случае кроме силы барического градиента и отклоняющей силы вращения Земли появляется центробежная сила.
Рассмотрим равномерное круговое движение воздуха при отсутствии силы трения для циклона и антициклона.
В   ц и к л о н е   сила барического градиента G направлена от периферии к его центру и уравновешивается суммой двух сил: центробежной С и отклоняющей силой вращения Земли А. Так как ветер в Северном полушарии отклоняется влево от отклоняющей силы вращения Земли, то выше слоя трения в циклоне движение воздуха происходит по круговым изобарам против часовой стрелки (рис. 110).


Рис. 110. Действующие силы и градиентный ветер
в циклоне выше слоя трения для Северного полушария.


В   а н т и ц и к л о н е   сила барического градиента и центробежная сила направлены от его центра к периферии.
Для равномерного движения по кругу необходимо, чтобы сумма этих двух сил уравновешивалась отклоняющей силой вращения Земли, причем последняя должна быть направлена вправо от направления ветра.
Это условие выполняется выше слоя трения, и в Северном полушарии движение воздуха происходит по круговым изобарам по часовой стрелке (рис. 111).


Рис. 111. Действующие силы и градиентный ветер
в антициклоне выше слоя трения для Северного полушария.


В приземном слое, где сказывается влияние трения воздуха о земную поверхность (примерно до высоты 1000-1500 м), на движение воздуха оказывает сила трения. Она направлена в сторону, противоположную направлению движения и уменьшает как величину скорости, так и угол между направлением барического градиента и направлением ветра.
Для прямолинейных изобар сила барического градиента должна уравновешиваться силой, являющейся результирующей двух сил: отклоняющей силы вращения Земли и силы трения. При этом направление ветра отклоняется от изобар на некоторый угол, который в среднем составляет 25-350.
На величину угла между направлением ветра и изобарами оказывает влияние кроме силы трения отклоняющая сила вращения Земли, которая при прочих равных условиях увеличивается с увеличением географической широты.
Отклонение приземного ветра от направления изобар больше над сушей и меньше над морем, больше в низких широтах и уменьшается к полюсам.
В случае криволинейных изобар ветер также отклоняется в сторону низкого давления: в Северном полушарии в  ц и к л о н е ветры у земли дуют по спирали от периферии к центру против часовой стрелки, а в   а н т и ц и к л о н е – по спирали от центра к периферии по часовой стрелке (рис. 112).
В южном полушарии наоборот.


Рис. 112. Изобары и линии тока в приземном слое:
а - в циклоне; б - в антициклоне (Северное полушарие).


Скорость и направление ветра зависят от высоты над поверхностью земли, географического района, времени года и суток, а также от распределения давления.
Суточный ход скорости ветра у земли наиболее четко выражен над сушей и почти незаметен над морем. Более резко он выражен в теплую половину года и при ясной погоде, слабее в холодную и при пасмурной погоде.
В суточном ходе скорость ветра имеет два максимума (в дневное и ночное время) и два минимума (перед восходом и заходом Солнца).
Описанный выше суточный ход скорости ветра объясняется нагревом днем и охлаждением ночью земной поверхности, от которой главным образом и нагреваются или охлаждаются приземные слои воздуха. В дневное время прилегающий к поверхности земли воздух, как более теплый, поднимает-ся вверх, а расположенный выше, как более холодный, опускается вниз. Этот процесс приводит к усилению взаимодействия между нижними и верхними слоями воздуха, при этом вверх поднимаются частицы воздуха, обладающие меньшей скоростью движения, а вниз опускаются частицы воздуха, имеющие большую скорость. В результате до высоты 100-150 м днем скорость ветра оказывается больше, чем ночью, а выше этого слоя, примерно до высоты 1000-1500 м, скорость ветра днем меньше скорости ветра ночью.
С увеличением высоты вследствие уменьшения силы трения скорость ветра в среднем возрастает, и на высоте 500 м она почти вдвое больше, чем у земли. Направление ветра также меняется: в слое трения ветер поворачивает вправо, а в свободной атмосфере дует почти строго вдоль изобар. На высотах более 500 м средняя скорость ветра увеличивается медленнее и достигает максимума под тропопаузой, примерно на 1-2 км ниже ее. Здесь максимальные скорости могут достигать 100-150 м/с и более. Это объясняется увеличением горизонтальных контрастов температуры в верхней тропосфере и, следовательно, увеличение горизонтальных градиентов давления. В стратосфере скорость ветра падает, достигая минимума на высоте 18-20 км, что связано с уменьшением горизонтальных градиентов температуры в этом слое. Выше 20 км скорость ветра медленно возрас-тает и достигает 50-100 м/с в слое 60-90 км. В ионосфере на высотах 100 км и выше, по данным отдельных наблюдений, скорость ветра может достигать 200-300 м/с. Скорость ветра у поверхности земли может достигать больших значений. Например, при шквалах наблюдались скорости до 30-50м/с и более, в горах – до 100 м/с. Наибольшая зарегистрированная скорость ветра наблюдалась в тайфунах – более 100 м/с. Направление ветра определяется распределением давления по высотам. В среднем с сентября по май в Северном полушарии, в том числе на территории СНГ, до высоты 60 км преобладают западные ветры, а выше – восточные. Это объясняется тем, что в холодную половину года в стратосфере и нижней мезосфере располагается огромный циклон с центром у Северного полюса, обусловливающий западные ветры над Северным полушарием. Летом здесь устанавливается антициклон, создающий восточные ветры на высотах более 18-20 км.

2.5.3. Навигационный треугольник скоростей
Треугольник, образованный вектором  воздушной  скорости,  вектором  ветра  и  путевой  скорости,  называется  навигационным  треугольником  скоростей (рис. 113).


Рис. 113. Навигационный треугольник скоростей.

Чтобы определить скорость и направление движения летательного аппарата относительно земли, т.е. путевую скорость W, необходимо знать воздушную скорость V, направление и скорость ветра U на высоте полета.
Из навигационного треугольника скоростей (рис. 113) следует, что равнодействующая вектора воздушной скорости и вектора ветра дает направление и скорость движения самолета относительно земли – путевую скорость.
Угол сноса самолета (летательного аппарата) определяется по формуле:

где УВ – угол ветра.
В случае встречного или попутного ветра (УВ = 00 или УВ = 3600) угол сноса равен нулю. Максимальный угол сноса в градусах выражается формулой:
 
Из этой формулы следует, что угол сноса тем больше, чем больше скорость ветра и меньше воздушная скорость и наоборот. Поэтому при одной и той же скорости ветра снос меньше для летательных аппаратов, обладающих большими скоростями.
Ветер оказывает большое влияние на взлет и посадку самолета. При взлете с боковым ветром возникают силы, затрудняющие управление самолетом (летательным аппаратом). Так, например, если ветер дует справа от направления взлета, то на правой плоскости возникает дополнительная подъемная сила, а на левой она уменьшается. В результате возникает кренящий момент. Кроме того, боковой ветер создает силу, стремящуюся развернуть самолет относительно его продольной оси, а, следовательно, и в сторону от оси ВПП.
Еще большие трудности возникают при посадке с боковым ветром, так как затрудняется точное выдерживание самолета на глиссаде снижения и во время пробега. Поэтому для каждого типа летательного аппарата устанавливаются критерии максимально допустимых значений скорости ветра у земли в зависимости от его направления к взлетно-посадочной полосе.

2.5.4. Сдвиг ветра
Серьезные трудности для пилотирования летательного аппарата на глиссаде снижения, при взлете, посадке и на эшелоне могут возникнуть в случае наличия в слоях воздуха, в том числе и приземном, больших градиентов ветра, которые принято называть сдвигами ветра.
Под сдвигом ветра понимается изменение направления или скорости ветра, или того и другого вместе в горизонтальном направлении либо одного слоя атмосферы по отношению к другому по вертикали.
Различают вертикальный и горизонтальный сдвиги ветра. Вертикальный сдвиг ветра (верти-кальная составляющая градиента ветра) по высоте. Например, на высоте 200 м направление ветра 2800 и скорость ветра 18 м/с, на высоте 100 м направление 800 и скорость 8 м/с.
Горизонтальный сдвиг ветра (горизонтальная составляющая градиента ветра) – изменение направления и скорости ветра в различных точках по горизонтали на одной и той же высоте. Например, ветер на высоте 2000 м в точке А имеет направление 3200 и скорость 8 м/с, а на некото-ром удалении, в точке Б, имеет направление 2100 и скорость 20 м/с.
Возникновение сдвига ветра чаще всего наблюдается, когда вблизи поверхности земли располагается тонкий слой сильного выхоложенного воздуха, а над ним с большой скоростью перемещается теплый воздух. На границе между этими слоями (обычно это слой инверсии) и возникают сдвиги ветра и сильная турбулентность (рис. 114). Такие условия чаще всего наблюдаются ночью и утром в холодную половину года.


Рис. 114. Возникновение сдвига ветра у земли.

Сдвиг ветра возникает также и на границе двух воздушных масс, скорости и направление ветра в которых различны (рис. 115).


Рис. 115. Сдвиг ветра на границе двух воздушных масс, движущихся в разных направлениях.

Кроме того, сильные сдвиги ветра наблюдаются на периферии струйных течений и в непосредственной близости от грозовых облаков.
Возникновение сдвигов ветра чаще наблюдается на аэродромах, располагающихся в районах со сложным рельефом местности и прибрежной полосе.
При посадке в условиях встречного ветра, скорость которого резко уменьшается с высотой, будет происходить увеличение воздушной скорости и подъемной силы. В результате возникает тенденция к полету самолета выше установленной траектории, что может привести к перелету установленной точки касания на ВПП. В этом случае летчик обычно уменьшает тягу двигателя.
Горизонтальные боковые сдвиги ветра будут вызывать соответствующие изменения направ-ления движения самолета.
При взлете и посадке против ветра значительно сокращается длина разбега и пробега.
Это видно из формулы:

где L – длина разбега при встречном ветре;
L0 – длина разбега при штиле;
V – скорость отрыва;
U – скорость ветра.
Если скорость встречного ветра U = 10 м/с (36 км/ч), а скорость отрыва 60 км/ч, то

Это значит, что при данных условиях длина разбега уменьшится на 84 %.
При скорости бокового ветра 8-10 м/с взлет и посадка затрудняются.
Различают еще местные ветры – воздушные течения, которые возникают под влиянием местных физико-графических и термических условий.


2.6.  Облака
Облака – это скопления взвешенных в атмосфере капель воды, или ледяных кристаллов, или смеси тех и других, возникших в результате конденсации водяного пара.
Наличие облаков имеет важное значение для пилота СЛА. Оно дает пилоту информацию, необходимую при выполнении полета: определение положения восходящих потоков, возможный маршрут для их достижения, положение неблагоприятных зон и даже краткосрочный прогноз метеорологических явлений и последствий этих явлений для проведения полета.
В зависимости от высоты облака состоят либо из мельчайших капелек воды, либо из мелких кристаллов льда. Когда верхушка облака оказывается при отрицательных температурах, опасность возникновения осадков резко возрастает.
Облака, возникающие внутри воздушных масс, называются внутримассовыми, а облака, образующиеся на атмосферных фронтах, - фронтальными.
Облака, возникающие над горами при перетекании воздушными потоками препятствий, называются орографическими.
Важной характеристикой облачности является ее количество, т.е. степень покрытия неба облаками.
Количество облаков определяется визуально в баллах.
10 баллов означает, что небо полностью закрыто облаками, 5 баллов – небо закрыто облаками на 50 % и т.д.
На метеорологических станциях определяется общее количество облаков, т.е. количество облаков всех ярусов и отдельно количество облаков нижнего яруса.
В зависимости от физических процессов, развивающихся в атмосфере, образуются различные по внешнему виду и внутреннему строению облака. Из всего многообразия выделяют три основных формы облаков:
  • к у ч е в о о б р а з н ы е   облака, представляющие, как правило, отдельные облачные массы, развивающиеся в вертикальном направлении и растекающиеся по горизонтали во время их разрушения.;
  • в о л н и с т о о б р а з н ы е   облака, распространяющиеся в основном в горизонтальном направлении, они представляют собой отдельные пластины, волокна, барашки, чешуйки или хлопья либо сплошной облачный слой, нижняя поверхность которого имеет волнистое строение;
  • с л о и с т о о б р а з н ы е   облака, имеющие вид сплошного, сравнительно ровного и одно-образного облачного покрова.
Существует следующая классификация облаков:
  • морфологическая, в которой облака определяют по внешнему виду;
  • генетическая, в которой облака определяют по происхождению, т.е. по характеру про-цесса и причинам их образования;
  • по микрофизическому строению, т.е. по фазовому состоянию, виду  и размеру облачных частиц, а также по их распределению внутри облака.
В практике метеорологических наблюдений принята морфологическая классификация облаков, позволяющая по их внешнему виду (форме), количеству и высоте судить о стадии их развития и свойствах, а также общем характере атмосферных процессов, при которых такие же облака наблюдаются.
Согласно этой классификации различают 10 основных форм (родов) облаков, которые в свою очередь, разделяются на ряд видов и разновидностей.
В зависимости от высоты нижней границы облаков их относят к одному из трех ярусов – верхнему, среднему или нижнему.
Отдельно выделяют облака вертикального развития, основание которых обычно находится в нижнем ярусе, а вершина может достигать среднего и даже верхнего яруса.

2.6.1. Облака верхнего яруса
Облака верхнего яруса расположены на высотах более 6000 м, т.е. они занимают верхнюю половину тропосферы и состоят из мелких ледяных кристаллов размером 0,1-0,01 мм.
В эту категорию входят:
  • перистые облака (Сirrus, Сi). Это отдельные облака в форме тонких белых волокон. Они могут перемещаться в виде тонких слоев или узких полос.
  • перисто-кучевые облака (Сirrocumulus, Cc). Это тонкие пласты или слои белых облаков, не имеющих собственной тени.
  • перисто-слоистые облака (Сirrostratus, Cc). Они имеют вид довольно однородной прозрачной белесой пелены.
В большинстве случаев перистые и перисто-кучевые облака имеют небольшую толщину (всего несколько сотен метров), сквозь них хорошо видны Солнце, Луна, звезды.
Перисто-слоистые облака имеют значительно большую мощность по вертикали и нередко за-нимают всю верхнюю часть тропосферы.
Сквозь такие облака также хорошо видны Солнце, луна и крупные звезды. Вокруг Солнца и Луны в перисто-слоистых облаках часто образуются гало.

2.6.2. Облака среднего яруса
Облака среднего яруса это высококучевые и высокослоистые облака, располагаются в средней части тропосферы на высоте от 2000 до 6000 м.
Высококучевые облака (Altocumulus, Ac). Это облака в виде белых или серых пластов, слоев, барашков, имеющие собственную тень. Они состоят из мельчайших капелек воды, как при положительных, так и при отрицательных температурах и не дают осадков.
Высокослоистые облака (Altostratus, As). Они имеют вид облачной сероватой пелены, обычно однородной, сквозь которую видны контуры Солнца. Высокослоистые облака состоят из капелек воды или из смеси капель и кристаллов льда.
В холодную половину года из них иногда выпадают осадки в виде слабого снега.
Вертикальная мощность высококучевых облаков обычно не велика – несколько сотен метров, и лишь плотные высококучевые облака бывают толщиной 1-2 км.
Толщина высокослоистых облаков может достигать нескольких километров, т.е. эти облака могут занимать большую часть среднего слоя тропосферы и даже распространяться до верхних слоев тропосферы, переходя постепенно в перисто-слоистые облака.

2.6.3. Облака нижнего яруса
К облакам нижнего яруса относятся слоисто-кучевые, слоистые и слоисто-дождевые облака. Располагаются они в слое от поверхности земли до высоты 2000 м.
 
 
  • слоисто-кучевые облака (Stratocumulus, Sc) имеют ячеисто-волокнистый вид серого или белесого цвета, в которых почти всегда имеются более тол-стые, более темные участки. Они состоят из капель воды одинаковых размеров и имеют толщину от нескольких десятков до нескольких сотен метров. Они обычно не дают осадков. Лишь в переходные сезоны года и зимой из них иногда выпадает слабая морось или мелкие снежинки. Они могут возникать в результате неблагоприятного развития конвекции или развития кучевого облака в конце конвекции. Они существенно снижают осве-щенность почвы Солнцем. При их наличии восходящие потоки очень слабы или вообще отсутствуют. Высота облаков над поверхностью земли - 600-1500 м. летом и от 300 до 600 м. зимой.
  • слоистые облака (Stratus, St) имеют вид серого облачного слоя с размытой нижней границей. Слоистые облака более характерны для холодного времени года, состоят из однородных капель, однако, в них кроме капель могут быть и кристаллы льда. Толщина этих облаков колеблется от нескольких десятков до нескольких сотен метров и редко превышает 600 м. Высота их нижней границы – 100-300 м и часто они бывают ниже 100 м. Часто говорят, что слоистые облака похожи на туман, поднявшийся над землей. Летом во влажных местностях часто образуются утренние слоистые облака, которые при достаточном прогреве почвы рассасываются к концу утра.
  • слоисто-дождевые облака (Nimbostratus, Ns) наблюдаются обычно на атмосферных фронтах, имеют вид серого, часто мрачного, облачного покрова. Они состоят из разнородных элементов: нижняя часть – из капель воды, а в холодную половину года – из капель и снежинок, а верхняя – из смесей мельчайших капель и мелких кристаллов. Вертикальная мощность слоисто-дождевых облаков составляет несколько километров. По горизонтали слоисто-дождевые облака простираются на сотни километров. Из них выпадают продолжительные обложные осадки в виде дождя в теплую половину года и в виде снега – в холодную. Разновидностей эти облака не имеют.

2.6.4. Облака вертикального развития
Кучевые, мощные кучевые и кучево-дождевые характерны для теплого периода года. Основания этих облаков располагаются обычно на высотах от 300 до 2500 м, а вершины могут проникать в верхнюю тропосферу вплоть до тропопаузы. При более высоких температурах воздуха выше и нижняя граница облаков.
•    к у ч е в ы е облака (Cumulus, Cu). Это отдельные облака с хорошо очерченным контуром, развивающиеся вертикально. Те части этих облаков, которые освещены солнцем, ярко-белого цвета, а нижняя их часть обычно темная и горизонтальная. Толщина кучевых облаков может меняться в очень широких пределах – от несколь-ких десятков метров до нескольких километров.
Кучевые облака хорошей погоды состоят из капель воды и осадки из них не выпадают. Кучевые облака могут перерастать в  м о щ н ы е  к у ч е в ы е   облака с верти-кальной мощностью до 2000-5000 м, имеющих вид высоких башен.
При благоприятных условиях мощные кучевые облака развиваются в кучево-дождевые.
•     к у ч е в о - д о ж д е в о е облако (Cumulonimbus, Cb). Это плотное и мощное облако со значительной вертикальной протяженностью, имеющее вид горы или огромных башен. Его верхняя часть часто имеет форму наковальни. В нижней его части часто находятся низкие рваные облака.
Нижняя часть облака летом обычно состоит из капель воды, средняя из капель воды, снежинок и градин, а верхняя, располагающаяся в верхней тропосфере, - из кристаллов льда и небольшого количества мелких переохлажденных капель воды. При наличии мощных восходящих потоков внутри кучево-дождевого облака градины проникают и в верхнюю его часть.
Из кучево-дождевых облаков выпадают ливневые осадки, иногда очень сильные, нередко сопровождающиеся грозами, градом и шквалами, опасными для авиации.
Кучево-дождевое облако несет множество опасностей. Передняя часть его является источником очень сильной турбулентности. В ней также имеют место мощные восходящие потоки. Имеется возможность пилоту на СЛА быть втянутым в него и потерять контроль над своим аппаратом (рис. 116).



Рис. 116. Кучево-дождевое облако.

За фронтом грозы (передней части облака) часто следует зона сильных осадков. Потоки дождя или града резко снижают видимость и сопровождаются очень сильными нисходящими потоками, скорость которых может превосходить 10 м/с.
На земле приход грозового фронта сопровождается очень сильными порывами ветра, что делает невозможным безопасность посадки летательного аппарата. При грозовом положении в районе полетов, полеты производить запрещается, а летательные аппараты необходимо демонтировать, укрыть или закрепить специальными устройствами.
Гроза на расстоянии 20 км от площадки может оказаться над ней менее чем через 20 минут.
Наблюдается суточный ход количества облачности, который наиболее четко выражен для облаков нижнего яруса и облаков вертикального развития. Слоистые и слоисто-кучевые облака чаще всего образуются ночью и утром, а днем, особенно летом, могут разрушаться. Зимой, поздней осенью и в начале весны такие облака могут сохраняться в течение суток и даже несколько дней подряд. Кучевые и мощные кучевые облака над сушей образуются в утреннее и дневное время, и их максимальное количество в теплую половину года наблюдается во второй половине дня.
Облака – почти единственный метеорологический элемент, тщательное наблюдение за которым позволяет пилоту правильно оценить метеорологические условия непосред-ственно в полёте. Поэтому лётный состав должен хорошо знать формы облаков, правильно оценивать их эволюцию и возможное влияние на выполнение полёта. Например, если в процессе полёта отмечался быстрый рост по вертикали кучево-образных облаков, это указывает на наличие большой неустойчивости атмосферы и возможность возникновения осадков и грозовых явлений. Над сушей это наблюдается в дневные часы, а над морем – в ночное время. Наоборот, растекание вершин кучево-образных облаков на некоторой высоте указывает на наличие задерживающего слоя (изотермии, инверсии), препятствующе-го развитию кучево-дождевых облаков. Оценка метеоусловий в полёте значительно облегчается после тщательного их изучения в период предварительной и предполётной подготовки.

2.7.  Видимость
Под видимостью подразумевается дальность видимости, т.е. расстояние, на котором днем исчезают признаки наблюдаемого объекта определенных угловых размеров (неразличимы его очертания), а ночью становится неразличим источник света определенной интенсивности.
Различают   г о р и з о н т а л ь н у ю   и   п о л е т н у ю   видимость (определяемую в полете) (рис. 117).



Рис. 117. Определение видимости в полёте.

В метеоподразделениях измеряют визуально (по заранее выбранным дневным и ночным ориентирам) и с помощью специальных приборов только горизонтальную видимость. Полетная видимость в зависимости от угла наблюдения подразделяется на горизонтальную, наклонную, вертикальную и посадочную. При этом посадочная видимость является частным случаем наклонной видимости.
Горизонтальная полетная видимость определяется как расстояние на уровне полета до наиболее удаленных облаков и воздушных судов, а при их отсутствии оценивается по общей прозрачности атмосферы.
Наклонная и вертикальная полетная видимость определяется как расстояние до наиболее удаленного объекта по наклонной линии или до объекта по вертикали.
Посадочная видимость – расстояние от наблюдателя (летчика) до начала ВПП вдоль глиссады снижения. Она определяется экипажем совместно с руководителем посадки.
Дальность видимости зависит от угловных размеров, формы, цвета и яркости объек-та, от свойств фона, на котором рассматривается данный объект (цвета, яркости), от освещенности от свойств глаза наблюдателя, от прозрачности атмосферы.
Прозрачность атмосферы – один из основных факторов, определяющих видимость, зависит от метеорологических условий (наличия тумана, дымки, осадков, низкой облач-ности и др.).

2.7.1. Суточный ход высоты облаков и видимости
Суточный ход высоты нижней границы низких слоистых облаков и видимости зависит от суточного хода температуры и влажности воздуха (точки росы и её дефицита) и ветра. Поздней осенью и зимой (с ноября по февраль) высота нижней границы сплошного покрова слоистых облаков имеет небольшой суточный ход. Это объясняется незначительным суточным ходом температуры воздуха, точки росы и её дефицита у поверхности Земли под такими облаками.
Высота нижней границы облаков, как и температура воздуха у поверхности Земли, обычно бывает минимальной утром около времени восхода Солнца. Днём с 9 до 15 час. высота нижней границы облаков увеличивается, а затем уменьшается.
Такой суточный ход высоты нижней границы облаков согласуется с изменением вертикального градиента температуры воздуха в нижнем слое атмосферы до высоты 300 м. В среднем высота нижней границы облаков днём больше, чем утром на 25 метров над возвышенными участками рельефа местности и на 35 метров над пониженными (впадинами, долинами).
Суточный ход видимости при низкой слоистой облачности зависит от суточного хода высоты этой облачности. Указанная зависимость хорошо выражена, если высота нижней границы слоистой облачности утром не более 200 метров. Обычно при такой высоте облаков видимость составляет 2 – 4 км. По мере увеличения высоты облаков в днев-ное время видимость увеличивается до 4 – 6 км.
Вследствие поглощения и рассеяния света в атмосфере доля светового потока, доходяще-го от предмета до наблюдателя, тем меньше, чем большей толщины слой воздуха проходит световой поток, т.е. чем больше расстояние между наблюдателем и предметом, а так-же чем больше загрязнен воздух различными примесями (капельками воды, снежинками, частицами пыли).
Дальность видимости зависит от положения Солнца или Луны по отношению к наблюдателю. Так, ориентиры лучше видны, если наблюдатель находится спиной к Солнцу, и хуже, когда он смотрит на них против Солнца. Наоборот при лунном освещении ориентиры лучше видны наблюдателю, стоящему лицом к Луне, так как отраженный от них лунный свет не ослепляет наблюдателя. В темное время суток применение фар при посадке не дает положительных результатов, так как видимость ВПП и огней резко ухудшается из-за появления светового экрана, ослепляющего летчика. Целесообразна посадка при включенных посадочных огнях на ВПП и прожекторах.
В заключении отметим, что видимость и высота нижней границы облаков являются основными параметрами для установления минимумов погоды самолета, аэродрома и летчика.

2.8. Атмосферные осадки
Атмосферными осадками называются частицы воды в жидком или твердом состоянии, выпадающие из облаков на земную поверхность. Они бывают трех типов: обложные – продолжительные и выпадающие из высокослоистых и слоисто-дождевых облаков, ливневые – малой продолжительности и выпадающие из кучево-дождевых облаков, нередко сопровождающиеся грозами, моросящие – выпадающие из слоистых, слоисто-кучевых облаков и тумана.
Осадки, выпадающие из облаков атмосферных фронтов, называются ф р о н т а л ь н ы м и, а осадки, выпадающие из облаков, возникающих внутри однородных воздушных масс – в н у т р и м а с с о в ы м и.
В холодное время года над материками в умеренных широтах фронтальные осадки чаще всего бывают обложными и выпадают из слоисто-дождевых и высокослоистых облаков. В теплое время года фронтальные осадки выпадают из слоисто-дождевых и кучево-дождевых облаков, а внутримассовые – только из кучево-дождевых облаков. Моросящие осадки в основном наблюдаются в холодное время года и являются преимущественно внутримассовыми осадками.
В умеренных широтах количество осадков, выпадающих из фронтальных облаков, преобладает над количеством осадков, выпадающих из внутримассовых облаков.
Все осадки делятся на жидкие, твердые и смешанные.
Обложной дождь – дождь умеренной и почти равномерной интенсивности, выпадает в виде капель средней величины из слоисто-дождевых и высокослоистых облаков. Его продолжительность – от нескольких часов до суток и более.
Ливневой дождь – выпадает в виде крупных капель из кучево-дождевых облаков и в отличие от обложного непродолжительный (от нескольких минут до нескольких часов), имеет большую интенсивность внезапность начала и окончания.
Морось – выпадает из слоистых и слоисто-кучевых облаков в виде очень мелких капель диаметром не более 0,5 мм с очень малой скоростью падения.
Обложной снег – снег умеренной интенсивности, выпадает из слоисто-дождевых и высокослоистых облаков в виде снежинок средней величины. Его продолжительность такая же, как и обложного дождя. При обложном снеге и сильном ветре у земли возникает метель.
Ливневой снег – выпадает из кучево-дождевых облаков в виде крупных снежинок, в отличие от обложного снега характеризуется большой интенсивностью, внезапностью начала и окончания. Его продолжительность такая же, как и ливневого дождя.
Мокрый снег – это выпадающий из облаков и при наличии в нижних слоях положительной температуры тающий снег или смесь дождя и снега.
Ледяной дождь – выпадает в виде прозрачных шариков льда диаметром 1-3 мм. Он образуется в тех случаях, когда капли дождя проходят через слой воздуха с отрицательной температурой, расположенной у поверхности земли.
Снежная крупа – выпадает в виде белых зерен диаметром 2-5 мм.
Град – выпадает в виде ледяных шариков или кусочков льда неправильной формы, различной величины и неоднородных по строению. Отмечены случаи выпадения града, когда отдельные градины достигали в диаметре 30 см.
Град выпадает летом, чаще всего при очень сильном развитии кучево-дождевых об-лаков, наличии в них восходящих потоков скоростью более 15 м/с и при грозах.
Ледяной дождь, снежная крупа и град образуются вследствие намерзания капель воды на ледяных кристаллах.

3. Воздушные массы. Атмосферные фронты

3.1.  Воздушные массы
Воздушными массами принято называть большие объемы воздуха, соизмеримые по величине с материками, океанами или с их частями и сравнительно однородные по распределению в них основных метеорологических элементов в горизонтальном направлении, а изменение этих элементов с высотой имеют определенную закономерность. По высоте воздушные массы могут простираться от 1000 м до тропопаузы.
Согласно общей классификации (по общим тепловым и климатическим признакам) воздушные массы разделяются на теплые, холодные и местные. Эта классификация учитыва-ет те влияния, которые испытывают воздушные массы при движении из очага своего формирования.
К   т е п л ы м   воздушным массам относятся массы, которые движутся в более холодную среду, приносят потепление, а сами охлаждаются.
К   х о л о д н ы м   воздушным массам относятся массы, которые движутся в более теплую среду, приносят похолодание, а сами нагреваются.
К   м е с т н ы м   воздушным массам относятся воздушные массы, находящиеся в районе, в котором они формируются. Местная воздушная масса при своем движении из района может стать теплой или холодной, в зависимости от того, в какой район она смещается – в более холодный или в более теплый.
Наряду с этой классификацией существует еще так называемая географическая классификация воздушных масс, за основу которой взято географическое положение очагов их формирований. Различают а р к т и ч е с к и й,   у м е р е н н ы й,   т р о п и ч е с к и й   и  э к в а т о р и а л ь н ы й    воздух.
П о г о д а  т ё п л о й  в о з д у ш н о й  массы
Тёплые воздушные массы в Северном полушарии формируются обычно в областях обширных малоподвижных океанических антициклонов в субтропиках, а в летнее время – в южной половине Европы и бассейнах Средиземного и Чёрного морей, над Средней и Малой Азией.
При своём движении в более холодный район тёплая масса охлаждается снизу и становится устойчивой, особенно в нижнем километровом слое. В этом слое обычно об-разуется инверсия – повышение температуры с высотой. Под слоем инверсии, который является задерживающим слоем для частиц, перемещающихся по вертикали, происходит скопление водяного пара и пыли. При понижении температуры воздуха происходит кон-денсация водяного пара, в результате чего образуются дымка, туман или низкие слоистые облака, нередко сливающиеся с туманом. Толщина этих облаков обычно не превышает нескольких сотен метров, а видимость под облаками ухудшается до 1 км и менее.
Из таких облаков иногда выпадают морось или мелкие снежинки (в зависимости от температуры).
Выше облаков нижнего яруса наблюдаются хорошая видимость и ясное небо либо небольшая облачность среднего и верхнего ярусов.
В летнее время года тёплая воздушная масса (континентальный тропический и континентальный умеренный воздух) характеризуется малооблачной погодой и удовлетворительной видимостью.
П о г о д а  х о л о д н о й  в оз д у ш н о й  массы
Холодные воздушные массы летом формируются обычно в арктических областях и прилегающих к ним районах, а зимой, кроме того, в северных областях Европы, Азии и Атлантического океана. В районах формирования холодные воздушные массы обычно бывают устойчивыми (кроме морских и океанских акваторий).
При движении в более тёплый район холодная масса нагревается снизу и становится неустойчивой, особенно в тёплое полугодие над континентом.
Наличие в неустойчивой воздушной массе, богатой влагой, мощных восходящих движений обуславливает образование мощных кучевых и кучево-дождевых облаков, из которых в тёплый период года выпадают ливневые дожди, нередко сопровождающиеся грозами, а в холодный период – снег и крупа при шквалистых ветрах. Наибольшего развития облака и осадки достигают в послеполуденные часы, вечером облака растекаются, осадки прекращаются и наступает прояснение. Ночью и утром в такой воздушной массе наблюдается обычно малооблачная погода, а при достаточной влажности приземного слоя воздуха и слабом ветре образуются р а д и а ц и о н н ы е  туманы, особенно весной и осенью.
Условия погоды в холодной воздушной массе зависят от времени года и суток.
Так, летом в дневное время для холодной неустойчивой воздушной массы над континентом характерны:
  •  хорошая видимость и достаточно большая нижняя граница облаков (600 м и выше); в зоне ливневых осадков высота облаков бывает значительно меньше и видимость очень плохая (менее 1 км); верхняя граница отдельных вершин грозовых облаков может достигать тропопаузы;
  •  сильная турбулентность, вызывающая болтанку, особенно интенсивную до высоты 2 – 3 км, а в кучевообразных облаках – на всех высотах;
  •  обледенение в облаках при температуре ниже 00.

3.2. Атмосферные фронты
Если две воздушные массы с различными свойствами имеют траекторию или скорости, приводящие их к столкновению, они не смешиваются, а более холодная масса вытесняет вверх более теплую.
Поверхность, разделяющая эти две воздушные массы, называется фронтальной поверхностью, а ее след на поверхности земли – фронтом.
Фронтальная поверхность – это область, в которой резко меняется температура, давление, влажность, ветер, структура облаков, устойчивость.
Наклон фронтальной зоны, которую обычно называют фронтальной поверхностью, невелик, и в среднем тангенс угла наклона равен 1/100, т.е. измеряется долями градуса. Схематичное положение углов наклона и расположения воздушных масс показаны на рисунке 118.



Рис. 118. Расположение воздушных масс и наклоны фронтальных зон:
а - на холодном фронте, б - на тёплом фронте.

Толщина фронтальной зоны зависит от степени развития фронта. Для резко выраженного фронта она не превышает нескольких соотен метров, а на размытых фронтах может достигать нескольких километров. Следовательно, если пересекать переходную зону по горизонтали, то она окажется примерно в 100 раз больше, чем при пересечении ее по вертикали.
На приземных картах погоды фронт проводится в месте пересечения фронтальной поверхности с поверхностью земли и называется линией фронта.
В зависимости от того, какая воздушная масса сменяет другую – теплая холодную или холодная теплую, фронты разделяются на два основных типа: теплые и холодные.
В тропосфере имеются и так называемые сложные фронты, или фронты окклюзии, которые образуются при смыкании холодного и теплого фронтов.
Фронты играют исключительно важную роль в атмосферных процессах. В большинстве случаев на атмосферных фронтах происходит развитие циклонов умеренных широт. На фронтах наблюдаются наиболее сложные для авиации условия погоды. На них образуются мощные облачные системы, часто простирающиеся от поверхности земли до тропопаузы, на сотни километров в ширину и на тысячи километров вдоль фронта.
С этими облаками связаны обширные зоны осадков, наиболее сильное обледенение, грозовая деятельность и турбулентность.

3.2.1. Теплый фронт
Тёплым фронтом называется фронт, перемещающийся в сторону холодного воздуха; при этом холодный воздух отступает и замещается тёплым. Такой фронт приносит потепление. На метеорологических картах тёплый фронт изображается символом     или красной линией.
Предвестниками теплого фронта являются перистые или перисто-слоистые облака, закрывающие Солнце.
На рисунке 119 дана схема приземной карты погоды с вертикальными разрезами по линии А-Б теплого и холодного фронтов.



Рис. 119. Схема приземной карты погоды с вертикальными разрезами
по линии А-Б тёплого и холодного фронтов. 

В случае (б) мы видим мощную облачную систему, состоящую из слоисто-дождевых, высокослоистых и перисто-слоистых облаков, которые образуются вследствие подъема теплой устойчивой воздушной массы вверх по клину холодного воздуха. Вертикальная мощность такой облачности в умеренных широтах часто достигает 8000 -10000 м, а иногда 12000 м. Ширина облачной системы (перпендикулярно фронту) составляет в среднем 800-1000 км, а ширина зоны осадков перед теплым фронтом – 300-400 км. Такие условия погоды характерны для осени, зимы и ранней весны, когда теплые фронты чаще всего более резко выражены.
Когда по клину холодного воздуха поднимается неустойчивый воздух, то наряду с перечисленными формами облаков могут возникать кучево-дождевые облака и грозы (случай «в»).
Такие условия погоды на теплом фронте чаще наблюдаются летом. Условия полета через теплый фронт определяются, прежде всего, протяженностью по горизонтали и вертикали облачной системы, высотой ее нижней и верхней границ, а также распределением температуры в ней.
При полете в облаках, в которых наблюдается отрицательная температура, можно встретить обледенение разной интенсивности. Кроме того, высота облаков на теплом фронте, особенно вблизи линии пересечения фронтальной поверхности с землей, обычно не превышает 50-200 м.
Нередко перед теплым фронтом наблюдается полоса тумана шириной до 200 км. В холодную половину года туманы весьма часто возникают непосредственно за фронтом в теплой воздушной массе. В зоне осадков теплого фронта видимость плохая, особенно ес-ли эти осадки выпадают в виде снега.
В тех случаях, когда теплый фронт размыт, его облачная система обычно расслоена и не имеет значительного развития в высоту.

3.2.2.  Холодный фронт
Холодным фронтом называется фронт, перемещающийся в сторону тёплого воздуха; при этом тёплый воздух отступает и замещается холодным. Такой фронт приносит похолодание.  На метеорологических картах холодный фронт изображают символом    или синей линией.
Различают два основных типа холодных фронтов:
  • холодные фронты первого рода – медленно движущиеся или замедляющиеся фронты, которые чаще всего наблюдаются на периферии циклонов и антициклонов;
  • холодные фронты второго рода – быстро движущиеся или перемещающиеся с ускорением фронты. Эти фронты возникают во внутренних частях циклонов и неглубоких ложбин, перемещающихся с большой скоростью.
На холодных фронтах теплый воздух интенсивно вытесняется вверх вторгающимся под него холодным и, следовательно, более тяжелым воздухом.
При неустойчивом состоянии теплого воздуха и достаточном увлажнении в нем со-здаются благоприятные условия для мощных восходящих движений и образования кучево-дождевых облаков, из которых выпадают сильные ливневые осадки, сопровождающиеся летом грозами.
На рисунке 119 даны схема приземной карты погоды с холодным фронтом и вертикаль-ные разрезы холодного фронта второго рода по линии А – Б.
На рисунке 119 (случай «б») изображены облачная система и осадки для случая, когда теплый воздух, вытесняемый холодным воздухом, устойчив.
На таком холодном фронте, типичном для зимы, образуются облака слоистообразных форм и выпадают не слишком интенсивные осадки. Ширина облачной системы обычно не превышает 300-500 км. Полет через такой фронт не представляет особых трудностей. Слабую и умеренную турбулентность можно встретить лишь непосредственно у самого фронта, где теплый воздух вытесняется вверх холодным воздухом.
Если теплый воздух не устойчив или в процессе подъема становится неустойчивым, то на таком фронте можно встретить весьма сложные метеоусловия.
Особенно это типично для лета, когда образуются кучево-дождевые облака, нередко достигающие тропопаузы, из которых выпадают сильные ливни, сопровождающиеся гро-зами, градом и шквалистыми ветрами (случай «в»).
В холодную половину года вершины кучево-дождевых облаков могут достигать 5000-7000 м, из облаков выпадают интенсивные осадки в виде снежных зарядов, сопровождающиеся сильными ветрами и плохой видимостью
За холодным фронтом в холодном неустойчивом воздухе нередко образуются вторичные холодные фронты, в зоне которых также могут наблюдаться кратковременные ухудшения погоды, так называемые заряды осадков через определенные периоды времени.
В южных степных и пустынных районах в летние месяцы нередко можно наблюдать быстро движущийся  холодный фронт без облаков. Это происходит в тех случаях, когда в сухом холодном и теплом воздухе преобладают нисходящие движения.
Такой фронт характеризуется порывистыми ветрами, пыльными бурями у земли и сильной турбулентностью в нижнем 2х- километровом слое. Условия погоды на холодных фронтах первого рода сходны с условиями погоды на теплых фронтах.
 
3.2.3.  Фронты окклюзии
В умеренных широтах наблюдаются сравнительно холодные воздушные массы полярного происхождения и более теплые воздушные массы тропического происхождения. Граница, разделяющая эти воздушные массы, называется   п о л я р н ы м   ф р о н т о м.   Этот фронт не является прямолинейным. Если в каком-либо месте теплый воздух несколько выступает в сторону полюса, говорят, что имеет место изгиб полярного фронта (рис. 120). Этот объем теплого воздуха, окруженного холодным, создает у земли область пониженного давления (Н).



Рис. 120. Развитие и вертикальный разрез тёплого и холодного фронтов окклюзии.

Ветер, следуя законам циркуляции в северном полушарии, усиливает этот изгиб. В процессе своего развития этот изгиб приводит к возникновению системы двух фронтов (теплого и холодного),  которые и представляют собой возмущения полярного фронта. Такое возмущение часто перемещается с запада на восток.
 Циркуляция ветров обычно бывает следующей:
  • при приближении теплого фронта ветер дует с юга;
  • между теплым и холодным фронтами ветер дует с запада или юго-запада;
  • после прохождения холодного фронта холодный воздух спускается с севера или северо-запада.
Однако холодный воздух перемещается быстрее, чем идущий перед ним теплый, так что наступает момент, когда холодный воздух, идущий позади холодного фронта, настигает холодный воздух, идущий впереди теплого фронта. При этом образуется окклюзия (случай «в») заключительная стадия возмущения.
Теплый воздух вытесняется наверх и часто собирается вокруг созданной им области пониженного давления.
Смыкание фронтов происходит, как правило, сначала в центре циклона с последующим распространением процесса окклюдирования на его периферию.
С началом окклюдирования циклон чаще всего начинает заполняться (давление в центральной части увеличивается). Поэтому фронты окклюзии обычно характерны для «старых» циклонов, прошедших стадию максимального развития.
В образовании фронта окклюзии участвуют три воздушные массы: две холодные и одна теплая. На картах окклюзия обозначается символом 
или фиолетовой линией.
Если холодная воздушная масса за холодным фронтом теплее, чем перед теплым фронтом, то она, вытесняя теплый воздух вверх, одновременно сама натекает на переднюю, более холодную массу. Такой сложный фронт называется теплым фронтом окклюзии.
Если же воздушная масса за холодным фронтом холоднее воздушной массы перед теплым фронтом, то тыловая масса подтекает как под теплую, так и под переднюю холодную воздушную массу. Такой сложный фронт называется холодным фронтом окклюзии.
Условия погоды на фронтах окклюзии зависят от тех же факторов, что и на основных фронтах: от степени устойчивости воздушных масс, их влагосодержания, рельефа местности, времени года и суток.
При этом условия погоды холодной окклюзии в теплую половину с условиями погоды холодного фронта, а условия погоды теплой окклюзии в холодную половину года более сходны с погодой теплого фронта.

4. Опасные для авиации явления погоды

К опасным для авиации явлениям погоды относятся такие явления или значения метеорологических элементов, которые угрожают безопасности полетов или сохранения авиационной техники на аэродромах.
К опасным явлениям погоды для  р а й о н а  аэродрома относятся:
  • гроза, кучево-дождевая и мощная кучевая облачность, смерч, шквал, град, ледяной дождь, гололед;
  • явления, ухудшающие горизонтальную и посадочную видимость ниже наибольшего из минимумов, установленных для данного аэродрома и летательных аппаратов, базирующихся на нем (туман, дымка или мгла, пыльная или песчаная буря, осадки и дымы различного происхождения);
  • высота облаков ниже наибольшего из минимумов, установленных для самолетов на данном аэродроме;
  • понижение температуры воздуха от положительных до отрицательных значений (через 00 С), а также экстремально высокие температуры, при которых должны прекращаться полеты.
К опасным явлениям погоды на м а р ш р у т а х полетов относятся:
  • гроза, град, кучево-дождевая и мощная кучевая облачность;
  • обледенение;
  • сильная болтанка; видимость и высота нижней границы облаков ниже минимума, установленного экипажу для выполнения задания;
  • закрытие гор, сопок, перевалов и искусственных препятствий (телебашен, мачт, труб и т.п.) облаками, туманом и осадками, препятствующими выполнению задания.
Различают следующие особые явления, к которым относятся:
  • ураганы;
  • сильный дождь (50 мм и более за 12 часов или 30 мм за 1 час);
  • град диаметром более 30 мм;
  • наводнения, угрожающие затоплением;
  • селевые потоки;
  • извержения вулканов и др.
4.1. Грозовая деятельность
Грозой называется атмосферное явление неразрывно связанное с развитием мощных кучево-дождевых облаков, с образованием электрических разрядов в виде молний, между облаками и землей, сопровождающихся сильным звуковым эффектом – громом, а также выпадением ливневых осадков.
Иногда грозы (чаще всего в степных и пустынных районах) не сопровождаются выпадением осадков (сухие грозы), как и выпадение ливневых осадков не всегда сопровождается грозовыми разрядами.
Полеты авиации в зоне грозовой деятельности запрещены. так как они связаны с опасностью для самолета и экипажа, особенно при входе в кучево-дождевые (грозовые) облака и при полете в близи них из-за сильной турбулентности, разрядов молний и града. В этих облаках выше изотермы 00 С самолет может подвергнуться интенсивному обледенению.
Гроза нередко сопровождается шквальными ветрами, иногда достигающими ураганной силы, которые могут разрушить аэродромные сооружения, опрокинуть и поломать летательные аппараты. При грозах выпадают обильные ливневые дожди, которые в течение короткого времени могут сделать грунтовый аэродром непригодным для взлета и посадки.
При непреднамеренном попадании самолета в грозу обеспечение безопасности зависит главным образом от пилота, его умения быстро ориентироваться в сложившихся метеорологических условиях и грамотно действовать, а также от управления полетом с земли.

4.1.1. Условия образования гроз
Важнейшим условием образования грозовых облаков является наличие влажного и теплого неустойчивого воздуха, при подъеме которого могла бы образоваться мощная облачность. Для развития грозовых облаков большое значение имеет не только влажность в поднимающемся воздухе, но и вертикальный градиент температуры в окружающей атмосфере: чем быстрее падает температура с высотой, тем  благоприятнее условия для развития мощных кучево-дождевых облаков, и наоборот. В тех случаях, когда в тропосфере летом наблюдаются большие вертикальные градиенты температуры и содержится большое количество водяного пара, можно ожидать развития таких облаков вплоть до тропопаузы, которая в большинстве случаев служит мощной преградой, препятствующей дальнейшему развитию облаков по вертикали.
Грозы чаще всего образуются:
  • при неравномерном нагревании приземного слоя воздуха от подстилающей поверхности (внутримассовые или тепловые грозы);
  • при подъеме или вытеснении теплого воздуха холодным на атмосферных фронтах (фронтальные грозы);
  • при подъеме в районах горных массивов (орографические грозы).
Грозовое облако в своем развитии проходит три стадии.
П е р в а я   с т а д и я,   или стадия кучевого облака, начинается с возникновения ку-чевого облака хорошей погоды.
 Если поднимающийся воздух недостаточно влажен, а окружающая атмосфера устойчива, кучевые облака хорошей погоды не получают дальнейшего развития. В таких облаках и под ними может быть болтанка от слабой до умеренной.
При благоприятных условиях возникшие кучевые облака быстро растут как в вертикальном, так и в горизонтальном направлении, и в процессе их развития нередко несколько облаков сливаются в более крупное облако мощное кучевое.
Образующиеся в результате конденсации мельчайшие водяные капли в таком облаке сливаются в более крупные, которые уносятся мощными восходящими потоками вверх. Когда облако разовьется до высоты 3-5 км, многие капли в результате слияния достигают таких размеров, что восходящий поток не может поддерживать их во взвешенном состоя-нии, и они начинают падать вниз. Если капли не успевают испариться под облаками, то они достигают земли в виде крупнокапельного дождя.
В т о р а я   с т а д и я   развития кучево-дождевого облака характеризуется выпадением ливневого дождя, а иногда града и появлением грозовых разрядов.
Это период максимального развития кучево-дождевого облака, характерным признаком которого является огромная наковальня в его верхней части.
Верхняя часть растущего по вертикали мощного кучевого облака, состоящая из капель воды, попадает в область отрицательных температур (выше изотермы 00). Капли воды начинают замерзать, превращаясь в снежинки и кристаллы льда, затем под воздей-ствием восходящих и нисходящих потоков они попадают то в область положительных, то отрицательных температур, и на них происходит намерзание капель воды, т.е. они увеличиваются по размеру. Так образуются снежинки и крупа, а если восходящие потоки достаточно велики, то в результате намерзания капель на крупе происходит формирование градин. Нередко происходит смерзание нескольких градин в одну более крупную. К этому времени вершина облака, имеющая вид башни, туманится и покрывается шелковистой пеленой, или «шапкой». Это служит признаком того, что мощное кучевое облако превращается в кучево-дождевое. Быстро увеличивающиеся в размерах ледяные частицы (снежинки, крупа, град), достигнув такой величины, когда они уже не могут поддерживаться восходящими потоками во взвешенном состоянии, начинают падать вниз, продолжая при этом расти. Достигнув области положительных температур, они тают и выпадают из облака в виде ливневого дождя, а если не успевают растаять – в виде града или крупы, часто сопровождающихся грозой.
При значительной неустойчивости атмосферы грозовое облако может достигнуть наибольшего развития в течение 30-60 мин.
В нижней своей части кучево-дождевое облако обычно состоит: до высоты изотермы 00 С – из капель воды различной величины, от изотермы 00 С до изотермы – 200 С – из переохлажденных капель воды и снежинок, выше изотермы – 200 С из кристаллов льда и мелких снежинок, а также из небольшого количества мельчайших переохлажденных капель воды. Летом температура у нижней границы облака может достигать +150 С, +200С, а у вершины –400 С, -500 С и ниже.
С началом выпадения дождя существенно изменяется картина вертикальных движений внутри облака. Наряду с мощными восходящими потоками, имеющими скорость 30-40 м/с, начинают развиваться сильные нисходящие потоки, что объясняется выпадением осадков, увлекающих за собой воздух. Нисходящий поток внутри облака тем сильнее, чем интенсивнее ливень, и может достигать скорости 10-15 м/с и более.
Следовательно, для второй стадии развития внутри грозового облака характерны сильные восходящие и нисходящие потоки воздуха в непосредственной близости один от другого.
С началом выпадения осадков происходит резкое понижение (на 10-150 С) температуры воздуха у поверхности земли, а на границе восходящего и нисходящего потоков возникают внезапные кратковременные усиления ветра, достигающие иногда ураганной силы. Их принято называть  ш к в а л а м и.
На высоте 600-2000 м, а иногда и ниже, в передней части кучево-дождевого облака на границе восходящего и нисходящего потоков воздуха образуется так называемый «крутящийся грозовой вал» (шкваловый ворот) – облачный вихрь с горизонтальной осью, обуславливающий пыльные вихри при приближении облака.
Грозовой вал может находиться не только вблизи облака, но и на некотором расстоянии впереди него.
Кроме того, такое распределение воздушных потоков в передней части грозового облака указывает на наличие опасных сдвигов ветра, т.е. больших горизонтальных градиентов ветра, представляющих большую угрозу для выполнения полетов, особенно при посадке (рис. 121).



Рис. 121. Схематический разрез кучево-дождевого облака. 

Т р е т ь я   с т а д и я   является завершающей.
 На этой стадии происходят постепенный распад и разрушение облака, прекращение грозовой деятельности, ослабление осадков.
Образование «наковальни» в верхней части грозового облака – признак того, что оно достигло максимального развития, и в дальнейшем будет постепенно разрушаться.
Осадки в это время концентрируются в нижней половине облака, в результате чего развиваются преимущественно нисходящие потоки, а восходящие потоки становятся второстепенными и преобладают в верхней части облака. Постепенно ослабевают и нисходящие потоки, которые, охватывая все облако, имеют скорости, не превышающие 5-10 м/с.
Период существования кучево-дождевого облака 1-5 часов, а процесс его разрушения длится около 30 минут.
На смену разрушающимся облакам при благоприятных условиях возникают новые кучево-дождевые облака, цикл развития которых аналогичен описанному выше.
Теоретические расчеты показывают, что в хорошо развитых кучево-дождевых облаках максимальные скорости восходящих потоков могут достигать 65 м/с, а нисходящих – 45 м/с.
Таким образом, при случайном попадании в кучево-дождевые облака, самолет может в течение короткого промежутка времени самопроизвольно потерять или быть подброшенным вверх на несколько сотен метров и оказаться неуправляемым.
При полете под грозовыми облаками самолет может испытывать весьма интенсивную болтанку, хотя и менее опасную, чем в облаках.
Кроме того, полет под грозовым облаком сопровождается резким ухудшением ви-димости из-за осадков. Не исключена также возможность разряда молнии в самолет и по-падание в зону града. Поэтому полёт не только в кучево-дождевых облаках но и под ними  з а п р е щ а е т с я.

4.2. Туманы и дымки
Т у м а н о м принято называть такое скопление мельчайших капель воды или ледяных кристаллов в воздухе у земной поверхности, когда дальность горизонтальной видимости не превышает 1 км. При видимости более 1 км это явление называется   д ы м к о й.
В том случае, когда ухудшение видимости связано с наличием в воздухе взвешен-ных твердых частиц (пыли, дыма и т.п.), такое явление принято называть   м г л о й.
Если при дымке и особенно при тумане относительная влажность близка к 100 %, то при наличии мглы она, как правило, значительно меньше 100%.
Туманы образуются вследствие охлаждения приземного воздуха до температуры точки росы, и при этом имеются условия для последующей конденсации водяного пара.
По своему физическому строению туман сходен с облаками, так как образуется в результате конденсации водяного пара и состоит из капель, или кристаллов, или тех и других вместе.
По интенсивности туманы подразделяются:
  • на очень сильные, видимость в них менее 50 м;
  • на сильные, видимость в них 50-200 м;
  • на умеренные, видимость в них 200-500 м;
  • на слабые, видимость в них 500-1000 м.
Туманы, образующиеся внутри воздушных масс, называют внутримассовыми, а туманы, возникающие на атмосферных фронтах, - фронтальными.
По условию образования внутримассовые туманы подразделяются на туманы охлаждения (радиационные, адвективные, адвективно-радиационные) и испарения.
Радиационный туман
Радиационный туман образуется вследствие охлаждения воздуха от подстилающей поверхности земли, которая в безоблачные ночи также охлаждается в результате излучения тепла. Основными условиями для его образования являются штиль или слабый ветер 1-2 м/с, большое влагосодержание воздуха и отсутствие облаков.
Вертикальная мощность тумана может колебаться от нескольких метров до нескольких десятков метров.
Сверху сквозь него хорошо просматриваются реки, крупные наземные ориентиры и огни, но при входе в слой тумана полетная видимость резко ухудшается (рис. 22). Дальность видимости у земли может ухудшиться до 100 м и менее.
Радиационный туман образуется чаще всего во вторую половину ночи. В первой половине дня он рассеивается, а иногда переходит в тонкий слой низких слоистых облаков, высота которых не превышает 100-200 м. Особенно часто радиационный туман возникает в низинах и заболоченных местах. Разновидностью его является   п о з е м н ы й    туман, который распространяется в высоту только на несколько метров.
Полет выше радиационного тумана не представляет особых затруднений, так как в большинстве случаев он располагается пятнами и дает возможность вести визуальную ориентировку. Однако в холодное время года, особенно весной и осенью, такие туманы могут занимать значительные площади и, сливаясь с вышележащей слоистой облачно-стью, сохраняться в течение нескольких суток. В этом случае туман представляет серьезное препятствие для выполнения полетов.
Адвективный туман
Адвективный туман образуется в воздушной массе, которая движется с более теплой подстилающей поверхности земли на более холодную. Такой туман может образоваться как над сушей, так и над морем. Его вертикальная мощность обычно достигает несколь-ких сотен метров.
В отличие от радиационного тумана адвективный туман наблюдается при ветрах, скорость которых 3-7 м/с и более.
Нередко адвективный туман сопровождается слабыми моросящими осадками. Видимость в таком тумане бывает несколько лучше, чем в радиационном тумане, однако наземные ориентиры сквозь него сверху не просматриваются. Адвективные туманы могут занимать огромные пространства (например, теплый сектор циклона) и сохраняться в течение нескольких дней. Адвективный туман может возникнуть в любое время суток. Над сушей он чаще возникает в часы наибольшего охлаждения поверхности земли.
В умеренных широтах над материком адвективные туманы возникают в холодную половину  года при прохождении над выхоложенной сушей более теплых и влажных масс воздуха с моря или с более теплой поверхности суши. В теплую половину года ад-вективные туманы над сушей, как правило, не образуются.
Над морем адвективные туманы могут образовываться в течение всего года при движении воздушной массы с более теплой водной поверхности на более холодную.
Адвективно-радиационный туманы
Адвективно-радиационные туманы образуются при общем воздействии адвекции (движение теплого воздуха на холодную поверхность) и радиационного охлаждения. Чаще наблюдаются в осенне-зимний период.
Туманы испарения
Туманы испарения – результат притока водяного пара в более холодный воздух вследствие испарения с водной поверхности, обычно наблюдаются в полярных областях и иногда над реками и озерами умеренных широт.
Фронтальные туманы
Фронтальные туманы бывают трех типов: предфронтальный туман, туман при прохождении фронта и зафронтальный туман.
Предфронтальный туман образуется вследствие насыщения влагой холодного воздуха, находящегося под фронтальной поверхностью.
Условия, благоприятные для образования предфронтального тумана, создаются в тех случаях, когда температура выпадающего дождя значительно выше температуры холодного воздуха, располагающегося вблизи поверхности земли. Наиболее часто такие туманы возникают перед теплыми фронтами и окклюзиями по типу теплого фронта. Ширина зоны тумана может достигать 100-200 км.
Туман, образующийся непосредственно при прохождении фронта, представляет собой не что иное, как фронтальную облачную систему, распространившуюся до поверхности земли. Особенно часто такие туманы наблюдаются при прохождении фронтов над возвышенностями.
Зафронтальный туман образуется непосредственно после прохождения теплого фронта или теплой окклюзии. Условия образования тумана этого типа мало чем отличаются от условий образования адвективных туманов.
Полет на малых высотах через фронт, на котором образовался туман, сложен, особенно если слой тумана сливается с вышележащей фронтальной облачностью и зона тумана широка.
Т у м а н ы   в   г о р н ы х   р а й о н а х    возникают вследствие подъема воздуха вдоль наветренных склонов и охлаждения его или когда облака, образовавшиеся в другом районе, надвигаются и закрывают возвышенности. Распределение туманов на земном шаре зависит главным образом от географической широты, подстилающей поверхности и степени увлажнения приземного слоя воздуха.
Д ы м к а  оказывает меньшее влияние на выполнение полетов, чем туман. Однако при сильной дымке с горизонтальной видимостью 1-2 км условия для полетов, особенно посадки, значительно усложняются.
Под слоями инверсий и изотермий в атмосфере образуются подинверсионные дымки. Видимость при полете ниже и выше такой дымки хорошая, а в самом слое дымки – плохая. Это усложняет ведение ориентировки в полете.

4.3.   Метели и пыльные бури
М е т е л ь ю называется перенос снега сильным ветром в слое воздуха у поверхности земли. Метели сильно ухудшают видимость и затрудняют, а иногда и совсем исключают взлет и посадку самолетов. Кроме того, они ухудшают эксплуатационные качества аэродромов, а при сильных и продолжительных метелях аэродромы выходят из строя.
Различают общую и низовую метели и поземок.
Общая метель – выпадение снега из облаков с одновременным переносом его ветром.
Низовая метель – перенос ветром сухого и рыхлого снега, поднимаемого с земной поверхности на несколько десятков метров.
Поземок – частный случай низовой метели, когда снег переносится ветром непосредственно над снежной поверхностью, с поднятием его только на несколько десятков сантиметров.
Общие метели связаны с циклонической деятельностью и атмосферными фронтами.
Пыльной бурей называется перенос сильным ветром значительного количества пыли или песка, сопровождающийся ухудшением видимости.
Подъем и перенос частиц пыли и песка вдоль земной поверхности начинается уже при скорости ветра 5-8 м/с, а при последующем его усилении до 15 м/с и более пыль поднимается на высоту нескольких десятков метров, а в некоторых случаях мелкая пыль может подниматься до высоты 2-4 км.
Поднятая пыль может сохраняться в атмосфере в течение нескольких дней в виде мглы и сильно ухудшать видимость на значительной территории.
Чаще всего такие бури возникают в пустынных и степных районах.
Верхняя граница мглы при наличии задерживающего слоя (инверсии, изотермии) обычно резко очерчена и иногда воспринимается как второй горизонт.

5.  Анализ и оценка метеорологической обстановки

Для грамотной оценки метеорологической обстановки на земле и в полёте нужны не только хорошие теоретические знания основ авиационной метеорологии, но и закрепление знаний на практике.
Для изучения и уточнения фактических метеорологических в районах и на маршру-тах полётов проводится воздушная разведка погоды.

5.1 Разведка погоды
Разведка погоды имеет важное значение для оценки метеорологических условий.
Основными ее задачами являются:
  •  изучение и уточнение фактической метеорологической и орнитологической обстановки;
  •  уяснение возможного изменения метеорологической обстановки в период полетов;
  •  оценка соответствия наблюдающихся метеоусловий уровню подготовки экипажей и поставленным задачам.
Воздушна разведка погоды по времени проведения подразделяется на предполетную и доразведку.
Целью предполетной разведки погоды является определение или уточнение факти-ческих данных о состоянии погоды в районе или на маршрутах полетов, которые необходимы для оценки метеорологической обстановки и принятия решения на проведение полетов.
Доразведка погоды производится в период проведения полетов для уточнения метеорологической обстановки при угрозе резкого ухудшения погоды или возникновения опасных явлений.
Воздушная разведка погоды планируется с учетом конкретно сложившихся метеорологических условий, климатических и физико-географических особенностей района базирования и характера полетов. Для ведения воздушной разведки погоды выделяются экипажи, подготовленные к полетам в сложных метеорологических условиях и имеющие достаточные практические навыки в оценке метеообстановки в полете.
Маршруты и время полетов на разведку погоды целесообразно устанавливать с таким расчетом, чтобы данные разведки отражали состояние погоды как в районе полетов, так и в районе, откуда ожидается ее ухудшение.
Опыт ведения воздушной разведки погоды показывает. что ее целесообразно вести в такой последовательности: после взлета при полете по кругу определить состояние погоды в районе аэродрома, далее выполнить разведку по маршруту. После выполнения задания перед посадкой повторно оценить условия погоды в районе аэродрома.
Оценка облачности в полете
Облачность является одним из самых важных объектов метеорологических наблюдений в полете, так как высота, форма и количество облаков наряду с видимостью определяют степень сложности метеорологических условий.
Количество и форма облаков определяются при полете на высоте ниже облачного слоя не менее чем на 300 м. Высота облаков измеряется по барометрическому высотомеру.
Различные формы облаков, их количество и вертикальная мощность характеризуют определенную воздушную массу или атмосферный фронт.
Так облака кучевообразных форм развиваются в неустойчивых воздушных массах и на холодных фронтах.
Облака слоистообразных форм характерны для устойчивых воздушных масс и теплых фронтов.
При полете летом в устойчивой массе над сушей можно встретить либо малооблачную погоду, либо кучевые облака хорошей погоды, которые к полудню развиваются, а к вечеру рассеиваются.
В зимнее время в устойчивой воздушной массе чаще всего наблюдаются низкие и тонкие слоистые и слоисто-кучевые облака, а также туманы, занимающие большие площади.
Облачность неустойчивой воздушной массы в теплое время года над сушей имеет резко выраженный суточный ход.
Ночью и в ранние утренние часы в неустойчивой воздушной массе можно наблюдать малооблачную погоду и реже – отдельно разбросанные слоисто-кучевые, высококу-чевые и перистые облака, образовавшиеся в результате распада кучево-дождевых облаков.
Образование в утренние часы высококучевых хлопьевидных или башенкообразных облаков указывает на неустойчивость атмосферы на средних высотах и на возможность развития гроз днем. Быстрый рост кучевых облаков в вертикальном направлении утром в большинстве случаев является признаком того, что полет будет протекать в неустойчивой воздушной массе и во второй половине дня следует ожидать развития особенно мощных грозовых облаков.
При полете под облаками днем грозовые очаги можно обнаружить по выпадению ливневых осадков, болтанке и значительному потемнению нижней части облаков.
Днем вероятность появления грозы удается установить как с земли, так и в полете по наличию мощных кучевых облаков, перерастающих в кучево-дождевые.
Оценка видимости в полете
Определить видимость в полете нелегко, особенно в сложных метеорологических условиях. Поэтому перед взлетом на разведку погоды в условиях ограниченной видимости экипаж должен выбрать крупные и хорошо видимые на малых высотах ориентиры (лесные массивы, реки, озера, берег моря, населенные пункты) и знать расстояние между ними.
При пролете этих ориентиров экипаж может легко определить дальность видимости. Посадочная видимость определяется по выходе на контрольные ориентиры на глис-саде снижения и началом взлетно-посадочной полосы (посадочными знаками), расстояние между которыми экипажу известно.
Опыт показывает, что летный состав, имеющий хорошую подготовку по авиационной метеорологии и тщательно изучающий метеорологические условия перед полетом, сравнительно быстро приобретает необходимые навыки в правильной оценке метеорологических элементов и явлений погоды в полете.

6.  Метеорологическое обеспечение полетов

6.1 Подготовка карты погоды
Нанесение на карты погоды данных, сообщаемых метеокодом (Приложение №2), производится условными значками или цифрами. Значки и цифры всегда размещаются в одном и том же порядке относительно кружка, изображающего станцию на карте погоды. Схема расположения на карте погоды содержащихся в метеокоде сведений дана на рисунке.



Чтение данных, нанесённых вокруг кружка, изображающего станцию, рекомендуется начать с общего количества облаков (определяется по степени зачернения кружка); затем определить форму, количество и высоту облаков нижнего яруса и вертикального развития (значок и цифры под кружком); определить форму облаков среднего и верхнего ярусов (значки выше кружка); установит явления погоды в момент наблюдения (значок с левой стороны от кружка, отсутствие значка означает, что никаких явлений  не наблюдается) и явление, наблюдавшееся между сроками наблюдений (значок справа внизу от кружка станции); после этого читается видимость (цифра слева внизу от кружка), направление и скорость ветра (специальный значок в виде стрелки с оперением), температура и точка росы (слева выше и ниже кружка); далее читается давление и барическая тенденция (цифры справа вверху и рядом с кружком).
Если давление, нанесённое на карту, начинается с цифр 6,7,8,9 для прочтения давления впереди трёхзначного числа (например, 897) прибавляется цифра 9 и давление читается 989,7 мбар. Если давление начинается с цифр 0,1,2,3,4,5, то для прочтения давления впереди трёх-значного числа (например, 015) прибавляется число 10 и давление читается 1001,5 мбар. В заключение определяется количество выпавших осадков (цифра справа внизу).

Пример нанесения метеоданных на карту погоды

Пример 1.



Здесь количество облаков – 6 баллов, кучево-дождевая облачность – 5 баллов, с высотой основания 600 -1000м, высококучевая просвечивающаяся – 1 балл. В последний час перед наблюдением отмечался ливневой дождь, видимость 10 км. Атмосферное давление, приведённое к уровню моря – 997,3, величина барической тенденции + 1,6 мбар, давление росло неравномерно.
Температура воздуха 100 С, точка росы 60 С. Ветер юго-западный 7 -8 м/сек. Между сроками наблюдения отмечались ливневые осадки, за 12 часов выпало 7мм осадков.

Пример2.



Небо полностью закрыто облачностью. В момент наблюдения и между сроками наблюдения – наблюдается сплошной туман, видимость 200 м, атмосферное давление 1008,3 мбара, барическая тенденция – 0,2 мбар, давление падало равномерно, температура воздуха 60 С, минимальная температура 20 С, точка росы  60 С, ветер северный 1 м/сек, осадков не было.

6.2.  Обработка и анализ карт погоды
Приземные синоптические карты (Приложение №3), после нанесения на них метеорологических данных закодированных кодом КН-01, обрабатываются, а затем анализируются синоптиками авиационной метеостанции.
Обработка включает следующие операции:
  • на карте проводятся изобары (линии одинакового давления) через 5 мбар, а иногда через 2.5 мбар;
  • проводятся изотенденции (линии одинаковой барической тенденции) через 1 или 2 мбар;
  • выделяются барические центры: циклоны обозначаются буквой Н, антициклон – буквой В ;
  • области наибольшего падения давления обозначаются буквой П, наибольшего роста – буквой Р;
  • цветными карандашами выделяются: зоны осадков (зелёным цветом), туманов (жёлтым) и другие характеристики погоды;
  • цветными карандашами или чёрным цветом условными обозначениями проводятся линии атмосферных фронтов.
 Анализ карты предусматривает:
  • определение характера воздушных масс (их термодинамические и географические особенности) и ожидаемое их преобразование;
  • определение типа фронтов, тенденцию их развития, направление и скорость перемеще-ния интересуемых участков;
  • определение характера, направления и скорости перемещения барических образований.
Заключительной операцией обработки и анализа карты погоды является прогноз погоды.
Первая часть прогноза погоды должна, основываясь на произведённом анализе, ответить на вопрос, что будет оказывать влияние на погоду интересуемого района, аэропорта, трассы (какая воздушная масса, фронт, барическая система).
Вторая часть должна ответить на вопрос, какая ожидается погода.
Таким образом, прогноз погоды составляется на основании прогноза синоптической обстановки.

6.3.  Организация и задачи метеорологического обеспечения полетов
Метеорологическое обеспечение предназначено для наиболее полного использования погодных условий при решении задач учебной подготовки и обеспечения безопасности полетов авиации. Это осуществляется:
  • информацией руководителей полетов и летного состава о фактических и прогнозируе-мых условиях погоды в районах аэродрома и планируемых полетов;
  • своевременным предупреждением руководства и летного состава об опасных явлениях погоды и ухудшении метеорологических условий;
  • учетом влияния метеорологических условий на выполнение задач летной подготовки руководящим и летным составом.
Метеорологическое обеспечение СЛА организуется соответствующими начальниками и осуществляется метеорологическими подразделениями (на договорной основе), которые при круглосуточном дежурстве выполняют комплекс работ и мероприятий, основными из которых являются:
  • производство в установленные сроки метеорологических и аэрологических наблюдений и непрерывных наблюдений за возникновением опасных явлений погоды;
  • сбор, обработка и анализ аэросиноптической информации и материалов в установленном объеме;
  • разработка прогнозов погоды, описаний, справок и доклад их должностным лицам и летному составу;
  • штормовое оповещение и предупреждение об опасных явлениях в погоде;
  • участие в подготовке заданий на воздушную разведку погоды;
  • непосредственное обеспечение полетов;
  • изучение и обеспечение авиационно-климатических особенностей районов базирования и полетов.
Прогноз погоды разрабатывается для района аэродрома и полётов по маршруту.
При этом особое внимание уделяется оценке следующих элементов метеорологической обстановки:
  • атмосферных процессов, определяющих погодные условия, и направленность их развития;
  • фактических и прогнозируемых метеорологических условий;
  • районов или участков маршрутов с простыми и сложными метеоусловиями, наличием или ожидаемым на них возникновением опасных явлений погоды.
В результате оценки метеорологической обстановки определяется соответствие реальной и прогнозируемой метеорологической обстановки установленным минимумам погоды экипажей и полетным заданиям планируемых полетов.
Заключительным этапом работы метеоподразделения перед непосредственным метеорологическим обеспечением полетов является разработка и вручение руководителю полетов специального бланка – бюллетеня погоды.
Прогноз погоды записанный в нем, является основанием, по которому принимается решение на проведение или отмену полетов по метеоусловиям.
Бюллетень погоды вручается не раннее, чем за час и не позже чем за 30 минут до начала полета.
В общем комплексе метеорологического обеспечения важное значение имеет своевременное предупреждение руководства организации СЛА, руководителей полетов и летного состава об опасных явлениях погоды. Для решения этой задачи в метеоподразделениях организуется и осуществляется штормовое оповещение и предупреждение.
Штормовое оповещение – это система сбора и распространения данных об опасных явлениях погоды, передаваемых метеоподразделениями в установленные адреса или получаемых ими от других метеоподразделений.
Эти данные содержат: время возникновения опасного явления его название (туман, гроза и т.д.), интенсивность и значение характеризующих его параметров (видимость, скорость ветра и т. д.). Отдельно передается сообщение об усилении, ослаблении или прекращении опасного явления.
Каждое конкретное штормовое предупреждение оформляется на специальном бланке, где указывается, чем будет обусловлено опасное явление погоды, ожидаемое время возник-новения, окончания и значения характеризующих его параметров.
Такой бланк во время полётов вручается под расписку руководителю полётов.
Таким образом, основным назначением штормового предупреждения является заблаговременное оповещение об ожидаемых опасных изменениях в погоде, необходимое для своевременного принятия мер по обеспечению безопасности экипажей, находящихся в воздухе, а в отдельных случаях и сохранения от повреждения авиационной техники и других средств, находящихся на земле.



Раздел 5. Воздушная навигация

1. Самолетовождение

Самолетовождение – комплекс действий экипажа, направленных на обеспечение наибольшей точности, надежности и безопасности вождения самолета (дельталета) или группы самолетов по маршруту в целях вывода их по месту и времени на заданные объекты (цели) и на аэродромы посадки.
Точное выполнение полета по заданному маршруту на заданной высоте с выдерживанием расчетного времени прохода основных пунктов является одним из важнейших условий успешного выполнения полетного задания и обеспечения безопасности полета.
Всякий полет выполняется в соответствии с разработанным штурманским планом, который может вычерчиваться в виде схемы, наноситься на полетную карту (при полете по маршруту) и записываться в бортовом журнале.
Штурманский план представляет собой заранее продуманный порядок работы экипажа в воздухе от взлета и до посадки включительно.
Для успешного самолетовождения экипаж должен использовать все имеющиеся в его распоряжении средства с тем, чтобы в любой момент времени с требуемой точностью знать местонахождение самолета (дельталета) и выдерживать режим полета, обеспечивающий точный выход на цель по месту и времени, определять навигационные элементы, необходимые для контроля и исправления пути на всех этапах полета – от взлета до посадки включительно.
Экипаж должен в совершенстве изучить технические средства самолетовождения, их возможности и способы применения для решения навигационных задач.
Технические средства самолетовождения основаны на использовании различных источников навигационной информации: земного магнетизма; атмосферы, окружающий земной шар; ориентиров на земной поверхности; земного тяготения; электромагнитных полей; небесных светил и т. д.
Технические средства самолетовождения по принципу действия, определяемому первичным источником навигационной информации, подразделяются на четыре группы:
  • геотехнические средства самолетовождения, основанные на измерении различных параметров естественных (геофизических) полей Земли;
  • радиотехнические средства самолетовождения, основанные на измерении параметров электромагнитных полей, излучаемых специальными устройствами, находящимися на борту самолета или на земле;
  • астрономические (радиоастрономические) средства самолетовождения, основанные на использовании космических источников навигационной информации в виде светового и радиоизлучения небесных светил;
  • светотехнические средства самолетовождения, основанные на использовании бортовых или наземных источников света.
В основе самолетовождения лежит определение места самолета счислением пути, периодически контролируемым с помощью технических средств или визуальной ориентировкой.

1.2.  Краткие сведения из картографии
1.2.1. Форма и размеры Земли
Физическая поверхность Земли, имеющая сложную геометрическую форму, близка к геоиду.
Геоидом называется фигура, ограниченная уровенной поверхностью, совпадающей с поверхностью Мирового океана в состоянии равновесия воды (рис. 122).


Рис. 122. Поверхность геоида.

Поверхность геоида не может быть выражена простым математически уравнением. Поэтому для решения геодезических и картографических задач геоид заменяется эллипсоидом вращения, который называют земным эллипсоидом с характеристиками:
большая полуось - а = 6 378 245 м;
малая полуось - в = 6 356 863 м;
сжатие  - с = 0,00335233

1.2.2. Система координат на земной поверхности
Положение точки определяется:
а) на поверхности геоида и земного эллипсоида – географическими координатами: географической широтой
ϕ и географической долготой λ ;
б) на поверхности земной сферы – сферическими координатами: сферической широтой
ϕс и сферической долготой λс или ортодромическими координатами Хорт и Yорт.
Географической широтой 
ϕ называется угол, заключенный между плоскостью экватора и нормалью (отвесной линией) к поверхности эллипсоида (геоида) в данной точке (рис. 123).

Рис. 123. Географические координаты.

Широта измеряется от плоскости экватора к полюсам от 00 до 900 к северу или югу. Северная широта считается положительной, южная – отрицательной.
Географической долготой 
λ называется двугранный угол, заключенный между плоскостями начального меридиана и меридиана данной точки (рис. 123). Долгота измеряется в пределах от 00 до 1800 либо центральным углом в плоскости экватора (в плоскости параллели), либо дугой экватора от начального меридиана до меридиана данной точки.
Долгота, измеренная на восток от начального меридиана, называется восточной и считается положительной.
Долгота, измеренная на запад, называется западной и считается отрицательной.
При решении некоторых задач долгота может отсчитываться только на восток от 00 до 3600.
За начальный меридиан принят гринвичский меридиан, проходящий через центр Гринвичской астрономической обсерватории близ Лондона.
Для решения большинства задач самолётовождения Земля принимается за сферу.
Сферической широтой  
ϕс называется угол, заключенный между плоскостью экватора и направлением на данную точку из центра земной сферы (рис. 124).


Рис. 124. Сферические  координаты.

Сферическая широта измеряется центральным углом или дугой в тех же пределах, что и широта географическая.
Сферическая долгота 
λс определяется двугранным углом, заключенным между плоскостями начального меридиана и меридиана данной точки.
Основной единицей измерения длин является километр (км). Некоторые измерения расстояний и расчеты в самолетовождении ведутся в градусах, минутах и секундах дуги большого круга.
Если  при  вычислении  расстояний  и  направлений  на  земной  поверхности  допустимая  ошибка  не  превышает  0,5 %  и  в  углах  0,4 %, то  задача  решается  на  сфере  радиусом  6371 км, считается  при  этом, что  сферические  широты  равны  географическим.

1.2.3. Карты и картографические проекции
Картой называется графическое изображение земной поверхности или отдельных ее частей на плоскости, выполненное по определенному математическому закону. Изображение поверхности Земли на плоскости получается искаженным, т. к. в принципе невозможно развернуть земную поверхность на плоскости без разрывов и складок в отдельных ее местах.
Планом называется изображение в крупном масштабе небольших участков земной поверхности, принимаемых за плоскость. На планах искажения практически отсутствуют.
Наличие искажений длин на карте приводит к тому, что ее масштаб является переменной величиной. Различают главный и частный масштабы.
Главным масштабом называют степень общего уменьшения Земли до размеров глобуса, который затем проецируется на плоскость. Этот масштаб указывается под каждой рамкой карты, и в нем обычно выполняются все измерения. Главный масштаб численно равен отношению длины любого отрезка на поверхности глобуса к соответствующей длине на поверхности Земли.
Частным масштабом называется отношение малого отрезка на карте в данной ее точке по данному направлению к соответствующему бесконечно малому отрезку на поверхности глобуса. В общем случае частный масштаб является переменной величиной не только в различных точках карты, но и по различным направлениям в данной точке.
Отношение частного масштаба к главному называют увеличением масштаба, а отклонение увеличения масштаба от единицы называют искажением длин в данной точке карты по данному направлению.
По характеру искажений все картографические проекции делятся на равноугольные, равнопромежуточные, равновеликие и произвольные.
В равноугольных проекциях направления и углы изображаются без искажений, в результате чего сохраняется равенство частных масштабов по меридиану и по параллели и подобие конфигурации небольших площадных ориентиров.
Карты в равноугольных проекциях широко используются в авиации, т. к. они позволяют наиболее просто измерять направления и углы.
Равнопромежуточными проекциями называются такие проекции, в которых длины по определенным направлениям изображаются без искажений. Обычно без искажений изображаются меридианы и частный масштаб по ним равен единице. Карты в равнопромежуточных проекциях применяются главным образом в качестве справочных.
Равновеликие проекции изображают поверхность Земли на карте так, что сохраняется постоянство отношения площади изображения к площади оригинала.
К произвольным относятся проекции, не сохраняющие ни одно из указанных выше свойств.
Свойство равноугольности, равнопромежуточности и равновеликости несовместимы один с другим.
По способу построения (по виду меридианов и параллелей) все картографические проекции делятся на конические, поликонические, азимутальные, цилиндрические и специальные.
В основу этого деления положено использование при проектировании вспомогательной геометрической поверхности.
Для получения конической поверхности, используется конус, для поликонической – несколько конусов, цилиндрической – цилиндр. Азимутальные проекции получаются перенесением поверхности глобуса непосредственно на плоскость. Специальные проекции строятся без использования вспомогательной поверхности, на основании какого-либо заданного условия.
Форма вспомогательной поверхности определяет вид сетки меридианов и параллелей на проекции.
В авиации общего назначения используются главным образом карты в нормальных равноугольных и равнопромежуточной проекциях на секущие конусы.
Меридианы в нормальных проекциях изображаются прямыми линиями, сходящимися в полюсе под углом, пропорциональным разности долгот, а параллели– дугами концентрических окружностей, радиусы которых зависят от широты  (рис. 125).



Рис. 125. Меридианы и параллели на карте конической проекции.


В видоизмененной поликонической (международной) проекции составлены карты масштаба 1:1000000 и 1:2000000. На них меридианы – прямые линии, сходящиеся под углом, пропорциональным синусу широты средней параллели листа, параллели – кривые, строящиеся по определенному математическому закону.
Лист карты масштаба 1:1000000 занимает по широте 40, а по долготе 60 – в диапазоне широт 600-760.
Карты в видоизмененной поликонической проекции используются в качестве полетных, бортовых и специализированных карт.
Косые и поперечные равноугольные цилиндрические проекции применяются для создания маршрутно-полетных карт масштабов 1:1000000, 1:2000000 и 1:4000000, предназначенных для дальних полетов (перелетов).
В равноугольной поперечно-цилиндрической проекции Гаусса составлены карты масштабов 1:500000 и крупнее.
Проекция Гаусса строится следующим образом. Вся поверхность Земли разделена на зоны меридианами, долготы которых кратны 60. Каждая зона изображается на цилиндре, касающемся поверхности глобуса по среднему меридиану данной зоны. Искажения длин пропорциональны расстоянию от среднего меридиана каждой зоны. Наибольшие искажения длин – на краю зоны (на экваторе) и равны 0,14 % т.е. 140 м на 100 км измеряемой.
Особенности проекции порождают разрывы между зонами, которые затрудняют склейку листов карт соседних зон.

1.2.4. Классификация карт по практическому использованию. Номенклатура карт
Карты, используемые в авиации общего назначения, делятся на навигационные и справочные.
Навигационные (аэронавигационные) карты предназначены для подготовки и выполнения полета. Они делятся на:
  • полетные (маршрутно-полетные);
  • бортовые;
  • специальные.
При выполнении задач в разнообразных условиях применяются карты следующих основных масштабов.



На полетных картах, входящих в обязательный комплект снаряжения летчика прокладывается и размечается маршрут, выбираются и изучаются контрольные ориентиры и поворотные пункты, выполняются измерения, необходимые для расчета полета. На них  наносится  типографским  способом изогоны (магнитное  склонение  для  различных  участков  местности). По полётным  картам осуществляется контроль пути в полете при ведении визуальной ориентировки и с помощью различных технических средств самолетовождения.
Бортовые карты предназначены для самолетовождения в случаях, когда самолет вынужденно выходит за пределы района, изображенного на полетной карте. Они могут использоваться так же для обработки навигационных измерений.
Специальные карты – это карты, на которых решаются задачи самолетовождения по данным измерений, полученным, главным образом, с помощью радиотехнических средств. К ним относятся карты различных масштабов и проекций, на которых вручную или типографским способом нанесены линии положения: орбиты дальномерной системы, сетка линий ортодромических радиопеленгов, гиперболы разностно-дальномерной системы и др.
Справочные карты предназначены для различных справок, необходимых при подготовке к полетам.  К ним относятся карты аэродромных узлов, карты магнитных склонений, часовых поясов, климатические, метеорологические карты, карты звездного неба и др. Справочные карты чаще всего составляются в проекциях, равнопромежуточных по меридианам.
Большинство карт выпускается на нескольких листах, представляющих собой части единой карты мира, части мира, материка, отдельного государства или маршрутов.
Для облегчения подбора нужных листов карты применяется специальная система обозначения листов, называемая номенклатурой карт.
Подбор карт необходимого масштаба выполняется с помощью специальных сборных таблиц.
Нужные листы карты обрезаются и склеиваются между собой. При этом левые листы наклеиваются на правые, а верхние на нижние. При обрезке листов карты необходимо оставлять координатную сетку с указанием широты и долготы в градусах на полях карты.
На нижнем обрезе листа карты оставляют информацию о масштабе карты, условных обозначениях, времени составления карты, номерах соседних листов карты.
Координаты точки на карте определяются путём пересечения линий широты и долготы данной точки и читаются, например: с 50 градусов20 минут (северной широты) и в 36 градусов 17 минут  (восточной долготы).

2. Навигационные элементы полета

Навигационными элементами называются элементы, характеризующие положение самолета в пространстве, скорость и направление его перемещения.
Навигационными элементами являются:
  • координаты местонахождения воздушного судна (ВС) (географические, полярные, прямоугольные и т. д.)
  • высота полета воздушного судна (истинная, относительная).
2.1.  Координаты местонахождения ВС
Под координатами местонахождения (МС) воздушного судна понимаются координаты той точки земной поверхности, в которую в данный момент времени проектируется его центр масс. Координаты местонахождения самолета (дельталета) определяются следующими основными способами:
  • опознаванием наземных ориентиров (визуально или с помощью радиолокационных, телевизионных или инфракрасных визиров) и отметкой на карте местонахождения воздушного судна. Этот способ ориентировки в сочетании с расчетом времени по курсу и скорости полета является основным при выходе на поворотные пункты маршрута, определении бокового уклонения от линии заданного пути,  поиске малоразмерных и подвижных целей и выходе на них;
  • определением момента пролета наземных радиотехнических устройств (приводной радиостанции, радиомаркера и др.);
  • счислением пути (воздушное, доплеровское, инерциальное) или прокладкой на карте пройденного расстояния;
  • определением двух или нескольких линий положения самолета, найденных с помощью радиотехнических или астрономических средств, с последующим переходом на заранее подготовленную карту с нанесенной  координатной сеткой линий положения; этим способом место самолета может вычисляться также автоматически на самолете или на земле; в последнем случае координаты МС передаются экипажу по радио.
2.2. Высота  полёта
Высотой полета называется расстояние по вертикали от некоторого  уровня до самолета (дельталёта).
В зависимости от уровня начала отсчета различают следующие высоты полета (рис. 126):
  • истиннуюист), отсчитываемую от точки на земной поверхности, над которой пролетает самолет;
  • абсолютнуюабс), отсчитываемую от уровня моря;
  • относительнуюотн), отсчитываемую от некоторого условного уровня. Относительными высотами являются: высота эшелона, отсчитываемая от уровня изобарической поверхности с давлением 760 мм рт ст, высота относительно аэродрома, отсчитываемая от уровня изобарической поверхности с давлением аэродрома.


Рис. 126. Классификация высот полета.

Определение  высоты  полёта
Знание высоты полета необходимо для выдерживания заданного профиля полета, измерения навигационных элементов, выполнения бомбометания, фотографирования, выдерживания безопасной высоты полета и для решения других задач.
Измерение истинной высоты полета, как правило, производится с помощью радиовысотомеров и радиолокационных прицелов.
Для определения и выдерживания относительной высоты полета принят барометрический метод измерения  высоты, который используется в барометрических высотомерах, в СР устройствах бомбардировочных прицелов, автопилотах и автоматизированных системах самолетовождения.
Барометрический  метод  измерения  высоты  полёта  основан  на  закономерности  изменения  атмосферного  давления  с  высотой.  Барометрические  высотомеры  позволяют  определять  высоту  полёта  относительно  уровня  давления  (изобарической  поверхности),  величина  которого  установлена  на  высотомере.
Барометрические  высотомеры  служат:
  • для  выдерживания  заданного  эшелона (высоты)  полёта  по  маршруту (трассе). Высота  полёта  по  маршруту (трассе) устанавливается  относительно  уровня,  соответствующего  давлению  760 мм рт..ст., поэтому  для  выдерживания  заданной  высоты  полёта  или  высоты  эшелона  на  высотомере  должно  быть  установлено  давление  760 мм рт.ст.  и  учтены  инструментальная  и  аэродинамическая  поправки  прибора;
  • для  выдерживания  безопасной  высоты  полёта;
  • для  определения  высоты  полёта  при  заходе  на  посадку.  В  этом  случае  на  высотомере  должно  быть  установлено  фактическое  давление  на  аэродроме  посадки.
2.3.  Навигационные элементы, характеризующие перемещение самолета
Навигационными элементами, характеризующими перемещение самолета, являются:
  • воздушная скорость;
  • курс;
  • путевая скорость;
  • путевой угол;
  • угол сноса.
Скорость перемещения самолета относительно воздушной массы называется истинной воздушной скоростью (V). Вектор истинной воздушной скорости обычно совпадает с продольной осью симметрии самолета. Отклонение вектора воздушной скорости от продольной оси симметрии самолета в горизонтальной плоскости характеризуется аэродинамическим углом сноса, величина которого обычно невелика и в практике вождения самолетов не учитывается.
Курсом самолета (К) называется угол в горизонтальной плоскости между северным направлением меридиана и продольной осью самолета. Так как обычно направление вектора воздушной скорости совпадает  с направлением продольной оси самолета, то при решении задач самолетовождения считают, что угол между северным направлением меридиана и вектором воздушной скорости равен курсу самолета. При полете с набором высоты или со снижением курс определяется как угол между северным направлением меридиана и проекцией продольной оси самолета на горизонтальную плоскость.
Скорость перемещения самолета относительно поверхности Земли называется путевой скоростью (W). Путевая скорость самолета в горизонтальном полете равна векторной сумме истинной воздушной скорости и скорости ветра.
Угол между вектором истинной воздушной скорости и вектором путевой скорости самолета называется углом сноса (УС).
Проекция на земную поверхность фактической траектории полета называется линией фактического пути самолета, а угол между северным направлением меридиана и линией фактического пути – фактическим путевым углом (ФПУ).
Проекция на земную поверхность заданной траектории перемещения самолета называется линией заданного пути (ЛЗП), а угол между северным направлением меридиана и линией заданного пути – заданным путевым углом (ЗПУ).
В полете экипаж должен добиваться такого положения, чтобы линия фактического пути самолета  совпадала с линией заданного пути.
Навигационный треугольник скоростей
Треугольник, образованный вектором воздушной скорости, вектором ветра и вектором путевой скорости, называется навигационным треугольником скоростей (рис. 127).


Рис. 127.  Навигационный треугольник скоростей.

Элементами навигационного треугольника скоростей являются:
V – воздушная скорость;
U – скорость ветра;
W – путевая скорость;

δ - направление ветра – угол между северным направлением меридиана и вектором ветра  (навигационный  ветер, куда  дует);

К – курс самолета;
УС – угол сноса;
ПУ – путевой угол;
УВ – угол ветра – угол между вектором путевой скорости и вектором ветра.
КУВ – курсовой угол ветра – угол между вектором воздушной скорости и вектором ветра.
Навигационный треугольник скоростей отличается от нуля при наличии составляющей скорости ветра.

Курс самолета отсчитывается от северного направления меридиана до линии заданного пути (ЛЗП) по ходу часовой стрелки от 00 до 3600.
Угол сноса отсчитывается от продольной оси симметрии самолета (вектора воздушной скорости) до линии фактического пути (вектора путевой скорости) вправо и влево. Правый снос обозначается знаком "+", левый – знаком "-".
Путевой угол отсчитывается от северного направления меридиана до линии пути (вектора путевой скорости) по ходу часовой стрелки от 00 до 3600. Путевой угол и курс могут быть истинными, магнитными или условными в зависимости от меридиана, от которого они отсчитываются. Путевой угол определяется по формуле: ПУ =  К + УС.
Угол ветра отсчитывается от вектора путевой скорости до вектора ветра по ходу часовой стрелки от 00 до 3600.
Курсовой угол ветра отсчитывается от вектора воздушной скорости до вектора ветра по ходу часовой стрелки от 00 до 3600.

2.4. Определение навигационных элементов полёта
Навигационные элементы полета в зависимости от навигационного оборудования и навигационной обстановки могут определяться путем непосредственных измерений или расчетом.
2.4.1. Путевая  скорость является важнейшим навигационным элементом, знание которого обеспечивает точный выход на цель (заданный ориентир) по времени. Путевая скорость определяется расчетом по известному ветру. Для расчета навигационных элементов используются следующие зависимости между элементами навигационного треугольника:

       
Решение этих зависимостей, т. е. решение навигационного треугольника скоростей, может производиться:
  • графически;
  • с помощью ветрочета или расчетчика;
  • на навигационной линейке;
  • приближенно в уме.
Определение угла сноса и путевой скорости
Угол сноса рассчитывается из значений параметров ветра (скорость и направление) и скорости летательного аппарата (воздушной и путевой) методом, известным как «решение навигационного треугольника скоростей» основанным на теореме синусов.
Определить значение УС можно разными способами:
  • по « известному ветру»;
  • визуально по ориентирам;
  • по линейному ориентиру;
  • по створу ориентиров;
  • по боковому уклонению от контрольного ориентира;
  • подбором курса;
  • по пеленгуемой радиостанции.
Угол  сноса  можно  определить  приближённо в уме.

Значение синусов угла ветра


Пример: МПУ=500
δ=3500;  V=75 км\ч; U=30 км\ч
Найти УС.
Решение: УВ=3000; УCmax=240; УС= -0,94УСmax или- 0,94*24
≈ -230 (22,56).

 

Путевая скорость может быть подсчитана в уме по прилагаемой формуле: W=V+UcosУВ



Для решения задач по этой формуле при различных углах ветра необходимо запомнить величину cosУВ.
Пример: V=75 км\ч; УВ=1200; U=25 км\ч
Определить W.
Решение: Пользуясь таблицей, находим W=75-12=63 км\ч.
Величина линейного сноса самолета ветром независимо от воздушной скорости определяется скоростью ветра и временем полета. В штиль, при попутном или встречном ветре угол сноса отсутствует.
При попутном ветре путевая скорость (W) равна сумме истинной скорости воздушного судна и скорости ветра. При встречном ветре – разности истинной   скорости воздушного судна и скорости ветра.

2.4.2.  Курс воздушного  судна  и его измерение
В зависимости от начала отсчета курс может быть магнитным (МК), истинным (ИК) или условным (УК). Магнитный курс измеряется относительно магнитного меридиана, истинный – относительно географического меридиана, а условный – относительно выбранного условного направления.
Магнитное склонение. Вследствие того, что магнитные полюсы Земли не совпадают с географическими, магнитная стрелка устанавливается не по истинному, а по магнитному меридиану. Магнитным меридианом называется линия вдоль которой устанавливается свободно подвешенная магнитная стрелка под действием земного магнетизма.
Угол, заключённый между северным направлением истинного (географического) меридиана и северным направлением магнитного меридиана называется магнитным склонением Δм.
Магнитный, истинный и условный курсы.
ИК=МК + (+/-
ΔМ); МК = ИК – (+/-Δм);
УК=МК+
ΔMy;
УК=ИК+
ΔА, где
ΔМ – магнитное склонение – угол между истинным и магнитным меридианами, отсчитывается от истинного меридиана вправо со знаком "+" и влево со знаком "-";
ΔMy – условное магнитное склонение – угол между условным направлением и магнитным меридианом, отсчитывается от условного направления вправо со знаком "+" и влево со знаком "-". ΔА – азимутальная поправка – угол между условным направлением и истинным меридианом, отсчитывается от условного направления вправо со знаком "+" и влево со знаком "-".
Аналогичными соотношениями связаны и истинный, магнитный и условный путевые углы:
ИПУ=МПУ+(+/-
ΔМ) 
УПУ=МПУ+
ΔМy
УПУ =ИПУ + ΔА;
МПУ= ИПУ- (+/- ΔМ) (рис. 128).                                                                                                               .

Рис. 128. Зависимость между истинным, магнитным и условным курсами

Курс, измеренный с помощью магнитного компаса и отличающийся от магнитного курса на величину девиации (
ΔК), называется компасным курсом (КК).
С помощью магнитного компаса, если полностью скомпенсирована девиация, измеряется магнитный курс самолета.
Девиация ( от лат. devio – уклоняюсь с дороги.  Девиация магнитная – разность между истинным магнитным курсом летательного аппарата и магнитным курсом,  измеренным бортовым устройством например, магнитным компасом); обусловлена собственным маг-нитным полем ЛА.
В зависимости от того, какие материалы – магнитно-твёрдые или магнитно-мягкие определяют собственное магнитное поле ЛА, девиация ведёт себя по разному при развороте ЛА по курсу на 360°.
Если магнитное поле обусловлено магнитно- твёрдыми материалами (их намагниченность может измениться только под действием сильных магнитных полей), то при разво-роте ЛА на 360° девиация дважды меняет знак и называется полукруговой.
Если же основное влияние оказывают магнитно - мягкие материалы (их намагниченность может меняться под действием слабых магнитных полей, в том числе магнитного поля земли), то при развороте на 360° девиация изменит знак четырежды и называется четвертной.
Девиация вызывает погрешность в измерении магнитного курса ЛА, и её необходимо учитывать при решении навигационных задач. (данные берутся из бортового графика списания девиации).
Чтобы  измерить   на  карте  истинный курс  воздушного  судна,  необходимо  нанести  линию  заданного  пути (ЛЗП),  для  чего  соединить  прямой  линией  две  точки:  например – исходный  пункт  маршрута (ИПМ)  и  первый  поворотный  пункт  маршрута (ППМ). Затем  с  помощью  транспортира  измерить  угол,  заключённым  между  северным  направлением  меридиана,  проходящего  через  ИПМ  и  линией  заданного  пути.
Для получения ЗМПУ (МК) и нанесения его на карту, необходимо из истинного курса (ИК)  вычесть со своим знаком значение магнитного склонения. МК = ИК – (+/-Δм)  или  ЗМПУ = ЗИПУ – (+/-ΔМ).
Условием точного измерения курса в полете является тщательное выполнение в установленные сроки подготовки приборов к полету, включающей:
  • устранение установочных ошибок компасов;
  • определение девиации магнитных компасов.
Указанные работы производятся в соответствии с действующими инструкциями и техническими описаниями курсовых приборов.
Определение курса с помощью компаса КИ-13 необходимо производить только в установившемся режиме полета (без ускорений) в такой последовательности:
  • отсчитать среднее значение компасного курса КК (в течение 5-10 сек);
  • учесть девиацию Δк и вычислить магнитный курс: МКср=ККср+Δк.
В штурманских расчётах используется навигационное направление ветра, или так называемый навигационный ветер. Перевод метеорологического направления ветра в навигационное относительно магнитного меридиана и обратно выполняется по формулам: δн = δм  + - 180°. Знак + берётся, если направление ветра меньше 180°, а знак  -  если направление ветра больше 180°.

2.4.3  Определение полетного времени воздушного судна
Полетное время на самолёте ( дельталете) определяется по часам АЧХО устанавливаемым на приборной доске или по наручным часам пилота.
Перед взлетом производится нажатие кнопки "время полета".
При полете по маршруту производится отдельный отсчет времени от ИПМ до ППМ1, ППМ2 
 
2.5.   Навигационная  линейка НЛ-10м


 
  • 1, 2 - для расчёта путевого времени, путевой скорости, для решения задач на умножение и деление;
  • 1, а - для расчёта параметров разворота;
  • 8, 4, 5 - для определения тригонометрических функций углов, решения навигационного треугольника скоростей по теореме синусов и расчета радиуса разворота (угла крена);
  • 6 - для возведения в квадрат и извлечения квадратного корня (совместно со шкалой 5  или 1 и 2);
  • 7, 8, 9 - для перерасчёта высоты полета при Н <12000 м:  
  • 12,14, 15 - для перерасчёта высоты полета при Н >12000 м;
  • 12, 13, 14, 15, 16 - для перерасчёта воздушной скорости;
  • 15,16 - для перерасчёта единиц измерения (мили, футы, км);
  • 17 - для измерения расстояний на карте.
2.5.1 Определение угла сноса (УС) и путевой скорости полёта (W) на навигационной линейке НЛ-10м
Угол сноса и путевая скорость полёта на навигационной линейке НЛ-10м определяется при известных направлении ветра, скорости ветра(U), истинной скорости(V), магнитного курса (МК) воздушного судна.
Пример расчёта угла сноса
Условия задачи:
  • Воздушная скорость 205 км/ч.
  • Заданный путевой угол 65 градусов.
  • Скорость и направление ветра 16 км/ч. 310 градусов. Ветер дан уже навигационный (куда дует).
Навигационная линейка НЛ-10М, в отличии от E-6B или отечественного расчётчика НРК-2, не имеет круговых шкал. Поэтому, при равных возможностях, конструкция прибора существенно упрощается, но при этом теряется некоторая наглядность при работе с угловыми величинами. При расчёте элементов навигационного треугольника нам также придётся вычислять дополнительный параметр, называемый угол ветра (УВ).

Рассчитываем угол ветра (УВ)

Для вычисления угла ветра (УВ) желательно представить круглую угловую шкалу (обычный транспортир) и на ней взаимное расположение двух векторов - навигационного ветра и заданного путевого угла.
Значение УВ равно углу между этими векторами.  В нашем случае имеем значения 310 градусов (навигационный ветер) и 65 градусов (ЗПУ). Такие значения удобнее считать по часовой стрелке. До нулевого значения от 310 градусов не хватает 50 градусов. Прибав-ляем к ним 65 и получаем 115 градусов (УВ=(360-310)+65=115 градусов).
Сразу отмечаем для себя то, что УВ больше 90 градусов, значит ветер имеет встречную составляющую и сдувает нас влево, поэтому УС получится отрицательный. Путевая скорость должна получиться меньше воздушной.
Ключ: воздушная скорость и УВ
Для того что бы лётчик не путался при вычислении элементов навигационного треугольника, на правой части подвижной шкалы НЛ-10М нанесён ключ:

 
 
Согласно ключа ставим визир по шкале 5 на значение нашей воздушной скорости (205 км/ч), а подвижную шкалу 3 совмещаем с линией визира на рассчитанном выше значении угла ветра (УВ), равного 115 градусов.

 
 
Воздушная скорость V=205 км/ч (шк.5), угол ветра УВ=115 градусов (шк.3).    
Определяем угол сноса.
Ориентируясь по тому же ключу, сдвигаем визир на заданное значение скорости ветра   Ừ =16 км/ч по шкале 5. Прямо над ним, по шкале 4, получаем значение угла сноса, равное 4 градуса. Выше мы определили, что снос у нас отрицательный (влево), поэтому принимаем УС=-4 град.

 
 
Скорость ветра Ừ=16 км/ч (шк.5), значение угла сноса 4 градуса без учёта знака (шк.4)
Величину угла сноса мы считали не по шкале 3, как того требует ключ, а по шкале 4.  На шкале 3 значения малых углов синусов не нанесены. Для них используется шкала тангенсов (шк.4), так как при малых значениях углов они практически совпадают со шкалой синусов. Но только при малых!

Определяем путевую скорость
Согласно рисунку ключа, для получения путевой скорости нам требуется сложить, с учё-том знаков, значения УВ и только что определённого УС. Так как УВ в данном примере больше 90 градусов (опять представляем в уме круглую шкалу с двумя векторами), зна-чит, ветер встречный и путевая скорость будет меньше воздушной. Бросаем взгляд на шкалы - в какую сторону уменьшается скорость для нашего значения? При сложении УВ и УС или вычитании?. В данном примере при увеличении угла, следовательно ,складываем. УВ+УС=115+4=119 градусов. Ставим визир к 119 на шкале 3 и со шкалы 5 считываем на визире значение путевой скорости. Получилось 198 км/ч.

 
 
УВ+УС=119 градусов (шк.3), путевая скорость W=198 км/ч (шк.5).

В данном случае мы использовали значение УВ по модулю. На самом деле он имеет знак, и в руководствах по использованию НЛ-10М рекомендуют немного иную методику его определения. На линейке, кроме ключа, рядом нанесена ещё формула вычисления угла ветра УВ=НВ-ПУ, где НВ, это направление ветра (или навигационный ветер). По формуле у нас получилось бы 310-65=245 градусов. Так как УВ не может быть более 180, считаем дополнение этого значения до 360. Получаем те же самые  360-245=115 градусов. Но, так как мы брали дополнение, то знак УВ становится отрицательным. УС у нас тоже отрицательный, поэтому для ключа мы использовали бы ту же самую сумму -115+(-4)=-119 градусов.
Пример: S пр=15 км; Sост=14 км; ЛБУ=1 км         
Определение бокового уклонения.
ЛБУ = 1 км;  БУ = 3° 50 мин

Определение дополнительной поправки.
ДП = 4°0,5 мин

Рис. 129. Определение дополнительной поправки по боковому уклонению.

Результат ДП должен совпасть во 2-м и 3-м случае.

3.  Штурманская подготовка к полету

Штурманская подготовка к полету включает: подготовку экипажа, подбор и подготовку карт, прокладку маршрута на карте, расчет полета, изучение маршрута, изучение метеорологических условий, разработку штурманского плана полета, подготовку самолетного навигационного оборудования и штурманского снаряжения, разработку вспомогательных графиков и таблиц, а также контроль к полету.
Основной формой штурманской подготовки к полету является самостоятельная подготовка экипажей.
Подготовка карт
Подготовка полетной карты состоит в подборе и склейке листов карты района полетов, в нанесении на полетную карту государственной границы. На полетной карте должны быть подняты характерные ориентиры, отметки основных высот местности и препятствий.
Выбор масштаба карт производится в зависимости от их назначения.

3.1.   Выбор маршрута, профиля и режима полета
Маршрут, профиль и режим полета выбирается в зависимости от характера задания с учетом:
  • местонахождения цели и наивыгоднейшего направления захода на нее;
  • надежность ориентировки и отыскания цели и наименьшее количество изломов маршрута;
  • рельефа местности и состояния погоды по маршруту;
  • запретных зон и зон с особым режимом полетов;
  • тактико-технических возможностей и условий базирования дельталетов, выполняющих полет.
Основными точками, определяющими маршрут полета являются:
  • исходный пункт маршрута (ИПМ);
  • поворотные пункты маршрута (ППМ);
  • точка разворота на цель (ТРЦ);
  • конечный пункт маршрута (КПМ);
  • контрольные ориентиры (КО).
При выборе основных точек маршрута необходимо руководствоваться следующими положениями:
  • в качестве ИПМ берется аэродром вылета или характерный ориентир в районе аэродрома;
  • в качестве ППМ выбираются характерные естественные или искусственные ориентиры;
  • в качестве ТРЦ выбирается характерный ориентир. Расположение ТРЦ относительно цели определяется направлением захода на цель и маневром в районе цели;
  • в качестве КПМ выбирается характерный ориентир в районе аэродрома, на расстоянии, обеспечивающем заход на посадку в минимальное время;
  • в качестве КО выбираются хорошо видимые с высоты полета характерные ориентиры на линии пути или вблизи нее в пределах визуальной видимости.
3.2.  Прокладка маршрута
Прокладка маршрута на полетной карте включает прокладку линии пути, отметку основных точек маршрута, разметку расстояний, путевых углов и времени полета, разметку отрезков пути по времени и отметку расчетного времени прибытия на цель, отметку рельефа и магнитных склонений.
Линия заданного пути прокладывается на карте от ИПМ до КПМ сплошной линией, четко выделяющейся на фоне карты.
Никаких пометок от аэродрома взлета до ИПМ и от КПМ до аэродрома посадки на карте не делается.
Основные точки маршрута на карте обводятся кружками диаметром 10 мм. Участки маршрута между контрольными ориентирами и поворотными пунктами прокладываются по прямой.
При прокладке маршрута необходимо учитывать радиус разворота дельталета (самолета). Поворотные пункты маршрута в этом случае принимаются за точки начала разворота на очередные участки маршрута (рис. 130).


Рис. 130. Прокладка маршрута на карте.


Линия пути от ИПМ прокладывается непосредственно на первый поворотный пункт. Затем через ППМ проводится дуга окружности, касательная к линии заданного пути, радиусом равным радиусу разворота дельталета (самолета) в масштабе карты. Линия пути на следующем участке маршрута проводится как касательная к этой окружности, проходящая через очередной ППМ.
У начала каждого этапа маршрута должны быть записаны на карте все необходимые данные для выполнения полета (расстояние, время полета, магнитный путевой угол, 5 минутные отрезки). Все цифры записываются размером 7-10 мм. Расстояния между контрольными ориентирами измеряются и наносятся на карту правее линии пути (по направлению полета). Цифры, обозначающие расстояние, подчеркиваются чертой, под которой подписывается штилевое  время полета между ориентирами в минутах и секундах (рис. 130, приложение №2).
Длина прямолинейных участков маршрута снимается с полетной карты. Длина участка разворота определяется по формуле:

R – радиус разворота;
УР – угол разворота, град.

Общая длина маршрута определяется как сумма расстояний от ИПМ до КПМ.
Магнитные путевые углы измеряются относительно средних меридианов участков маршрута. Магнитные путевые углы наносятся справа от разметки расстояний и штилевого времени.
Для удобства счисления пройденного и оставшегося расстояния производится разметка пути на участках от ИПМ до КПМ. Величина отрезков при разметке пути, как правило, берется равной  5 минут полета. Отрезки пути обозначаются штрихами вправо от линии пути с оцифровкой в километрах или минутах, причем оцифровка может производиться как по пройденному (от ИПМ), так и по оставшемуся (до КПМ или цели) расстоянию.
При необходимости на карту может наноситься расчетное время прибытия в любые точки маршрута.
Отметки характерных высот местности, имеющих значение для безопасности полета и ориентировки, находящиеся вблизи маршрута, обводятся черным прямоугольником.
Величина магнитного склонения наносится на карту в стороне от линии пути на видном месте красной цифрой со своим знаком и обводится красным кружком. Цель обозначается крестом в кружке.

3.3.  Расчет полета
Расчет полета производится пилотом после прокладки маршрута и имеет целью определить следующие элементы полета:
  • длину участков маршрута между контрольными ориентирами и общую длину маршрута;
  • путевое время по участкам маршрута, по всему маршруту и общую продолжительность полета;
  • резерв летного времени в зависимости от продолжительности полета и запаса топлива;
  • время вылета и прохода ИПМ для прибытия на цель или аэродром посадки в заданное время;
  • время посадки;
  • время наступления темноты и рассвета;
  • безопасную высоту полета;
  • необходимые данные для применения технических средств самолетовождения.
Расчет полета подразделяется на предварительный и окончательный.
Предварительный расчет полета производится по истинной воздушной скорости полета без учета ветра. Данные этого расчета наносятся на карту.
Окончательный расчет полета производится перед вылетом с учетом данных о ветре, полученных от разведчиков погоды по маршруту или на основании метеорологических данных давностью не более 3 часов. Данные шаропилотного ветра в районе аэродрома должны быть давностью не более 1 часа.
Общая продолжительность полета определяется как сумма времени взлета, построение боевого порядка, полета до ИПМ, от ИПМ к цели, пребывания над целью, полета от цели до КПМ, от КПМ до аэродрома, роспуска боевого порядка и посадки.
Для каждого маршрутного полета устанавливается безопасная высота полета, полностью исключающая возможность столкновения с землей и искусственными препятствиями.
Инженерно-штурманский расчет полета (Приложение №3) выполняется с использованием характеристик двигателя  в зависимости от режима его работы. Исходными данными для расчета являются:
  • запас топлива на дельталете (самолете);
  • максимальный взлетный вес;
  • маршрут, высота и скорость полета по этапам;
  • время полета до ИПМ, ППМ и маневра над целью, время полета до аэродрома посадки, время захода на посадку;
  • запас топлива, потребный для повторного захода на посадку;
  • направление и скорость ветра;
  • гарантийный запас горючего на разброс технических характеристик дельталета и двигателя (уточняется практическими замерами для каждого дельталета (самолета);
  • 5 % навигационный запас топлива на возможное изменение ветра, учет ошибок в его определении и прогнозировании, берущийся от горючего, расходуемого на полет по маршруту.
В результате инженерно-штурманского расчета должно быть определено:
  • общее расстояние и продолжительность полета;
  • расход топлива по этапам полета и его остаток у контрольных ориентиров, с учетом гарантийных запасов;
  • остаток топлива при выходе на аэродром и после посадки;
  • необходимое количество заправляемого топлива.
3.4.  Изучение маршрута полета
Изучение маршрута производится одновременно с прокладкой его на полетной карте и дополняется изучением сведений экипажей, ранее летавших по этому маршруту. Изучение маршрута ведется в полосе шириной 25 км.
В результате изучения маршрута экипаж должен знать:
  • систему характерных ориентиров по маршруту их особенности и возможность использования для ориентировки;
  • местонахождение аэродромов, посадочных площадок, зон с особым режимом полета;
  • рельеф местности по маршруту и безопасную высоту полета;
  • ориентиры, определяющие государственную границу;
  • порядок восстановления ориентировки по участкам маршрута;
  • участники пересечения воздушных трасс.
3.5.  Разработка штурманского плана полета
Содержание штурманского плана полета (Приложение №4) определяется характером задания, оборудованием дельталета (самолета) и навигационной обстановкой полета. Штурманский план полета наносится на карту или составляется в виде схемы маршрута, на которой записывается порядок действий экипажа в воздухе от момента взлета до момента посадки.
Пилоты дельталетов и одноместных самолетов штурманский план полета заучивают на память, а отдельные элементы записывают на наколенном планшете или наносят на полетную карту.
В штурманском плане полета должны быть указаны:
  • порядок взлета и маневр для выхода на ИПМ;
  • безопасные высоты по этапам маршрута;
  • способы контроля и исправления пути по этапам маршрута;
  • порядок выхода на цель;
  • способы контроля и исправления пути при полете от цели;
  • способ выхода на КПМ и аэродром посадки;
  • действия экипажа, при потере ориентировки;
  • действия при резком ухудшении погоды.






3.6. Изучение метеорологических условий
В результате изучения метеорологических условий летный состав должен знать:
  • фактическую погоду по маршруту, в районе цели и на запасных аэродромах;
  • видимость и характер облачности, возможность ведения визуальной ориентировки;
  • возможность изменения погоды за время полета;
  • возможность появления опасных для полета метеорологических явлений;
  • данные о ветре по маршруту на различных высотах;
  • видимость и атмосферное давление на уровне ВПП аэродрома посадки.
3.7. Проверка готовности к полету
Проверка готовности к полету производится в целях исключения выпуска в полет неподготовленных экипажей. Ни один дельталет (самолет) не может быть выпущен в полет без проверки готовности экипажа к полету.
Формами контроля подготовки к полету являются:
  • проверка полетной документации;
  • устный опрос экипажей;
  • розыгрыш полета;
  • проверка исправности и подготовленности к полету оборудования дельталета и штурманского снаряжения (наколенный планшет летчика, счетно-измерительные штурманские инструменты (навигационная линейка, транспортир, циркуль, карандаш, резинка), таблицы, схемы, графики, позволяющие упростить решение ряда задач;
  • проверка наручных часов.
4.   Общие правила воздушной навигации

При выполнении каждого полета экипаж обязан соблюдать общие правила самолетовождения:
  • непрерывно вести контроль за курсом, скоростью, высотой, временем полета и остатком горючего;
  • сохранять ориентировку в течение всего времени полета, используя для этого все технические средства и расчеты;
  • своевременно исправлять уклонения дельталета (самолета) от линии заданного пути.
Для каждого немаршрутного полета (полет по кругу, в зону и т. п.) заранее предусматривается маневр, который должен быть заучен на память. В случае вылета по заданию, не предусмотренному заранее, экипаж должен строить маршрут полета, обеспечивая при этом точность самолетовождения, необходимую для выполнения задания, и непременное сохранение ориентировки в полете.

4.1.   Порядок выполнения маршрутного полета
Маршрутный полет одиночного самолёта ( дельталета) выполняется в определенном порядке, который заключается в следующем:
  • выход на исходный пункт маршрута (ИПМ);
  • выход на поворотный пункт (ППМ), полет к цели, точке выброса груза; выход на цель или в точку выброски груза;
  • выход на исходный пункт обратного маршрута и полет по линии заданного пути (после выполнения задания);
  • выход на конечный пункт маршрута (аэродром посадки);
  • построение маневра для захода на посадку.
Определение курса следования для полета по линии заданного пути
Курсом следования называется такой курс, при выдерживании которого фактический путевой угол равен заданному путевому углу. Курс следования для полета по линии заданного пути может быть рассчитан по известному ветру. Достоинство данного способа состоит в том, что курс следования определяется заблаговременно.
Если по условиям обстановки невозможно сделать расчеты, то отход от ИПМ (поворотного пункта) производится с курсом равным ЗПУ, а затем выход на ЛЗП производится подбором курса по створу ориентиров или линейному ориентиру.
При отходе от ИПМ и поворотных пунктов следует особенно тщательно контролировать правильность взятого направления полета.

4.2  Контроль и исправление пути
В процессе полета экипаж должен непрерывно вести контроль пути и вносить необходимые исправления в режим полета для точного следования по заданному маршруту и точного выхода на контрольные ориентиры, поворотные пункты и на цель по месту и времени.
Уклонение дельталета (самолета) от линии заданного пути, а также неточный по времени пролет контрольных ориентиров могут произойти вследствие ошибок в навигационных расчетах, неточного выдерживания режима полета, ошибок в показаниях приборов, а также в результате изменения ветра.
Для контроля пути, а также для выполнения задания в процессе полета периодически производится определение места самолета. Для этих целей используется визуальная ориентировка, штурманский глазомер и расчеты в уме.
Контроль пути может вестись по направлению, дальности и полный.
Контроль пути по направлению заключается в определении фактического направления полета в целях исключения ошибок в курсе и установления величины уклонения дельталета (самолета) от линии заданного пути. Особенно внимательно контроль пути по направлению должен осуществляться сразу же при отходе от аэродрома, ИПМ, поворотных пунктов и цели, так как несвоевременное обнаружение ошибок в курсе, ошибок в расчетах курса, путевого угла, ошибок в записях может привести к потере ориентировки.
Контроль пути по дальности состоит в определении пройденного или оставшегося до  контрольного ориентира расстояния для обеспечения точного выхода на него по времени. Основным условием точного прохода ориентиров в заданное время является соблюдение установленного режима полета.
В зависимости от навигационной обстановки контроль пути по дальности может быть выполнен следующими способами:
  • по отметкам МС (места самолёта) определяемым визуально по характерному линейному ориентиру, перпендикулярному к линии пути;
  • счислением пройденного пути дельталетом (самолетом) расстояния по путевой скорости и времени полета.
Полный контроль пути состоит в определении фактического местонахождения самолета (дельталета) относительно заданного маршрута, требуемого направления и скорости полета для точного выхода на цель (контрольный ориентир) по месту и времени.
Исправление пути заключается в изменении курса и скорости полёта с таким расчетом, чтобы вернуть дельталет (самолет) на линию заданного пути или направить его на очередной контрольный ориентир ( КО), поворотный пункт маршрута ( ППМ ) и вывести на цель или контрольный ориентир  в назначенное время (рис. 131).



Рис. 131.  Исправление пути самолета.


Исправление пути для выхода на очередной контрольный ориентир при небольших уклонениях достигается внесением поправки в курс. Величина поправки зависит от величины бокового уклонения, пройденного и оставшегося до контрольного ориентира ( КО) расстояния.
Отношение величины линейного бокового уклонения (ЛБУ) у КО к пройденному пути по ЛЗП (рис. 131) есть тангенс УС. По таблице Брадиса (Приложение №1) или на линейке НЛ-10 можно определить чему будет равен угол сноса в градусах. Если в штурманском плане полёта  нанести несколько фиксированных отклонений от ЛЗП у КО, то боковое уклонение визуально в градусах определяется как разность между ФПУ и ЗПУ или по линейному боковому уклонению (ЛБУ) от линии заданного пути. Величина бокового уклонения и дополнительной поправки в курс может быть определена глазомерно с помощью приблизительного правила:
  • если оставшееся расстояние равно пройденному, то поправка в курс равна 2 БУ (в градусах);
  • если оставшееся расстояние в два раза меньше пройденного, то поправка в курс равна 3БУ;
  • если оставшееся расстояние в 2-3 раза больше пройденного, то поправка в курс равна 1,5 БУ.
Пример: Sпр = 15км; Sост = 14км; ЛБУ = 1км.
На линейке НЛ-10 определяем БУ в град.  БУ = 3,8° (шкалы № 4,5),(стр.22).
Поправка в курс (ПК) будет равна около 8°.

5. Правила и порядок ведения ориентировки в полёте

Визуальной ориентировкой называется определение местонахождения самолета по опознанным ориентирам.
Под ориентиром понимается естественный или искусственный объект, выделяющийся на общем ландшафте местности (населенный пункт, река, дорога, мыс, гора, заводская труба, искусственный знак и т.д.) с известными координатами или положением, который может быть использован для определения местонахождения самолета по визуальным наблюдениям.
Визуальная ориентировка усложняется:
  • над мало ориентирной местностью (пустыней, степью, большим лесным массивом);
  • над малообследованными районами, для которых нет точных карт;
  • над местностью с большим количеством однообразных ориентиров;
  • над местностью, покрытой снегом, разливами рек и озер;
  • в горной местности.
При полетах над мало ориентирной местностью для ориентировки следует использовать не только крупные, но и мелкие ориентиры: отдельные возвышенности, овраги, балки, дороги, тропы, отдельные строения и т. д.
При полетах над местностью с большим количеством однообразных ориентиров для ведения визуальной ориентировки следует использовать наиболее характерные из них.
При ведении визуальной ориентировки в горном районе необходимо учитывать следующее:
  • за склонами гор образуются не просматриваемые пространства;
  • дороги в горной местности малозаметны;
  • небольшие реки в зависимости от времени года и погоды могут полностью  высохнуть или иметь большие разливы;
  • сокращается время на опознавание ориентиров.
Условия визуальной ориентировки  в значительной мере зависят от времени суток. Сумерки сокращают дальность видимости ориентиров и лишают их окраски, вследствие чего появляется однотонность и скрадываются отдельные детали объектов. В сумерках видимость ориентиров резко ухудшается. Экипажу приходится наблюдать затемненную земную поверхность из освещенного пространства. Кроме того, в это время суток иногда резко ухудшается прозрачность воздуха из-за образовавшейся дымки и радиационных туманов.
В ясную лунную ночь условия ориентировки почти не отличаются от дневных условий. Ориентиры хорошо различимы, но выглядят несколько иначе, чем днем. Большое значение имеет расположение наблюдателя и ориентиров относительно Луны. Когда Луна находится высоко над горизонтом, ориентиры видны и распознаются довольно легко, особенно, если они находятся в той части горизонта, где расположена Луна.
При низком положении Луны над горизонтом лучше заметны ориентиры в противоположном от Луны направлении.
В темную безлунную ночь условия визуальной ориентировки затруднены. Неосвещенные пункты заметны в виде серого пятна с расплывчатыми очертаниями, а, при горизонтальной видимости меньше 4-5 км, совсем не видны.
При полетах на малых высотах и больших скоростях резко уменьшается время на отыскание и распознавание ориентиров вследствие малых дальностей их обнаружения и больших угловых скоростей перемещения. Ориентиры, даже недалеко расположенные, видны не в плане, а в перспективе.
В случае, когда экипажу хорошо знакомы вид и характер ориентира, его опознавание значительно ускоряется и нередко происходит одновременно с обнаружением ориентира.
При выполнении полета на малых высотах особое значение приобретают точный полет по маршруту и тщательное счисление пути, позволяющие существенно уменьшить размеры зоны поиска ожидаемого ориентира.
Местность считается опознанной, если экипаж узнает наблюдаемые на ней ориентиры, фактический вид которых совпадает с их изображением на карте. Отличительные признаки наиболее характерных ориентиров по маршруту полета должны быть изучены в такой степени, чтобы их можно было опознавать в полете без карты.
Визуальной ориентировкой местонахождение самолета может быть определенно с высокой точностью и большой достоверностью по взаимному расположению относительно самолета одного или нескольких ориентиров.
Визуальная ориентировка применяется:
  • для выхода на малоразмерные и подвижные цели, особенно при полете на малых и предельно малых высотах;
  • для отыскания заданных объектов в указанном экипажу районе и определения их местонахождения в момент наблюдения;
  • для контроля пути определением местонахождения самолета и линии фактического пути.
При ведении визуальной ориентировки необходимо соблюдать следующие правила:
  • следить за курсом полета и вести счисление пути, чтобы создать благоприятные условия для сличения карты с местностью в районе предполагаемого местонахождения самолета;
  • ввиду ограниченного времени на распознавание необходимо ожидать появление ориентира в пределах видимости, заранее определяя, какой ориентир с какого направления должен появиться;
  • опознать сначала крупные, наиболее характерные ориентиры, а затем более мелкие;
  • опознавать ориентиры не по одному, а по нескольким признакам, чтобы не спутать ориентиры, похожие один на другой.
Определение места самолета можно производить только тогда, когда имеется твердая уверенность в правильном опознавании ориентиров.
Для ведения визуальной ориентировки необходимо:
  • определить район вероятного местонахождения самолета (глазомерно или с помощью технических средств самолетовождения);
  • в пределах найденного района выбрать на карте характерные ориентиры, которые наиболее легко могут быть обнаружены в данных условиях полета;
  • после обнаружения и опознавания выбранных ориентиров определить местонахождение самолета;
Опознавание ориентиров может производиться либо способом перехода "от карты к местности", либо "от местности к карте".
Способ опознавания ориентиров переходом "от карты к местности" является основным и применяется во всех случаях, когда имеется возможность хотя бы приближенно, определить район своего местонахождения.
Способ опознавания ориентиров переходом "от местности к карте" может применяться при полетах на больших высотах в условиях хорошей видимости ориентиров.
Для успешного ведения визуальной ориентировки летный состав должен:
  • отлично изучить район предстоящих полетов, твердо запомнив систему основных линейных и площадных ориентиров и их вид с воздуха в определенное время года;
  • уметь читать авиационные карты, т. е. знать, как изображенный на карте топографическим знаком ориентир будет выглядеть на местности при наблюдении с самолета;
  • уметь выбирать на местности, обозреваемой с самолета, такие ориентиры и их признаки, которые проще всего могут быть найдены на карте;
  • уметь вести счисление пути глазомерным способом;
  • уметь оценивать на глаз удаление от наблюдаемых на местности ориентиров с разных высот;
  • знать места расположения светотехнических средств самолетовождения и данные об их работе.
При соблюдении правил и точном следовании самолета по линии заданного пути, надежность ведения визуальной ориентировки очень высока. при уклонении самолета от маршрута вероятность опознавания ориентиров существенно снижается.

Условия ведения визуальной ориентировки

Условия ведения визуальной ориентировки определяются:
  • характером и видимостью ориентиров;
  • характером местности;
  • метеорологическими условиями полета;
  • временем года и суток;
  • высотой и скоростью полета;
  • условиями обзора с самолета;
  • масштабом карты.
От видимости и характера ориентиров зависит дальность, с которой они могут опознаваться. Средняя дальность видимости ориентиров в зависимости от высоты полета приведена в таблице.



5.1. Безопасность самолётовождения
Строгое выполнение правил самолётовождения является основным условием обеспечения безопасности полётов, исключающим потерю ориентировки, столкновение летательного аппарата с землёй, наземными препятствиями и самолётами в воздухе, непредусмотренное летательного аппарата в зоны с особым режимом полёта и на территорию соседних государств, попадание в опасные атмосферные условия и в зоны радиоактивного заражения, а также нарушение установленного режима полётов.

5.1.1.  Причины потери ориентировки
В полете экипаж должен все время сохранять ориентировку, т. е. знать свое местонахождение с точностью, необходимой для определения дальнейшего направления полета и выполнения поставленной задачи.
Ориентировка считается временно потерянной, если экипаж в полете своевременно восстановил ее, выполнил поставленную задачу и благополучно произвел посадку на заданном или запасном аэродроме.
Ориентировка считается полностью потерянной, если экипаж в полете ее не восстановил или восстановил несвоевременно, что привело к невыполнению поставленной задачи полета и вынужденной посадке.
Основными причинами потери ориентировки являются:
  • неудовлетворительная штурманская подготовка экипажа к полету;
  • нарушение основных правил самолетовождения;
  • неумение вести визуальную ориентировку;
  • неподготовленность экипажа к полету в усложнившихся условиях.
При потере ориентировки экипаж обязан:
  • не допускать необдуманных и поспешных действий;
  • доложить о потере ориентировки руководителю полетов;
  • передать сигналы о потере ориентировки "Полюс" или "Сос" ("терплю бедствие") на волне связи с наземной радиостанцией;
  • перейти на режим максимальной продолжительности полета, набрать высоту, обеспечивающую безопасность полета и наилучший обзор местности;
  • оценить обстановку, определить остаток топлива и в зависимости от условий полета принять решение о порядке восстановления ориентировки в соответствии с инструкцией по производству полетов данного аэродрома;
  • если потеря ориентировки произошла вблизи государственной границы, взять курс на свою территорию;
  • приступить к восстановлению ориентировки, соблюдая меры безопасности полета и применяя способы, предусмотренные штурманским планом полета;
При потере ориентировки нельзя допускать паники, спешки, полета с произвольными курсами

5.1.2. Восстановление ориентировки
Восстановление ориентировки надо начинать с определения места самолёта наиболее надёжным способом.
Ввиду отсутствия на сверхлёгких летательных аппаратах радиотехнических средств самолётовождения, основной способ восстановления ориентировки визуальный, путём сличения карты с местностью, либо выходом на линейный или характерный крупный ориентир. Для выхода на линейный ориентир и определения курса следования на него необходимо определить возможный район своего местонахождения. Для этого надо выбирать такой ориентир, который находится заведомо за пределами района местонахождения воздушного судна (рис. 132) и следовать с курсом, перпендикулярным к линейному ориентиру.


Рис.132. Восстановление ориентировки выходом на линейный ориентир.

При полёте к ориентиру путём сличения карты с местностью приступить к восстановлению ориентировки. Если до выхода на линейный ориентир ориентировка не была восстановлена, то после выхода на него продолжать полёт вдоль ориентира в сторону наиболее вероятного местонахождения характерных ориентиров до полного восстановления ориентировки.
При потере ориентировки в групповом полёте ведущий группы руководствуется общими правилами восстановления ориентировки. Кроме того, запрашивает ведомые экипажи о местонахождении. При необходимости передаёт управление группой одному из ведомых, знающему своё местонахождение.
При отсутствии радиосвязи в группе экипаж, уверенно знающий своё местонахождение, после сигнала ведущего о потере ориентировки, должен выйти вперёд и показать свою готовность вести группу.
Если ориентировку восстановить не удалось то, не дожидаясь остановки двигателя,  подобрать площадку с воздуха и произвести посадку.

5.1.3 Безопасность от столкновения  и попадания в запретные зоны
Безопасность от столкновений с наземными препятствиями, особенно в условиях ограниченной видимости, достигается полётом на высоте не ниже безопасной.
Безопасной высотой называется минимально допустимая истинная высота полёта гарантирующая экипаж воздушного судна от столкновения с земной (водной) поверхностью или препятствиями. Истинная безопасная высота по маршруту устанавливается с учётом уровня подготовки экипажа, условий полёта, рельефа местности и точности высотомеров. При полётах на большую дальность и на малых высотах безопасная высота может устанавливаться для каждого этапа маршрута, отличающегося один от другого характером рельефа местности.
Экипаж при подготовке к полёту обязан рассчитывать безопасную приборную высоту по барометрическому высотомеру, с учётом рельефа местности, высоты препятствий с учётом инструментальной поправки высотомера.
Предотвращение столкновений с воздушными судами в воздухе обеспечивается полётом на установленной каждому экипажу высоте эшелона с соблюдением заданных режимов, которые указываются в задании на полёт.
Для предотвращения попадания в запретные зоны и непредусмотренного попадания на территорию соседних государств необходимо тщательно изучить режимы полётов, государственную границу, знать ориентиры, облегчающие распознавание их. Маршрут назначается так, чтобы исключить возможность попадания в запретные зоны или перелёта государственной границы.

6. Воздушная навигация СЛА в структуре воздушного пространства

6.1. Виды полетов воздушных судов
Полеты воздушных судов в воздушном пространстве Российской Федерации подразделяются:
по правилам выполнения:
  • полеты по правилам визуальных полетов (ПВП);
  • полеты по правилам полетов по приборам (ППП).
  • по использованию элементов структуры воздушного пространства:
  • трассовые полеты – по воздушным трассам и местным воздушным линиям (МВЛ);
  • маршрутные полеты – по маршрутам вне воздушных трасс и МВЛ;
  • маршрутно-трассовые полеты – по воздушным трассам и МВЛ и вне их;
  • аэродромные полеты – в районе аэродрома или в дополнительно выделенном воздушном пространстве под управлением органа ОВД (управления полетами) аэродрома.
по метеорологическим условиям выполнения:
  • в визуальных метеорологических условиях;
  • в приборных метеорологических условиях.
по количеству воздушных судов:
  • одиночные полеты;
  • групповые полеты.
по времени суток:
  • дневные – в период между восходом и заходом солнца;
  • ночные – в период между заходом и восходом солнца;
  • смешанные – при выполнении которых в период от взлета до посадки происходит переход от дневного полета к ночному или наоборот.
по физико-географическим условиям, месту и способу выполнения:
  • над равниной и холмистой местностью;
  • над горной местностью;
  • над безориентирной местностью и пустыней;
  • над водной поверхностью;
  • в полярных районах.
по высоте выполнения:
  • на предельно малых высотах – до 200 м  включительно над рельефом местности или водной поверхностью;
  • на малых высотах – свыше 200 м до 1000 м включительно над рельефом местности или водной поверхностью;
  • на средних высотах – свыше 1000 м до 4000 м включительно;
  • на больших высотах – свыше 4000 м до 12000 м (до тропопаузы включительно).
Для успешного выполнения полетного задания необходимо знать основы самолетовождения.
        
6.2. Структура воздушного пространства
Воздушное пространство над территорией  Российской Федерации, а также за её пределами, где ответственность за организацию воздушного движения возложена на РФ, делится на нижнее и верхнее воздушное пространство.
Границей нижнего и верхнего воздушного пространства является эшелон 8100 м, который относится к верхнему воздушному пространству.

6.2.1  Структура воздушного пространства включает в себя следующие элементы:
а) зоны и районы (зоны и районы Единой системы, районы полётной информации, диспетчерские районы, диспетчерские зоны);
б) маршруты обслуживания воздушного движения;
в) районы аэродромов ( аэроузлов, вертодромов);
г) специальные зоны (зоны отработки техники пилотирования, пилотажные зоны, зоны испытательных полётов, зоны полётов воздушных судов на скоростях превышающих скорость звука, полётов воздушных судов на дозаправку топливом в воздухе, полётов воздушных судов с переменным профилем и т.д.);
д) маршруты полетов воздушных судов;
е) запретные зоны;
ж) опасные зоны;
з) зоны ограничения полётов);
и) другие элементы, устанавливаемые для осуществления деятельности в воздушном пространстве.
Границы элементов структуры воздушного пространства устанавливаются по географическим координатам и высотам.
Запретные зоны устанавливаются в воздушном пространстве РФ для защиты важных государственных объектов, ключевых промышленных комплексов (атомных электростанций, ядерно-радиационных объектов, химически опасных объектов, а также других особо важных объектов с точки зрения национальной безопасности страны) от вредных воздействий и разрушений возникающих в результате возможных происшествий в воздушном пространстве.
Опасные зоны устанавливаются в воздушном пространстве РФ в районах лесных пожаров и вулканической деятельности, промышленных районах с постоянной повышенной задымлённостью.
Зоны ограничения полётов устанавливаются в воздушном пространстве РФ над объектами (в районах) где полёты воздушных судов необходимо ограничивать по времени или по условиям их выполнения.
Зоны ограничения полётов устанавливаются в интересах следующих видов деятельности:
а) проведение на полигонах стрельб;
б) проведение противоградовых стрельб;
в) проведение работ с боеприпасами на объектах их хранения;
г) осуществление  научных исследований в атмосфере;
д) проведение взрывных работ;
е) выполнение полётов в специальных зонах вне районов аэродромов.
Зоны ограничения полётов могут устанавливаться над государственными природными заповедниками, национальными парками, памятниками истории и культуры, а также над охраняемыми объектами.
Над территорией Российской Федерации вдоль её государственной границы устанавливается приграничная полоса- воздушное пространство, примыкающее к государственной границе РФ, шириной 25 км с особым режимом его использования.

6.2.2. Классификация воздушного пространства.
Там, где ответственность за организацию воздушного движения возложена на РФ,  воздушное пространство классифицируется:
а) класс А – разрешаются полёты, выполняемые только по правилам полётов по приборам (ППП). ВС обеспечиваются диспетчерским обслуживанием и эшелонируются.
Постоянная двухсторонняя радиосвязь обязательна. Разрешение на использование воздушного пространства обязательно;
б) класс С – разрешаются полёты, выполняемые по правилам полётов по приборам (ППП) и правилам визуальных полётов (ПВП). ВС обеспечиваются диспетчерским обслуживанием. ВС, выполняющие полёты по ППП, эшелонируются относительно других ВС, летящих по ППП и ПВП. Постоянная двухсторонняя радиосвязь обязательна. Полёты выполняются при наличии разрешения на использование воздушного пространства.
в) класс G – разрешаются полёты по ППП и ПВП. Эшелонирование ВС не производится. Все полёты по запросу обеспечиваются полётно – информационным обслуживанием.

6.2.3. Уведомительный порядок использования воздушного пространства
Под уведомительным порядком использования воздушного пространства понимается предоставление пользователям воздушного пространства возможности выполнения полётов без получения диспетчерского разрешения.
Пользователи воздушного пространства, планирующие выполнение полётов в воздушном пространстве класса G, обязаны уведомить соответствующие органы обслуживания воздушного движения (управления полётами) о своей деятельности в соответствии с табелем сообщений о движении воздушных судов в РФ.
При планировании полётов в воздушном пространстве класса G пользователи воздушного пространства руководствуются аэронавигационной и метеорологической информацией.
При выполнении полётов воздушных судов по правилам визуальных полётов в воздушном пространстве класса G пересечение воздушного пространства класса C (районов аэродромов и местных воздушных линий) осуществляется после получения командиром воздушного судна диспетчерского разрешения соответствующего органа обслуживания воздушного движения (управления полётами).
Для полётов на высоте менее 3050 м скорость полёта не должна превышать 450 км/ч. ВС выполняющие полёты по ППП, обязаны иметь двухстороннюю радиосвязь. При полётах по ПВП двухсторонняя радиосвязь не требуется.
Наличие разрешения на использование воздушного пространства не требуется.
Полёт воздушного судна в воздушном пространстве класса G без уведомления органа обслуживания воздушного движения является нарушением порядка использования воздушного пространства Российской Федерации.

Раздел 6. Подготовка и выполнение полёта

1. Подготовка к полёту

1.1. Обязанности пилота
Пилот несёт личную ответственность за теоретическую подготовку, подготовку к полёту и соблюдение мер безопасности.
Пилот обязан:
  • готовиться к полёту и разрабатывать конкретные меры безопасности к нему с учётом особенностей полётного задания, метеорологической и орнитологической обстановки в районе и на маршруте полёта. Пилот несёт персональную ответственность за исход полёта;
  • выполнять полёты в индивидуальном полётном обмундировании;
  • соблюдать предполётный режим отдыха;
  • осматривать, проверять и принимать дельталёт перед полётом в объёме, установленном Руководством по лётной эксплуатации.
  • контролировать размещение на дельталёте пассажира, грузов и специального оборудования;
  • лично инструктировать пассажира о правилах его поведения на борту дельталёта;
  • принимать решение на вылет;
  • выполнять команды группы руководства полётами;
  • соблюдать установленные правила радиообмена;
  • выполнять полёт в соответствии с полётным заданием;
  • вести ориентировку в полёте;
  • контролировать фактический остаток топлива и время полёта;
  • анализировать метеорологические и орнитологические условия перед полётом и в полёте;
  • принимать решение на продолжение (прекращение) полёта при усложнении обстановки в воздухе;
  • вести осмотр воздушного пространства, не допускать опасного сближения с воздушными судами и наземными препятствиями;
  • докладывать руководителю полётов об отказах авиационной техники, об изменении или прекращении выполнения полётного задания, а также о приня-тии решения на вынужденную посадку;
  • своевременно заполнять свою лётную книжку.
1.2.  Общие для всех полётов требования
Каждый полет выполняется своеобразными приёмами и способами управления дельталётом. Однако в технике выполнения любого маневра, фигуры существуют общие для всех полётов требования.
Постоянная ориентировка относительно местности.
Полёты для выполнения фигур пилотажа в зоне и на авиационных работах предъявляют повышенные требования к ориентировке. Сохранение ориентировки обеспечивается выполнением следующих требований:
  • уточнение своего места относительно центра зоны и своего аэродрома (площадки) после каждой фигуры;
  • отличная осмотрительность в полёте, при которой пилот определяет свое местонахождение даже в том случае, когда он не ставит перед собой такой задачи;
  • ввод в фигуры и вывод из них производить только в заранее определённом направлении относительно основных ориентиров и своего аэродрома (площадки);
  • выполняя маневр, пилот должен иметь совершенно ясное представление о том, что его окружает в пределах видимости.
Постоянная осмотрительность.
Постоянная осмотрительность заключающаяся в обнаружении других летательных аппаратов в момент их появления в пределах видимости, в визуальном определении расстояния до земли, в оценке метеорологической обстановки - одно из важнейших требова-ний к пилоту, выполняющему любой полёт.
Для того, чтобы в любой момент при любом положении в пространстве точно оценить положение дельталёта (самолёта), его скорость, эффективность управления и траекторию полёта и одновременно с этим вести дельталёт (самолёт) в желаемом направлении, пилот должен не только видеть, но и слышать, и чувствовать, а если возможно, то и осязать те или иные явления полёта.
Постоянная пространственная ориентировка, беспрерывная и точная оценка условий полёта, целенаправленность всех действий - вот основное требование к пилоту при выполнении полёта.
Подготовка пилотов к полётам подразделяется на предварительную и предполётную.

1.3.  Предварительная подготовка пилотов
Предварительная подготовка пилотов (курсантов) к полётам проводится на каждую лётную смену. Она включает:
  • постановку задач на полёты;
  • самостоятельную подготовку к полётам;
  • тренировку на тренажёре или непосредственно на дельталёте;
  • контроль готовности к полётам.
Продолжительность предварительной подготовки определяется председателем клуба. Если пилот (курсант) считает задание на полёт для себя непосильным, он обязан доложить об этом своему ирструктору.
Контроль готовности пилотов (курсантов) к полётам подразделяется на индивидуальный и групповой.
Индивидуальный контроль является основным видом контроля готовности пилотов к полётам. Он проводится инструктором в форме, позволяющей убедиться в готовности пилотов к выполнению полётных заданий, как правило, в ходе самостоятельной под-готовки.
Групповой контроль готовности к полётам проводится в дополнение к индивидуальному. Как правило, методом розыгрыша полётов при подготовке к групповым полё-там, а также для отработки взаимодействия между пилотами на различных этапах полёта и в особых случаях в полёте.
Основной формой контроля готовности готовности пилотов (курсантов) к полётам является розыгрыш полётов «пеший по лётному».

1.4.  Предполётная подготовка
1.4.1. Предполётная подготовка к полётам пилотов (курсантов) проводится на аэродроме непосредственно перед полётами с учётом конкретно складывающейся на это время метеорологической, орнитологической, воздушной и наземной обстановки и включает в себя:
  • медицинский контроль;
  • предполётные указания;
  • выполнение необходимых расчётов для конкретных условий полёта;
  • подготовку и приём авиационной техники;
  • подготовку и проверку защитного снаряжения;
  • подготовку и проверку рабочих мест кабины дельталёта к предстоящему полётному заданию.
В период предполётной подготовки могут проводиться тренировки лётного состава в кабине дельталёта.
Каждый пилот (курсант) в случае ухудшения самочувствия обязан доложить об этом своему непосредственному начальнику или руководителю полётов.

1.4.2. Предполётная подготовка дельталёта
Предполётная подготовка производится в начале лётной смены (дня). Для этого необходимо:
  • осмотреть дельталёт, заправить его топливом, устранить неисправности, выявленные при осмотре;
  • при необходимости подготовить дельталёт к выполнению полётного задания.
Примечание: Допускается выполнение предполетной подготовки в комплексе с предварительной подготовкой.

Меры безопасности
При выполнении работ на дельталёте следует соблюдать меры безопасности, исключающие случаи, которые могут угрожать здоровью людей и привести к повреждению авиационной техники.
К работе на дельталёте допускаются лица, изучившие правила техники безопасности и прошедшие проверку их усвоения с оформлением документов.
При выполнении всех видов работ строго соблюдать все правила техники безопасности и охраны труда, изложенные в действующей инструкции.
Для этого:
  • при работе с двигателем использовать исправный, соответствующий назначению инструмент;
  • двигатель должен быть чистым независимо от состояния и наработки;
  • для двигателя применять ГСМ, указанные в руководстве по эксплуатации;
  • следить за чистотой топлива, не допускать засорения элементов топливной системы;
  • перед запуском двигателя необходимо выполнить все требования и рекомендации руководства по эксплуатации, в том числе:
Требования и рекомендации руководства по эксплуатации, обязывают пилота в том числе:
  • проверить наличие исправных средств пожаротушения;
  • убедиться в том, что дельталёт находится в безопасном месте, и в зоне воздушного винта нет людей и посторонних предметов;
  • пришвартовать дельталёт за предназначенные для этого узлы;
  • во избежание травмирования людей необходимо перед опробыванием двигателя подать соответствующие команды. Запуск выполнять только после получения ответных команд.
  • приборное оборудование должно обеспечивать постоянный контроль наиболее важных параметров работы двигателя;
  • после заруливания и остановки двигателя необходимо принять меры против опрокидывания дельталёта, рулевую трапецию фиксируют привязными ремнями. При скорости ветра более 6 м\с, используя штопора, дельталёт фиксируется четырьмя растяжками;
  • при постановке на стоянку или хранение крыло демонтируется.
Внимание!
При возникновении аварийной ситуации необходимо экстренно остановить двигатель.
При работающем двигателе:
  • не покидать рабочее место лётчика;
  • не превышать ограничений, указанных в руководстве по эксплуатации;
  • запрещено выполнять любые работы на дельталёте и двигателе, не связанные с регулировками карбюраторов;
  • не вытягивать шнур ручного стартёра и не включать электростартёр;
  • не снимать свечные наконечники.
1.4.3. Предполётный осмотр дельталёта
Для осмотра дельталёта необходимо:
1. Стать впереди дельталёта по оси симметрии, оценить визуально симметричность расположения его частей. Убедиться в отсутствии повреждений дельталёта и его паруса, порывов и ослабления натяжения паруса.
2. Осмотреть носовую часть дельталёта:
  • убедиться в отсутствии повреждений на вилке носового колеса шасси и недо-пустимого износа шины колеса. Допускается износ, порезы и другие механические повреждения шины без оголения нитей корда;
  • проверить давление в шине (1,6 + 0,2кгс/см2);
  • здесь и далее параметры, указанные в скобках во время предполётного обслуживания и подготовки к повторному полёту, проверяются визуально.
  • убедиться в надёжности контровки всех гаек, отсутствии разрывов нитей тросов;
  • убедиться в отсутствии повреждений пружин амортизатора и щитка носового колеса и в плавности работы амортизации;
  • убедиться в правильности ориентирования трубки Вентури (по полёту).
3. Осмотреть правую сторону тележки:
  • подкос, балку основного шасси, пилон, рамку кресла и амортизационную стойку основного шасси;
  • убедиться в отсутствии трещин, вмятин и деформаций силовых элементов;
  • осмотреть раму тележки, убедиться в отсутствии повреждении, наличии контровки гаек.
4. Осмотреть правое основное колесо шасси:
  • убедиться в целости полуоси, надежности контровки всех гаек;
  • убедиться в отсутствии недопустимого износа шины колеса. Допускается износ, порезы и другие механические повреждения шины без оголения нитей корда;
  • проверить давление в шине (! .6 +0.2 кгс/см2).
5. Осмотреть правую половину крыла (нижнюю часть). При осмотре носового узла, узла стыка боковой и поперечной балок через карманы, центрального узла и килевой балки убедиться:
  • в целости контровок гаек, отсутствии коррозии и трещин в узлах и трубах:
  • в отсутствии потертости в местах облегания и касания паруса балок и тросов;
  • в отсутствии разрывов паруса, целости ниток в швах. Швы должны быть непрерывными и прочными.
  • осмотреть систему растяжек, убедиться в отсутствии оборванных нитей и вытяжки тросов в заделках, а также в отсутствии коррозии.
6. Осмотреть силовую установку. Для этого необходимо:
  • убедиться, что АЗС и ВЗ находятся в положении «ВЫКЛЮЧЕНО»;
  • осмотреть мотораму на предмет отсутствия повреждений;
  • проверить надежность крепления двигателя и состояние узлов ею подвески;
  • осмотреть двигатель на предмет отсутствия повреждений и подтеканий охлаждающей жидкости, масла и бензина;
  • проверить уровень топлива в топливном баке;
  • проверить чистоту суфлирующих отверстий топливного бака:
  • визуально проверить герметичность топливной системы, надежность всех соединений;
  • проверить надежность крепления карбюраторов;
  • проверить надежность крепления воздушных фильтров и их контровку:
  • проверить плавность и легкость перемещения РУД от упора МГ до упора ВР и обратно;
  • визуально проверить герметичность системы охлаждения;
  • осмотрен, магистрали системы охлаждения на предмет отсутствия повреждений;
  • проверить надежность крепления радиатора;
  • проверим, уровень охлаждающей жидкости в радиаторе;
  • проверить надежность закрытия клапанной крышки радиатора:
  • визуально проверить герметичность системы смазки привода дискового золотника;
  • проверить уровень масла в бачке:
  • проверить надежность фиксации свечных наконечников на свечах зажигания;
  • осмотрен, редуктор на предмет отсутствия повреждений и подтекания масла;
  • убедиться, что АЗС и ВЗ находятся в положении «ВЫКЛЮЧЕНО»;
  • проворачивая руками ВВ. убедитесь в отсутствии посторонних шумов в двигателе и в наличии люфта в зацеплении шестерен редуктора:
  • осмотреть ВВ на предмет отсутствия повреждений:
  • проверни, надежность крепления ВВ и контровку элементов крепления ВВ;
  • осмотрен, выхлопную систему и узлы ее крепления на предмет отсутствия повреждений;
  • проверить надежность крепления выхлопной системы;
  • осмотреть пружины шарнирных соединений на предмет отсутствия поврежде-ний и потертостей;
  • проверить контровку пружин шарнирных соединений.
7. Осмотреть верхнюю часть крыла:
  • убедиться в симметричности конструкции:
  • равномерности натяжения антипикирующих тросов;
  • надежности крепления верхних и нижних лат;
  • отсутствии разрывов и целости швов паруса;
  • проверим, наличие контровочных колец на гайках крепления верхних и нижних тросов, а также троса наряжения поперечины, зазор между килевой балкой крыла и воздушным винтом (не менее 50 мм).
8. Осмотреть левую половину крыла (аналогично правой).
9. Осмотреть левое основное колесо шасси (аналогично правому).
10. Осмотреть левую сторону тележки(аналогично правой).
11. Осмотреть рабочее место пилотов.
  • убедиться в целости привязных ремней и работоспособности замков привязных ремней, чистоте и отсутствии посторонних предметов на подушках сиде-ний;
  • осмотреть панель с приборным оборудованием;
  • убедиться в отсутствии повреждений, целости приборов и надежности крепления панели;
  • сесть на кресло пилота;
  • плавно переместить рулевую трапецию на себя-от себя и влево-вправо;
  • убедиться в плавности хода, отсутствии заеданий;
  • отклонением подножек вперед убедиться в плавности поворота носового колеса;
  • нажать левой ногой на рычаг тормоза носового колеса;
  • убедиться в его работоспособности;
  • нажать правой ногой на рычаг управления двигателем;
  • убедиться в плавности хода рычага.
12. Произвести контрольный запуск и опробование двигателя согласно графику опробования в следующей последовательности:
  • зафиксировать дельталет от перемещения,
  • проверить наличие исправных средств пожаротушения.
  • убедиться, что дельталет находится в безопасном месте, и в зоне ВВ нет людей и посторонних предметов.
! ПРЕДУПРЕЖДЕНИЕ: Запуск двигателя без воздушного винта или нагрузки коленчатого вала, соответствующих техническим данным двигателя, ЗАПРЕЩЕН

1.5. Запуск двигателя
Запуск «холодного» двигателя
  • Убедиться, что АЗС и ВЗ находятся в положении «ВЫКЛЮЧЕНО».
  • Установить РУД в положение МГ.
  • Руками за ВВ провернуть KB на 5-6 оборотов.
  • Включить обогатители карбюраторов (при низких температурах воздуха).
  • Заливным шприцом (праймером) 4-6 раз закачать топливо в цилиндры.
  • Установить АЗС и ВЗ в положение «ВКЛЮЧЕНО».
  • Подать команду «ОТ ВИНТА».
  • Получив ответ «ЕСТЬ ОТ ВИНТА», запустить двигатель, для чего повернуть ключ включения стартера и удерживать его в этом положении до запуска двигателя.
ПРЕДУПРЕЖДЕНИЕ: Время непрерывной работы электростартера - 10 с. Последующее включение электростартера разрешено после его охлаждения в течение 2 мин.
  • После запуска установить РУДом частоту вращения KB в диапазоне 3000-3500 об/мин.
  • Выключить обогатители карбюраторов (если они были включены), поддержи-вая РУДом заданные обороты.
  • Прогреть двигатель при частоте вращения KB 3000-3500 об/мин до температу-ры охлаждающей жидкости 60°С.
  • Проверить, работоспособность системы зажигания при частоте вращения KB 3000-3500 об/мин, поочередно выключая и включая каждый контур системы. Падение частоты вращения KB при выключении одного из контуров не должно превышать 300 об/мин.
  • Установить РУД в положение МГ.
ПРИМЕЧАНИЕ:
1.    Эффективность обогатителей карбюраторов снижается, если РУД не находится в положении МГ.
2.    Длительная работа двигателя с включенными обогатителями карбюраторов приводит к замасливанию свечей и нагарообразованию.
3.    Прайм ер существенно облегчает запуск «холодного» двигателя, особенно при низких температурах окружающего воздуха.
4.    При неустойчивой работе двигателя после запуска допускается подкачка топлива праймером.

Запуск «горячего» двигателя

  • Установить РУД в положение МГ.
  • Установить АЗС и ВЗ в положение «ВКЛЮЧЕНО».
  • Подать команду «ОТ ВИНТА».
  • Получив ответ «ЕСТЬ ОТ ВИНТА», запустить двигатель, для чего повернуть ключ включения стартера на время не более 10 с.
  • После запуска установить РУДом частоту вращения KB в диапазоне 3000-3500 об/мин.
  • Прогреть двигатель при частоте вращения KB 3000-3500 об/мин до температу-ры охлаждающей жидкости 60°С.
  • Проверим, работоспособность системы зажигания при частоте вращения KB 3000-3500 об/мин, поочередно выключая и включая каждый контур системы. Падение частоты вращения KB при выключении одного из контуров не должно превышать 300 об/мин.
  • Установить РУД в положение МГ. 
Запуск «залитого» двигателя
  • Установить РУД в положение ВР.
  • Установить АЗС в положение «ВКЛЮЧЕНО».
  • Установить ВЗ в положение «ВЫКЛЮЧЕНО».
  • Подать команду «ОТ ВИНТА».
  • Получив ответ «ЕСТЬ ОТ ВИНТА», выполнить «холодную» прокрутку двигателя: для чего повернуть ключ включения стартера и удерживать его в этом положении 2-3 сек.
  • Установить РУД в положение МГ.
  • Установить ВЗ в положение «ВКЛЮЧЕНО».
  • Запустить двигатель, для чего нажать на кнопку запуска и удерживать ее в этом положении до запуска двигателя, но не более 10с.
  • После запуска установить РУДом частоту вращения KB в диапазоне 3000-3500 об/мин.
  • Прогреть двигатель при частоте вращения KB 3000-3500 об/мин до температуры охлаждающей жидкости 60°С.
  • Проверить срабатывание термостата (по падению температуры охлаждающей жидкости).
  • Проверить работоспособность системы зажигания при частоте вращения KB 3000-3500 об/мин, поочередно выключая и включая каждый контур системы. Падение частоты вращения KB при выключении одного из контуров не долж-но превышать 300 об/мин.
  • Установить РУД в положение МГ.
ПРИМЕЧАНИЕ:
При неудачных попытках запуска «залитого» двигателя рекомендуется:
1. вывернуть и очистить свечи зажигания;
2. выполнить холодную прокрутку двигателя (первые пять пунктов данного подраздела);
3. установить свечи зажигания на свои места;
4. повторить процесс запуска.

1.5.1. Опробование двигателя
Основная цель опробования - проверка работоспособности двигателя, его систем и агрегатов. Опробование двигателя рекомендуется выполнять с ВВ, обеспечивающим выход двигателя на максимальную частоту вращения KB при установке РУД в положение ВР.
Дельталет должен быть надежно пришвартован за узлы, предназначенные для этого. При выполнении опробования возможен перегрев двигателя из-за недостаточной обдувки радиатора. Если температура охлаждающей жидкости стремится достичь уровня 80°С. переведите РУД в положение МГ. охладите двигатель в течение 1 мин и продолжите процесс опробования При выполнении опробования измеряйте статическую тягу ВВ при максимальной частоте вращения KB

Сокращенное опробование двигателя.

Сокращенное опробование двигателя выполняется в соответствии с графиком, изображенным на рисунке 133, в следующих случаях:
1. После установки или перестановки двигателя.
2. После замены ВВ.
3. После замены узлов и агрегатов двигателя и его систем.
4. После выполнения регламентных работ.
5. После расконсервации двигателя.
6. После устранения дефектов и неисправностей.
7. После выполнения предполетной подготовки в начале летной смены.
Сокращенное опробование двигателя выполняется техником дельталета или летчиком перед вылетом
1.    Во время опробования двигателя убедиться в работоспособности приборов контроля силовой установки, исправности работы двигателя, отсутствии подтекания топлива.
2.    Уберите инструмент и оборудование.

 
Рис. 133. График сокращенного опробования двигателя «ROTAX-582».




Пояснения к графику сокращенного опробования двигателя «ROTAX-582».

1.5. Подготовка к повторному полету
Обслуживание дельталета во время подготовки к повторному полету производится в объеме предполетной подготовки, кроме осмотра рабочего места пилота, контрольного запуска и опробования двигателя.

1.6. Послеполетная подготовка
Послеполетное обслуживание производится:
  • по окончании каждой летной смены (дня);
  • после каждой грубой посадки:
  • после полета с превышением эксплуатационных ограничений;
  • после попадания дельталета в штормовые условия (штормовой ветер со снегом, пылью, градом).
Обслуживание дельталета во время послеполетной подготовки  производится в объеме предполетной подготовки, кроме контрольного запуска и опробования двигателя.
При осмотре обращается дополнительное внимание на отсутствие:
  • повреждения и деформаций, трещин, вмятин на всех силовых элементах тележки, крыла, моторамы, рулевой трапеции, воздушном винте;
  • вытяжки тросов и сдвигов их в заделках;
  • загрязнений.
 2. Выполнение полёта       

2.1. Выполнение  «полёта по кругу»  (Приложение №1)
2.1.1.  Руление
При рулении следует учитывать, что сочетание сравнительно узкой колеи и высоко расположенного центра масс способствует опрокидыванию дельталета при разворотах. Поэтому скорость руления не должна превышать скорости быстро идущего человека, а при разворотах нужно создавать крен крыла в наветренную сторону
Убедившись в нормальной работе двигателя, приборов и агрегатов дельталета необходимо запросить разрешение руководителя полетов на выруливание. Получив разрешение нужно выбрать наиболее удобный путь для руления и плавно увеличить оборо-ты двигателя до страгивания дельталета с места. После страгивания обороты двигателя нужно уменьшить.
Руление выполняется на режимах работы двигателя, при которых скорость движения дельталета безопасна для маневрирования, действие тормозов эффективно. Режимом МГ можно пользоваться непрерывно не более 5 минут.
Длительная работа двигателя на режиме МГ приводит к «замасливанию» свечей и сильному нагарообразованию в камерах сгорани
Во время руления рулевую трапецию нужно держать в нейтральном положении, а при боковом ветре так, чтобы не произошло опрокидывание дельталета, то есть полукрыло с наветренной стороны должно быть в нейтральном или несколько опущенном положении. Перед разворотом следует уменьшить скорость.
При приближении к ВПП убедитесь, что она свободна и нет дельталетов, самоле-тов и других летательных аппаратов, заходящих на посадку. Убедившись, вырулите на ВПП, выставьте дельталет по ее оси, уменьшите обороты, затормозите дельталет у поса-дочного знака «Т» и приготовьтесь к взлету. Взлёт выполняется против ветра.

2.1.2. Взлет                                              
Взлет разрешается со встречным ветром до 12 м/с, боковым до 6 м/с. (Для начина-ющих взлет разрешен со встречным ветром до 8 м/с, боковым до 4 м/с).
Перед взлётом убедиться что двигатель работает без перебоев и тряски, температура охлаждающей жидкости не менее 60°С, взлётная полоса свободна и произвести взлёт. Для взлета увеличьте обороты двигателя до максимальных (взлетных) и отпустите тормоз.
В процессе разбега убедитесь, что двигатель вышел на взлетный режим. Для взлета и набора высоты рекомендуется использовать взлетный режим продолжительностью не более 5 минут.
При разбеге выдерживайте прямолинейность движения. Рулевая трапеция в процессе разбега должна перемещаться вперед и в конце разбега находиться примерно посередине между балансировочным положением и максимально передним. На скорости 55 км/ч дельталет оторвется от земли.
После отрыва от земли на высоте 5м. плавно возьмите рулевую трапецию на себя до появления тянущих усилий на трапеции. Удерживать трапецию в этом положении нужно до окончания взлета. На высоте 10-15 м уменьшить обороты двигателя на 200-300 об/мин. В процессе взлета смотрите вперед на горизонт, имея в поле зрения землю. Скорость набора высоты - 75 км/час, Vy-2 м/с, n = 6500 об/мин.
При взлете с боковым ветром скорость отрыва должна быть больше, чем при обычном взлете. При разбеге рулевую трапецию нужно удерживать в положении близком к нейтральному и создать крен крыла в наветренную сторону. После отрыва происходит доворот дельталета на ветер, поэтому для продолжения движения в заданном направле-нии необходимо сделать поправку на угол сноса.
Если при наборе высоты температура охлаждающей жидкости стремится достичь уровня 80°С, уменьшите режим работы двигателя и перейдите в горизонтальный полет. Если температура охлаждающей жидкости продолжает увеличиваться, установите РУД в положение МГ, выключите зажигание, установите РУД в положение ВР и выполните вы-нужденную посадку, по возможности с авторотирующим ВВ.

2.1.3. Полёт по кругу
На высоте 70 м. начать выполнение первого разворота с креном 30° на угол 90°. Перед началом разворота осмотреть внутреннюю полусферу на предмет отсутствия впереди ле-тящих летательных аппаратов и проконтролировать показания приборов контроля работы двигателя. Vпол = 75 км/час, Vу = 2 м/сек, n = 6500 об/мин.
После набора высоты полёта по кругу (оговаривается на предполётных указаниях) или по истечении 1 -1,5 мин. полёта, выполнить второй разворот. Второй разворот выполняется с креном 30° на угол 90°. Осматриваются левая и правая полусферы, дельталёт переводится в режим горизонтального полёта. Полёт выполняется параллельно посадочной полосе с курсом обратным посадочному. На траверсе посадочных знаков осматрива-ется левая полусфера, взгляд переносим через приборный щиток (контролируется работа двигателя) на правую полусферу. Выдерживаем направление полёта, Vпол = 75 км/час, Vу = 0, H = 200м , n = 5000 об/мин. Пилот должен быть готов к посадке.
При достижении угла равному 45° между направлением взгляда пилота на посадочные знаки и посадочной прямой начинаем выполнять третий разворот. Перед разворотом осматриваем правую полусферу (не заходит ли кто-то на посадку впереди нас), левую полусферу ( не срезает ли круг сзади идущий летательный аппарат). Разворот выполняем с креном 30°, на угол 110°. После выполнения разворота переводим дельталёт на снижение с Vу = 2–3 м/сек, n = 3500 об/мин, V = 80 км/час.
Не доходя 10-15° до посадочной прямой, выполняем четвёртый разворот. Величиной крена регулируем точность захода на посадочном курсе по центру посадочной полосы. Минимальная высота выхода из четвёртого разворота – 50 м.

2.1.4. Планирование после 4-го разворота
После выполнения четвёртого разворота, глиссада планирования направляется в точку выравнивания (за 80 – 70 м до посадочных знаков). Величину скорости полёта и высоту глиссады регулируем оборотами (от минимальных до необходимых). Взгляд направлен по центру посадочной полосы.
При планировании на посадку с боковым ветром необходимо сделать поправку на угол сноса с таким условием, чтобы направление движения дельталета относительно земли совпадало с направлением ВПП.
Если до высоты 5 метров точно по центру посадочнойполосы зайти не удалось, необходимо, не отрывая взгляда от земли, увеличить обороты двигателя до максимальных, уйти на второй круг.

2.1.5. Выполнение посадки
С высоты 3–2 м взгляд переносим на 20-25° влево и на 15–20 м вперёд (через левую ногу), обороты двигателя минимальные.
Плавным движением рулевой трапеции от себя выполняем выравнивание дельталёта. Когда расстояние от земли до колёс станет равным 0.5 м производим выдерживание и, соразмерно приближению дельталёта к земле, отдаём трапецию от себя с таким расчётом, чтобы к моменту приземления вертикальная скорость была близка к нулю. (Раздел посадки дельталёта в «Аэродинамике и динамике полёта сверхлёгкого летательного аппарата»).
Приземление должно осуществляться одновременным касанием поверхности земли двумя основными колесами шасси без крена и скольжения. Перед касанием земли переднее ко-лесо должно быть повернуто по направлению движения дельталета.
После приземления переместите рулевую трапецию на себя, чтобы уменьшить подъемную силу крыла и увеличить эффективность торможения переднего колеса на пробеге и рулении. Выдерживание направления на пробеге осуществляется с помощью управляемого переднего колеса.
При снижении на посадке необходимо помнить, что на малых высотах возможен существенный сдвиг ветра. В этом случае, при снижении с повышенной вертикальной скоростью, дельталет за короткое время переходит из одной воздушной массы в другую, имеющую меньшую встречную скорость движения, что может привести к резкому уменьшению приборной скорости дельталета и еще большему увеличению вертикальной скорости. Поэтому на малых высотах запрещается снижение с повышенной вертикальной скоростью, особенно при полете с пассажиром.
При посадке на незнакомую площадку определите направление и примерную скорость ветра, оцените турбулентность в районе посадки, возможные подходы к площадке, наличие препятствий, а также пригодность площадки к посадке и взлету. Для этого нуж-но произвести облет площадки на малой высоте.

2.1.6.  Горизонтальный полет
Горизонтальный полет выполняется, как правило, на балансировочной скорости, то есть при усилии на рулевой трапеции равном нулю. Для достижения максимальной дальности полета дельталет должен быть сбалансирован таким образом, чтобы баланси-ровочная скорость была равна наивыгоднейшей.
Горизонтальный полет можно выполнять, начиная с минимальной скорости 55 км/ч по прибору, до максимальной скорости горизонтального полета равной 100 км/ч. Изменение скорости полета обеспечивается изменением режима работы двигателя. Режим горизонтального полета выдерживается по вариометру.
Большое влияние на характеристики горизонтального полета оказывает масса дельталета. При увеличении полетной массы увеличиваются минимальная, экономическая и наивыгоднейшая скорости, а максимальная скорость горизонтального полета и практический потолок уменьшаются.

2.1.7. Вираж
Вираж - разворот дельталета на 360° в горизонтальной плоскости. Вираж может быть установившимся и неустановившимся.
Установившийся вираж – вираж, выполняемый с постоянной скоростью.
Для выполнения виража необходимо наметить на горизонте ориентир для ввода и точного  вывода из виража, установить скорость полета несколько выше балансировочной, проверить режим работы двигателя и отклонением рулевой трапеции создать требуемый крен и, перемещая трапецию от себя, создать угловое вращение.
Перемещение трапеции должно сопровождаться плавным координированным увеличением оборотов двигателя. При выполнении виража взгляд должен быть направлен внутрь виража и вниз примерно под углом 45° к продольной оси дельталета. В процессе виража дельталет стремиться увеличить крен. Для компенсации этого момента рулевую трапецию нужно переместить несколько в сторону виража. Вывод из виража начинать за 20-15° до выхода на намеченный ориенти ориентир.
Для вывода дельталёта из виража нужно отклонить трапецию в сторону виража. В процессе вывода из виража для сохранения горизонтальности полета необходимо умень-шить обороты двигателя.
Положение дельталёта в пространстве контролировать по показаниям высотомера, вариометра,указателя скорости и по ориентирам на местности. Вести круговую осмотри-тельность.

2.1.8. Спираль
Техника выполнения спирали аналогична технике выполнения виража. Для вы-полнения восходящей или нисходящей спирали необходимо вначале перевести дельталет в набор высоты или на снижение и затем, переместив трапецию создать крен в необходи-мую сторону.
Выводя дельталет из спирали, следует учитывать, что скорость на спирали больше, чем в горизонтальном полете. Поэтому при выводе из спирали дельталет проявляет по-вышенную тенденцию к кабрированию.
Контролировать положние дельталёта в пространстве по показаниям вариометра, указателя скорости, высотомера, а также по ориентирам на местности.Вести круговую осмотрительность. Ниже 50-ти метров не снижаться.
На дельталете разрешается выполнять спирали с креном не более 60°. Вертикаль-ная скорость на снижении при этом должна быть не более 5 м/с, а приборная скорость не более 110 км/ч.

2.1.9.  Горка
Для выполнения горки необходимо в горизонтальном полёте увеличить обороты двигателя до максимальных и, при скорости 100 км/ч, плавным перемещением рулевой трапеции от себя перевести дельталет в набор высоты. В процессе набора следить за скоростью. На скорости 80 км/ч плавным взятием рулевой трапеции на себя перевести дельталет в горизонтальный полет, довести скорость до  балансировочной и установить необходимые для выполнения полёта обороты двигателя.
В процессе выполнения горки необходимо следить за углом тангажа, не допуская его чрезмерного увеличения, и за скоростью, не допуская ее уменьшения ниже указанной. Положение дедьталёта в пространстве контролировать по показаниям вариометра, указателя скорости, высотомера, а также по ориентирам на местности. Вести круговую осмотрительность.
При потере скорости и зависании дельталета с большим углом тангажа при выводе из горки нужно создать крен, разогнать дельталет со скольжением до балансировочной скорости, вывести дельталёт в горизонтальный полёт и  установить необходимые для вы-полнения полёта обороты двигателя.
В горизонтальном полете и при снижении ЗАПРЕЩЕНО глубокое дросселирование двигателя при высокой частоте вращения KB, т к при этом происходит сильное обеднение топливно -воздушной смеси, ухудшается продувка цилиндров и смазка деталей двигателя, что приводит к быстрому перегреву двигателя. В таком случае перемещение РУД на увеличение режима приводит к снижению температуры двигателя.
При выполнении снижения с выключенным двигателем не допускать переохла-ждения двигателя для обеспечения надежного запуска.

2.2. Останов двигателя
2.2.1. Останов двигателя на земле
1. Охладить двигатель при частоте вращения KB 3000 об/мин в течение 2-х минут.
2. Установить РУД в положение МГ.
3. Выключить зажигание, установив ВЗ в положение «ВЫКЛЮЧЕНО».
4. При вращающемся по инерции ВВ установить РУД в положение ВР для очистки камер сгорания от выхлопных газов.
5. После остановки ВВ установить РУД в положение МГ.
ПРИМЕЧАНИЕ: Как правило, при заходе на посадку и рулении двигатель достаточно охлаждается и выполнение п 1. для останова  двигателя после полета необязательно.

2.2.2. Останов двигателя в полете
1. Охладить двигатель при частоте вращения KB 3500...4000 об/мин в течение 20-30 секунд.
2. Установить РУД в положение МГ.
3. Выключить зажигание, установив ВЗ в положение «ВЫКЛЮЧЕНО»

2.2.3. Экстренный останов двигателя
Экстренный останов двигателя - это выключение зажигания без предварительного охлаждения двигателя.
Экстренный останов выполняется в случаях, когда дальнейшая работа двигателя может привести к травмированию людей, повреждению и разрушению конструкции дельталета и самого двигателя. При экстренном останове возможно повреждение деталей цилиндро-поршневой группы, поэтому, если позволяет ситуация, рекомендуется немедленно запустить двигатель и продолжить работу или выполнить останов двигателя .
ПРЕДУПРЕЖДЕНИЕ:
Выполнять любой останов двигателя перекрытием подачи топлива ЗАПРЕЩЕНО.

2.2.4. Особенности эксплуатации двигателя при низких температурах окружающего воздуха
Перед эксплуатацией двигателя при низких температурах окружающего воздуха необходимо выполнить следующие работы:
1. Отрегулировать основную дозирующую систему и систему холостого хода карбюраторов.
2. Очистить свечи зажигания и установить минимальный зазор (0,45 мм) между электродами.
3. Рекомендуется установить минимальный зазор (0,45 мм) между датчиками зажигания и триггерами магнето.
4. Установить аккумулятор с плотностью электролита, соответствующий климатическим условиям и заряженный на 100 % (для двигателей, оборудованных электро-стартером).
5. Убедиться, что температура застывания масла как минимум на 10°С ниже, чем температура окружающего воздуха (для двигателей, оборудованных раздельной системой смазки).
6. Принять следующие меры, предотвращающие образование льда в топливе и обледенение карбюраторов:
  • в качестве топлива использовать «зимний» бензин - бензин со спиртовыми до-бавками, но не более 5 %;
  • при длительных перерывах в эксплуатации (более 1 недели) слить все топливо из топливной системы ЛА и двигателя, в том числе из поплавковых камер карбюраторов;
  • топливо перед использованием отстаивать;
  • заправлять топливо через фильтр, задерживающий воду;
  • не создавать условий для образования конденсата в топливной системе (например: заправляемое топливо имеет более высокую температуру, чем ба-ки);
  • проверить состояние воздушных фильтров и при необходимости пропитать их маслом для воздушных фильтров;
  • использовать устройства для подогрева воздуха на входе в карбюраторы или корпусов карбюраторов.
ВНИМАНИЕ! Обледенение карбюраторов наиболее вероятно при высокой влажности, при температуре окружающего воздуха от 0°С до 15°С особенно в диапазоне от 2°С до 8°С.
Для облегчения запуска при низких температурах допускается подогрев двигателя теплым воздухом.

ВНИМАНИЕ!
При подогреве двигателя попадание теплого воздуха на воздушные фильтры и электронные блоки зажигания НЕ ДОПУСКАЕТСЯ.
Подогрев двигателя без подогрева редуктора и радиатора ЗАПРЕЩЕН.
При выполнении полета не допускайте переохлаждения двигателя.

2.3. Особые случаи в полёте
Каждый пилот обязан знать порядок своих действий в особых случаях в полете и отработать их. Действия зависят от характера особого случая и должны быть целенаправленными и уверенными. К особым случаям в полете дельталета относятся:
  • попадание в зону повышенной турбулентности;
  • сваливание;
  • частичная поломка дельталета в воздухе;
  • отказ двигателя в полете и выполнение вынужденной посадки;
  • резкое ухудшение самочувствия в полете;
  • непреднамеренное попадание в облака, зону тумана или ухудшенной видимо-сти, затрудняющей пространственную ориентировку;
  • потеря пространственной ориентировки;
  • попадание в колебания типа «голландский шаг».
2.3.1. Действия при попадании в зону повышенной турбулентности
В данном случае действия пилота зависят от характера турбулентности. При полете на дельталете в сильный ветер на небольшой высоте возможно попадание в турбулентность, возникающую при обтекании потоком воздуха различных препятствий, таких, как деревья, неровности рельефа местности, здания.
Другим видом турбулентности является турбулентность, связанная с конвекцией воздуха, которая возникает при определенных атмосферных условиях.
Полет в турбулентной атмосфере характеризуется болтанкой. В зависимости от турбулентности болтанка может быть слабой, средней, сильной и очень сильной.
Слабая болтанка характеризуется небольшими, плавными, малозаметными изменениями тангажа, крена, угла атаки, курса и высоты. Возникающие возмущения легко парируются пилотом, не вызывают утомления, и пилот редко вмешивается в управление.
Средняя болтанка возникает при ветре 5 м/с в полете на высотах не более 50 м над лесом или пересеченной местностью, а также в случае термической деятельности. При этом пилоту часто приходится вмешиваться в управление. Изменение параметров полета заметны на глаз. Может появиться крен до 10° и примерно такое же рыскание. Полет при средней болтанке не опасен, но вызывает утомление. Поэтому пилоту рекомендуется набрать большую высоту, чтобы выйти из зоны турбулентности.
Сильная болтанка характеризуется постоянным изменением параметров полета. Крен, курс и путевая скорость за короткие промежутки времени изменяются в значитель-ных пределах. Пилот вынужден постоянно вмешиваться в управление и использовать для выдерживания высоты не только рулевую трапецию, но и сектор газа. Такая болтанка возникает при полете над лесом на высоте менее 100 м и при скорости ветра 10-12м/с.
При порывах ветра и в случае очень активной термической деятельности полеты в сильную болтанку запрещены. Поэтому пилот обязан постараться выйти из зоны турбу-лентности путем набора высоты или изменения курса. Если болтанка будет продолжаться на большой высоте или над возвышенной местностью, пилот обязан произвести посадку на ближайшей пригодной для посадки и взлета площадке и ожидать улучшения метеоусловий.
Очень сильная болтанка возникает при ветре более 12 м/с, сильных порывах ветра и при наличии сильной термической деятельности в возвышенной местности. В этом случае возникает резкая смена усилий на рулевой трапеции. Происходят сильные забросы высоты. Кажется, что дельталет иногда замирает на месте, а затем падает вертикально вниз с путевой скоростью, равной нулю. При очень сильной болтанке следует произвести посадку на ближайшую пригодную для этого площадку.

2.3.2. Сваливание
Сваливание происходит при выходе на закритические углы атаки. Сваливание в режиме горизонтального полета происходит достаточно плавно и характеризуется опусканием носа дельталета с одновременным его разворотом. Сваливание с разворота происходит более энергично.
Наиболее опасно сваливание в наборе высоты (горки). Такое сваливание характеризуется значительным уменьшением скорости ниже минимальной и может привести к последующему кувырку.
При попадании в режим сваливания плавно возьмите рулевую трапецию на себя. После набора скорости уберите крен.

2.3.3. Частичная поломка дельталета в воздухе
Согласно проведенным расчетам запасы прочности конструктивных элементов делают поломку дельталета в воздухе практически невозможной. Однако при выполнении полетов могут возникнуть следующие варианты частичного разрушения дельталета:
  • разрушение одного из полукрыльев в районе бокового узла;
  • разрушение поперечной балки;
  • обрыв или выход из заделки одного из нижних тросов.
В любом из этих случаев пилот должен немедленно выключить зажигание и произвести вынужденную посадку или воспользоваться парашютом (если полет выполняется с парашютом).

2.3.4. Отказ двигателя и выполнение посадки с остановленным двигателем
Действия пилота при выполнении вынужденной посадки из-за отказа двигателя зависят от:
  • запаса высоты;
  • силы и направления ветра;
  • характера местности.
При отказе двигателя на достаточно большой высоте (свыше 200 м) необходимо взять рулевую трапецию на себя для сохранения скорости, выбрать площадку для призем-ления с учетом возможности выполнения взлета с нее и попытаться запустить двигатель. Если до высоты, равной 50 м, двигатель запустить не удалось, произведите посадку в направлении против ветра.
При отказе двигателя на малой высоте произведите посадку прямо перед собой. В случае выполнения посадки на деревья в последний момент, когда до вершин останется 0,5-1,0 м, резко отдайте рулевую трапецию от себя, погасив горизонтальную скорость до минимума.
При посадке на воду рассчитайте свой курс так, чтобы приводниться по возможности ближе к берегу. Перед посадкой отстегните привязные ремни, сделайте глубокий вдох, задержите дыхание. В случае зацепления за элементы конструкции дельталета не суетитесь, а спокойно произведите отцепление и вынырните на поверхность, перемещаясь вдоль одного из торосов.

2.3.5. Резкое ухудшение самочувствия в полете
При ухудшении самочувствия выполнение полета категорически запрещается. Если наступило резкое ухудшение самочувствия в полете, то необходимо немедленно произве-сти вынужденную посадку на ближайшую пригодную для посадки площадку.

2.3.6. Непреднамеренное попадание в облака, зону тумана, дыма или ухудшенной видимости, затрудняющей пространственную ориентировку
Категорически запрещается преднамеренное вхождение в облака, зону тумана, дыма или ухудшенной видимости, затрудняющей пространственную ориентировку.
При непреднамеренном попадании в перечисленные выше условия и сохранении пространственной ориентировки пилот должен принять энергичные меры по немедленному выходу из них. Для этого необходимо:
  • если попадание в зону облаков, тумана или ухудшенной видимости произо-шло на развороте, то продолжить разворот с тем же креном до выхода из ука-занной зоны;
  • если это случилось на снижении или в наборе высоты, плавно перевести дельталет в горизонтальный полет, развернуться с небольшим креном на 180°, используя КИ-13, и выйти из зоны облаков, тумана или ухудшенной видимости.
Необходимо помнить, что резкие эволюции могут привести к потере пространственной ориентировки.

2.3.7. Потеря пространственной ориентировки
Потеря пространственной ориентировки может произойти при попадании в облака, туман или зону ухудшенной видимости, когда отсутствует видимость горизонта или плоскости земли, и у пилота нет возможности визуально определить свое положение в пространстве. В этом случае может возникнуть иллюзия перевернутого полета с большим креном или углом тангажа, хотя на самом деле дельталет в данный момент может находиться в режиме, близком к горизонтальному полету.
При потере пространственной ориентировки необходимо:
  • отпустить рулевую трапецию (довести усилия до нулевых);
  • по высотомеру, вариометру, указателю скорости и компасу определить высоту и режим полета дельталета, то есть определить его пространственное положение и, таким образом, восстановить пространственную ориентировку.
Если дельталет находится в горизонтальном полете, что определяется по следующим показаниям приборов:
  • стрелка вариометра находится вблизи нуля;
  • высотомер и указатель скорости показывает постоянные высоту и скорость;
  • компас КИ-13 показывает постоянный курс, то необходимо оценить обстановку и принять меры по выходу из зоны облаков, тумана или ухудшенной види-мости (см. п. 3.6).
Если дельталет находится в горизонтальном развороте (без снижения или набора высоты), что определяется по следующим показаниям приборов:
  • стрелка вариометра находится вблизи нуля;
  • высотомер и указатель скорости показывают постоянные высоту и скорость полета;
  • компас КИ-13 показывает изменения (увеличение или уменьшение) курса, то необходимо по компасу определить направление разворота (при правом развороте курс увеличивается, при левом - уменьшается), отклонением трапеции в соответствующую сторону постараться перевести дельталет в прямолинейный горизонтальный полет, оценить обстановку (высота, скорость) и принять меры по выходу из зоны облаков, тумана или ухудшенной видимости (см. п. 3.6).
Если дельталет находится в развороте со снижением или набором высоты (вариометр показывает снижение или набор, КИ-13 показывает изменение курса) то необходимо вначале постараться убрать крен, затем перевести дельталет в горизонтальный полет, оценить обстановку и принять меры по выходу из облаков, тумана или зоны ухудшенной видимости.

2.3.8. Попадание в колебания типа «голландский шаг»
Если дельталет попал в колебания типа «голландский шаг», уменьшите скорость полета (но не меньше Vмин.гп) дачей рулевой трапеции от себя и произведите посадку для выяснения причины попадания в опасный режим.




Приложения

 
















Содержание

От автора                                                                                                         
 
Раздел 1. Теоретическая и лётная подготовка
1. Теоретическая подготовка                                                                                     
1.1. Тематические планы учебных дисциплин                                                                           
2. Лётная подготовка               
2.1. Требования к лётной подготовке

Раздел 2. Конструкция и эксплуатация дельталёта МД-50                                                          
1. Лётно-технические характеристики                                                                                 
2. Описание конструкции дельталёта  
3. Сборка и разборка дельталёта                                                                                     
4. Регулирование                                                        
5. Двигатель ROTAX-582 ULS                                                                                          
6. Техническая документация и техническое обслуживание дельталёта      
                                                                          
Раздел 3. Аэродинамика и динамика полёта дельталёта
1. Основные параметры воздуха. Физические  свойства воздуха                                     
2. Основные законы аэродинамики                                                                      
3. Обтекание тел потоком воздуха                                                                        
4. Аэродинамические силы и аэродинамические характеристики крыла                                                    
5. Аэродинамические характеристики дельталёта                          
6. Аэродинамические характеристики силовой установки                                                                
7. Нагрузки, действующие на дельталёт                                       
8. Горизонтальный полёт                                                                                   
9. Набор высоты                                                                                          
10. Планирование
11. Взлёт                                       
12. Посадка                            
13. Выполнение маневров                                                                           
14. Балансировка, устойчивость и управляемость                                                                      
15. Дальность и продолжительность полёта     
                                                                                               
Раздел 4.  Авиационная метеорология                                                   
1. Строение атмосферы                                      
2. Основные метеорологические элементы и их влияние на полёт                                                        
3. Воздушные массы. Атмосферные фронты         
4. Опасные для авиации явления погоды                                                                               
5. Анализ и оценка метеорологической обстановки          
6. Метеорологическое обеспечение полётов                                                                                                         
Раздел 5.  Воздушная навигации                                                                                      
1. Самолетовождение                
2. Навигационные элементы полета                                                                                    
3. Штурманская подготовка к полету                                 
4. Общие правила воздушной навигации                                                                                
5. Правила и порядок ведения ориентировки в полёте                                 
6. Воздушная навигация СЛА в структуре воздушного пространства                                                                                         
Раздел 6.  Подготовка и выполнение полёта                                                  
1. Подготовка к полёту                                                            
2. Выполнение полёта
3. Приложение №1. Схема полёта по кругу                                                                             
4. Приложение №2. Схема полёта в зону                                                     
5. Приложение №3. Таблица Брадиса                                                                                                                             
                                                           

Литература

1. Программа подготовки авиационного персонала на сверхлёгких летательных аппаратах. 2004г.
2. Аронин Г.С. Практическая аэродинамика. Воениздат, 1962 г.
3. Клименко А.П., Никитин И.В. Мотодельтапланы: проектирование и теория полета. М. Патриот 1992 г.
4. Вдовин П.П. Практическая аэродинамика. Военное издательство. Москва 1946 г.
5. Васильев А.А. Метеорологические условия полетов воздушных судов на малых высотах. Л., Гидрометеоиздат, 1983 г.
6. Белоусова Л.Ю., Иванова В.И. Опасные для полетов метеоявления и видимость. Учебное пособие. Л., ОЛАДА, 1982 г.
7. Кравченко И.В. Летчику о метеорологии. М., Воениздат, 1982 г.
8. Руководство по самолётовождению. Военное издательство МО СССР.  Москва – 1972 г.
9. Федеральные правила использования воздушного пространства Российской Федерации (Пост.Прав. РФ от 11 марта 2010 г. № 138).
10. Федеральные авиационные правила полётов в воздушном пространстве РФ. Утверждены приказом Министра обороны РФ, Министерства транспорта РФ, Российского авиационно-космического агенства от 31.03 2002 №№ 136/42/51.
11. Федеральные авиационные правила «Подготовка и выполнение полётов в ГА РФ». (Пр.Минтранса РФ от 31 июля 2009 г. №128).                                                                              


Яндекс.Метрика